DOI:
10.1039/C5RA03205A
(Paper)
RSC Adv., 2015,
5, 35274-35281
Coordination-resolved bonding and electronic dynamics of Na atomic clusters and solid skins
Received
20th February 2015
, Accepted 9th April 2015
First published on 10th April 2015
Abstract
Density functional theory calculations confirmed the bond-order-length-strength (BOLS) predictions regarding the local bond length, bond energy and electron binding energy (BE) of Na atomic clusters and shell-resolved monolayer skins. A reproduction of the photoelectron spectroscopic measurements leads to the following observations: (i) local lattice maximal strain of 12.67%, (ii) BE density of 71.92%, (iii) atomic cohesive energy drops to 62.31% and (iv) the 2p core-level shifts deeper by 2.749 eV for under-coordinated Na atoms. This information helps in understanding the unusual behaviour of the under-coordinated Na solid skins and atomic clusters.
1 Introduction
The relaxation of bonds among under-coordinated atoms1 at a solid skin and in an atomic cluster, their associated energies and the localization and polarization of electrons are of importance to the behaviour of materials at these atomic sites, such as crystal growth,2 adsorption,3 doping,4 decomposition,5 catalytic reactivity,6 work function,7 etc. The relaxation of energy density8 and atom cohesive energy9 play significant roles, but are still less understood. Therefore, it is worth investigating under-coordinated atom systems to gain quantitative information regarding the coordination-resolved surface relaxation, binding energy (BE), and energy behaviour of electrons that are localised in the surface skin and nanoclusters.
In past study, X-ray photoelectron spectroscopy (XPS) was used in most studies on core-level shifts (CLS) of Na,10–13 and the energy shifts were interpreted in terms of the difference in the energies between atoms on the surface and in the bulk body. Recently, free-electron laser ultraviolet (UPS) and XPS investigations of the Na,14 K,15 Rb,16 Si,17 Pb,18 Au,19 Se,20 Sb and Bi21 size-selected clusters revealed a linear dependence of the energy shifts of the core band on the inverse of the particle size. As the size decreases, nanoscale materials possess a non-negligible proportion of surface atoms, which can influence the properties of materials. For example, Alloyeau, et al. found that size and shape effects on the order–disorder phase transition in CoPt nanoparticles.22 Billas, et al. found magnetism transition from the atom to the bulk in Fe, Co, and Ni clusters.23 Herzing, et al. found the identification of active Au nanoclusters on Fe oxide supports for CO oxidation.24 Therefore, determination of the physical mechanism behind the size dependency and size emergence of novel properties and the correlation among all the detectable properties is challenging.
Here, we show that the CLS of Na solid skins and atom clusters follow the predictions of the bond-order-length-strength (BOLS) notation and the tight-binding (TB) theory.25 A quantitative analysis using the density functional theory (DFT) and XPS spectrometric methods presents not only insight into the physical origin but also the quantitative information on the electron BE in the skin and the clusters. The analysis also derives quantitative information of the local lattice strain, energy density, atomic cohesive energy and their effective coordination numbers.
2 Principles and calculation methods
2.1 BOLS–TB notation
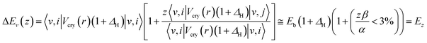
According to the band theory, the Hamiltonian and the wave function describing an electron moving in the vth orbit of an atom in the bulk solid is:
The intra-atomic potential, Vatom(r), determines the vth core level energy, Ev(0), of an isolated atom, and the crystal potential, Vcry(r), determines the CLS, ΔEv(z). They follow the relations:
| Ev(0) = 〈v,i|Vatom(r)|v,i〉 |
| |
 | (1) |
|
v,
i〉 is the eigenwave function at the
ith atomic site with
z neighbours,
α is the exchange integral and
β is the overlap integral. Because 〈
v,
i|
v,
j〉 =
δij, with the Kronig function
δij (if
i =
j,
δij = 1; otherwise,
δij = 0),
Eb represents the single bond energy in the ideal bulk, and any perturbation to the bond energy
Eb will shift the core level accordingly.
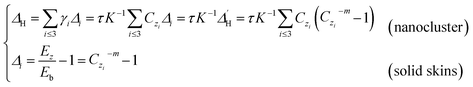
An extension of the atomic coordination-radius premise of Pauling26 and Goldschmidt27 has resulted in the BOLS–TB notion, which forms the subject of ref. 28. According to BOLS–TB notation, under-coordination shortens and strengthens the remaining bonds between the under-coordinated atoms, which follow the expressions:
| |
 | (2) |
where
Cz is the coefficient of bond contraction with
zi being the effective coordination of an atom in the
ith atomic layer. The
i counts from the outermost layer inward up to three. The bond-nature indicator
m correlates the bond energy with the bond length. For most metals,
m = 1. The coordination number (CN),
i.e. z = 0 and
z = 12, represent an isolated atom and an atom in the ideal bulk, respectively. Incorporating the BOLS into the TB approximation yields, dominates the shift of BE, and can be reorganised as follows:
| ΔEv(z) = Ev(z) − Ev(0) = ΔEv(12)(1 + Δi) = (Ev(12) − Ev(0))(1 + ΔH) |
and,
| |
 | (3) |
Here,
and γi = τCziK−1 is the surface-to-volume ratio, proportional to τ (τ = 1, 2, and 3 corresponds to the dimensionality of a thin plate, a cylindrical rod and a spherical dot, respectively), and inversely proportional to the dimensionless size K. K = R/db is the number of atoms lined along the radius of a spherical nanoparticles. The ΔH sums over only the outermost three atomic layers; the Δi represents the perturbation to the individual ith surface layer. For i > 3, the atomic bonds are assumed to be set sufficiently deep into the bulk of the solid such that they do not experience significant deficiencies in atomic coordination number (CN) unlike those at and near the surface.
Therefore, only the under-coordinated atoms in the surface skin contribute to the additional perturbation ΔH to the overall Hamiltonian. The ΔH(τ, K−1, m, z, d, E) covers all the possible extrinsic contributions from the shape (τ), size (K−1) and the intrinsic contributions from bond nature (m), order (z), length (d) and energy (E) to the Hamiltonian. Chemical reaction or externally thermal and mechanical stimulations will modulate the m, d, and E values and hence the Hamiltonian.
2.2 Solid skins
According to the BOLS–TB notation, for the surface CLS we have the relation:
| Ev(z) − Ev(0) = [Ev(12) − Ev(0)] × Czi−m |
| |
 | (4) |
With the derived Ev(12), Ev(0), the bond-nature indicator m, and the given z values for the outermost three atomic layers, we are able to decompose the measured XPS spectra into the corresponding surface and bulk components.
The accuracy of eqn (4) depends on the XPS calibration, which may not follow exactly the BOLS specification. Nevertheless, with this approach, one is able to elucidate, in principle, the dependence on CN of the core-level position of a material with all atomic CNs from z = 0 to z = 12. Therefore, the BOLS–TB approach uniquely defines the reference origin, the physical origin and the correlation between the core-level components for under-coordinated systems.
2.3 Nanocluster
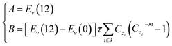
Using the sum rule of the core–shell structure while taking the surface-to-volume ratio into effect, we can deduce the size dependence of vth energy level, Ev(0), and its bulk shift, ΔEv(12), as follows:| | |
Ev(K) = Ev(12) + [Ev(12) − Ev(0)]ΔH
| (5) |
Generally, the size-induced BE shifts for nanoclusters depends inversely on the size in the form of, Ev(K) = A + BK−1, where A and B are constants that can be determined by finding the intercept and the slope of the Ev(K) line, respectively. Comparing the experimental scaling relationship with the theoretical expression in eqn (5) yields:
| |
 | (6) |
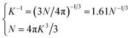
If a cluster is approximately spherical, the number of atoms N is related to its radius K by,
| |
 | (7) |
The incorporation of eqn (5)–(7) yields the N-dependence of the core level binding energy:29
| |
 | (8) |
For the detectable quantities can be directly connected to the bond identities such as bond nature (m), bond order (z), bond length (d), bond strength (E), we are able to predict the z-resolved local lattice strain (εz), the CLS (ΔEv(z)), the atomic cohesive energy (δEC(z)) and the BE density (δED(z)) follows the relation:
| |
 | (9) |
where
zib =
z/12 is the reduced CN,
z = 12 is the bulk value and
m = 1 for metal.
2.4 DFT calculation methods
In order to verify our BOLS–TB predictions, we conducted first-principle DFT calculations of the optimal NaN clusters, as shown in Fig. 1. The calculations were focused on the change of the bond and electronic characteristics of under-coordinated atoms, geometric structures and size dependence and the energy distribution of the core band. The relativistic DFT calculations were conducted using the Vienna Ab initio simulation package (VASP). The DFT exchange–correlation potential utilised the local-density approximation (LDA)30 and generalised gradient approximation (GGA)31 for geometric and electronic structures. The plane wave cutoff was 350 eV; thus for refined structures, final and accurate energy values were computed by the same code using a precise cutoff energy of 400 eV in all the cases. A k-point sampling of 1 × 1 × 1 Monkhorst–Pack grids in the first Brillouin zone of the cell was used in the calculation.
 |
| | Fig. 1 Geometrically optimised (a) Oh44, C3v46, Oh55A and C3v55B;36 (b) Ih13, C125, C2v30, C2v32 and C2v53 (ref. 37 and 38) structures of Na clusters. | |
3 Results and discussion
3.1 Coordination-resolved solid skins
Fig. 2 shows a decomposition of the measured XPS 2p spectrum collected from a Na(110) surface.10 The decomposition was conducted with reference to the CN values of a bcc(110) surface as the standard.32 The spectrum from surface of the Na(110) specimen was, respectively, decomposed into three components corresponding to the bulk (B) and the surface skins S2 and S1 from higher (smaller absolute value) to lower BE after the background correction. These components follow the constraints of eqn (4) and use the parameters given in Table 1. The BE of an isolated atom is optimised to be 28.194 eV with the respective bulk shift of 30.595 eV. The energies Ev(0) and Ev(12) should be identical for all the surface and subsurface layers of Na, regardless of the experimental or surface conditions. This decomposition shows that the undercoordination-induced BE shift is indeed positive and that the lowest coordination component shifts the most with respect to an isolated Na atom.
 |
| | Fig. 2 (a) Decomposed XPS spectrum of the Na(110) surface10 with the three Gaussian components representing the bulk B and surface skins S2 and S1. (b) Atomic cohesive energy δEC and BE density δED. Tables 1 and 2 show the derived information. | |
Table 1 The effective CN(z), local lattice strain (εz = (Cz − 1) (%)), relative core-level shifts (ΔE2p(z) = E2p(z) − E2p(0) and ΔE′2p(z) = E2p(z) − ΔE2p(12)), relative atomic cohesive energy (δEC = (zibCz−1 − 1) (%)) and the relative BE density (δED = Cz−4 − 1 (%)) in various registries of Na(110)10 surface
| |
i |
E2p(z) |
z |
ΔE2p(z) |
ΔE′2p(z) |
−εz |
−δEC |
δED |
| Na(110) |
Atom |
28.194 |
0 |
— |
— |
— |
— |
— |
| B |
30.595 |
12 |
2.401 |
0 |
0 |
0 |
0 |
| S2 |
30.764 |
5.83 |
2.570 |
0.169 |
6.61 |
47.98 |
31.43 |
| S1 |
30.943 |
3.95 |
2.749 |
0.348 |
12.67 |
62.31 |
71.92 |
Including the common B component (z = 12) gives a total of l = 3 components for the Na(110) surface. A total, N = Cl2 = l!/[(l − 2)!
2
!] = 3, of values is possible for Ev(0). Using the least root-mean-square approach, we can find the average
and standard deviation σ. To ensure minimum error in the envelope spectrum and in the experimental spectrum, we fine-tuned the z-values in the decomposition, obtaining an optimised z-value of 3.95 for the outermost (110) surface layer. Based on these criteria, we obtain the following z-resolved CLS for Na:
| E2p(z) = 〈E2p(0)〉 ± σ + ΔE2p(12)Cz−m = 28.194 ± 0.006 + 2.401Cz−1. |
This information is vital for understanding the physics of a Na(110) surface, such as skin-resolved quantum entrapment.
In addition, by using the z-dependent 2p BE shifts for each surface component as derived from XPS spectral decomposition, we can predict the z-resolved local lattice strain, the CLS, the atomic cohesive energy and the binding energy density for discrete atoms in the Na solid skins. Consistency between the BOLS predictions and the XPS derivatives has been achieved, as is shown in Fig. 2b and Table 1.
3.2 Coordination-resolved nanoclusters
Clusters have a considerable number of under-coordinated atoms that are located in the surface sites. Fig. 3 shows the 2p-orbit density of states (DOS) of Na44, Na46, Na55A and Na55B clusters from which we obtain the BE and energy density evolution of atoms at different sites. For a given CLS, from the relations in eqn (2) and (3), we have the,| |
 | (10) |
ΔE2p(z) = E2p(z) − E2p(0) and ΔE′2p(z) = E2p(z) − E2p(12) are the CLSs of an isolated atom and an atom in the ideal bulk, respectively. Then, we calculate the atomic CN using eqn (10). Comparing different atomic sites from i to j (1 ≤ i < j ≤ 10), the lower atomic CNs have larger BE shifts.
 |
| | Fig. 3 DFT-derived DOS for (a) Oh44, (b) C3v46, (c) Oh55A and (d) C3v55B structures of Na clusters. | |
Fig. 4a shows a comparison of the derived CN and BE shifts at different atomic sites between different structures of Na: Oh44, C3v46, Oh55A and C3v55B. We found atoms that have the same number of neighbour atoms and same BE shifts. For example, the third atom of Na44, the third atom of Na46, the second atom of Na55A and the seventh and eighth atoms of Na55B have the same CN and BE shifts. In addition, we compared the exchange correlation potentials of Na55B calculated by LDA and GGA functions, as is shown in Fig. 4b and Table 2. The results of the calculations by the LDA and GGA functions are similar.
 |
| | Fig. 4 Coordination number (z)-resolved CLS (ΔE′2p(z) = E2p(z) − ΔE2p(12)) of Na clusters. (a) Comparisons of CLS among the results of DFT calculations for Na44, Na46, Na55A and Na55B with that of XPS measurements of Na3000.39 (b) A comparison of DFT calculations for a Na55B atom (1–10) with LDA and GGA functions. | |
Table 2 The average effective CN(z), relative core-level shifts (ΔE′2p(z) = E2p(z) − E2p(12)), relative atomic cohesive energy (δEC) and the relative BE density (δED) in various registries of Na clusters
| |
Atomic position |
LDA |
GGA |
LDA |
| E2p(z) |
z |
ΔE′2p(z) |
E2p(z) |
z |
ΔE′2p(z) |
−δEC |
δED |
| Na44 |
1 |
25.382 |
2.37 |
0.794 |
25.407 |
2.58 |
0.697 |
73.715 |
213.756 |
| 2 |
25.084 |
3.19 |
0.496 |
25.208 |
3.18 |
0.498 |
67.937 |
111.644 |
| 3 |
24.787 |
5.39 |
0.199 |
24.909 |
5.39 |
0.199 |
51.363 |
37.482 |
| 4 |
24.588 |
12 |
0 |
24.710 |
12 |
0 |
0 |
0 |
| Na46 |
1 |
25.595 |
2.83 |
0.598 |
25.690 |
2.82 |
0.603 |
70.528 |
143.899 |
| 2 |
25.395 |
3.65 |
0.398 |
25.488 |
3.63 |
0.401 |
64.549 |
84.534 |
| 3 |
25.295 |
4.33 |
0.298 |
25.387 |
4.31 |
0.300 |
59.445 |
59.569 |
| 4 |
25.196 |
5.39 |
0.199 |
25.286 |
5.39 |
0.199 |
51.363 |
37.482 |
| 5 |
25.096 |
7.34 |
0.099 |
25.185 |
7.37 |
0.098 |
36.307 |
17.507 |
| Na55A |
1 |
25.304 |
3.65 |
0.397 |
25.386 |
3.64 |
0.399 |
64.549 |
84.534 |
| 2 |
25.106 |
5.39 |
0.199 |
25.187 |
5.37 |
0.200 |
51.363 |
37.482 |
| 3 |
24.907 |
12 |
0 |
24.987 |
12 |
0 |
0 |
0 |
| Na55B |
1 |
25.626 |
2.37 |
0.796 |
25.642 |
2.56 |
0.703 |
73.715 |
213.756 |
| 2 |
25.597 |
2.42 |
0.767 |
25.593 |
2.68 |
0.654 |
73.378 |
203.700 |
| 3 |
25.542 |
2.54 |
0.712 |
25.568 |
2.75 |
0.629 |
72.499 |
184.500 |
| 4 |
25.328 |
3.18 |
0.498 |
25.351 |
3.57 |
0.412 |
68.009 |
112.378 |
| 5 |
25.228 |
3.65 |
0.398 |
25.340 |
3.63 |
0.401 |
64.549 |
84.534 |
| 6 |
25.129 |
4.32 |
0.299 |
25.240 |
4.30 |
0.301 |
59.521 |
59.853 |
| 7 |
25.029 |
5.39 |
0.199 |
25.140 |
5.36 |
0.201 |
51.363 |
37.482 |
| 8 |
25.029 |
5.39 |
0.199 |
25.140 |
5.36 |
0.201 |
51.363 |
37.482 |
| 9 |
24.930 |
7.32 |
0.100 |
25.039 |
7.32 |
0.100 |
36.462 |
17.707 |
| 10 |
24.830 |
12 |
0 |
24.939 |
12 |
0 |
0 |
0 |
From Fig. 3 and 4, we evaluate the BE shift associated with the under-coordinated atoms. The effective CN is consistent with the energy effects at different atomic sites on the surface, which is an evidence of the sufficient accuracy of the derivatives. Therefore, solids and nanoclusters show the same effect: the under-coordinated atoms result in positive BE shifts and in skin-depth quantum entrapment. The concepts of quantum entrapment appear to be essential for understanding the bonding and electronic behaviour in surface and atomic defect sites.
3.3 N-Dependence of nanoclusters
Fig. 5a shows DFT calculations of the 2p-orbit DOS for Na of Ih13, C125, C2v30, C2v32 and C2v53 clusters. DFT calculations showed that the peaks of BE shift toward higher binding energies as the cluster size is reduced. Therefore, a consistent understanding of the effect of the surface relation and nanosolid formation on the CLS is highly desirable.
 |
| | Fig. 5 (a) Size-induced quantum entrapment of NaN clusters. (b) BE shift of size-selected free NaN clusters versus N−1/3. Experimental data of Na3000, Na5000 and the bulk are sourced from the ref. 14. | |
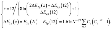
In the BOLS convention, we choose the first and seventh atoms of Na55B as the standard reference CN(z) for the first and second atomic layers of the nanoclusters. Thus, we have z1 = 2.37 and z2 = 5.39. From the relation of C(zi) in eqn (2), C1 and C2 were calculated to be 0.7514 and 0.9235, respectively. The sum
= 0.3251. With the value of ΔE2p(12) derived from the surface analysis, we can calculate the BE change without the need for any other assumptions:
and,
| |
 | (11) |
Derived from the DFT calculation data, ΔE2p(N) is mainly attributed to the size contribution. Φ1 = 2.755 eV is the work function10,14 from vacuum to the Fermi level. Φ = 6.399 eV is the bulk value difference between the DFT calculated value and the experimental value. Fig. 5b shows that the 2p core band CLS of size-selected free NaN nanoclusters increases linearly with N−1/3 and shape factor τ = 2.392. According to the slope and intercept derived from size-induced BE shifts and eqn (11),
As shown in Fig. 5b, the BOLS prediction is generally consistent with the core-level BE in both the experiment and the DFT calculation.
3.4 Cluster strain and CN imperfection
To obtain the nanocluster strain (εz) and the CN imperfection, we use the relations from the eqn (8) and (10) and get:| |
 | (12) |
For a given CLS ΔE′2p(z), we have:| |
 | (13) |
Then, we calculate the NaN atomic CN and strain εz using eqn (13) (see Fig. 6 and Table 3).
 |
| | Fig. 6 (a) Atomic CN and (b) strain εz versus N−1/3 for Na nanoclusters. | |
Table 3 The cluster strain (εz = (Cz − 1) (%)) and relative core-level shifts (ΔE′2p(z) = E2p(N)′ − E2p(12)′) from various registries of Na nanoclusters. (Φ2 = Evacuum2p(12) − E2p(12)′)
| |
N |
E2p(N)′ |
ΔE′2p(z) |
z |
−εz |
| Na cluster (DFT) |
13 |
25.421 |
1.225 |
1.81 |
33.80 |
| 25 |
25.214 |
1.018 |
2.02 |
29.93 |
| 30 |
25.157 |
0.961 |
2.10 |
28.64 |
| 32 |
25.124 |
0.928 |
2.14 |
28.02 |
| 53 |
24.979 |
0.783 |
2.39 |
24.61 |
| Na cluster14 (Φ2 = 9.154 eV) (experimental) |
3000 |
24.436 |
0.240 |
4.88 |
9.09 |
| 5000 |
24.396 |
0.200 |
5.37 |
7.70 |
| Bulk |
24.196 |
0 |
12 |
0 |
Consistency between the BOLS–TB notation, DFT calculations and XPS measurements suggests that the observed energy shifts result from the size-induced strain and the associated skin-depth quantum trapping by nanoclusters or surface interlayer relaxation of a bulk solid, which agrees with the previously recommended mechanism of surface interlayer strain and charge densification.33–35
4 Conclusion
Combining the BOLS–TB premise with the DFT calculations and XPS measurements has led to the consistent insight into the physical origin of the localised edge states of the Na solid and cluster. Analysing the XPS spectrum of the Na(110) surface has resulted in the determination of the BE of an isolated atom as 28.194 eV, and its bulk shift as 2.401 eV. We have demonstrated the application of DFT calculation to the N-dependency of the core-level BE shifts, and to the quantitative analysis of atom coordination numbers, local bond strain, energy density, atomic cohesive energy and their coordination-resolved shifts. In conclusion, we believe that our findings are useful for designing nanocrystals with desired structures and properties.
Acknowledgements
We acknowledge the financial support from NSF (no. 11172254 and 11402086).
References
- W. J. Huang, R. Sun, J. Tao, L. D. Menard, R. G. Nuzzo and J. M. Zuo, Nat. Mater., 2008, 7(47), 308–313 CrossRef CAS PubMed.
- Q. Wei, K. Tajima, Y. Tong, S. Ye and K. Hashimoto, J. Am. Chem. Soc., 2009, 131(48), 17597–17604 CrossRef CAS PubMed.
- M. Morgenstern, T. Michely and G. Comsa, Phys. Rev. Lett., 1996, 77(4), 703–706 CrossRef CAS.
- C.-L. Sun, C.-W. Pao, H.-M. Tsai, J.-W. Chiou, S. C. Ray, H.-W. Wang, M. Hayashi, L.-C. Chen, H.-J. Lin, J.-F. Lee, L. Chang, M.-H. Tsai, K.-H. Chen and W.-F. Pong, Nanoscale, 2013, 5(15), 6812–6818 RSC.
- T. Kravchuk, L. Vattuone, L. Burkholder, W. T. Tysoe and M. Rocca, J. Am. Chem. Soc., 2008, 130(38), 12552–12553 CrossRef CAS PubMed.
- A. Bruma, F. R. Negreiros, S. Xie, T. Tsukuda, R. L. Johnston, A. Fortunelli and Z. Y. Li, Nanoscale, 2013, 5(20), 9620–9625 RSC.
- C.-Y. Lin, H.-W. Shiu, L.-Y. Chang, C.-H. Chen, C.-S. Chang and F. S.-S. Chien, J. Phys. Chem. C, 2014, 118(43), 24898–24904 CAS.
- L. Wan, S. Xu, M. Liao, C. Liu and P. Sheng, Phys. Rev. X, 2014, 4(1), 011042 Search PubMed.
- J. Åberg, Phys. Rev. Lett., 2014, 113(15), 150402 CrossRef.
- D. Riffe, G. Wertheim and P. Citrin, Phys. Rev. Lett., 1991, 67(1), 116–119 CrossRef CAS.
- C. Su, X. Shi, D. Tang, D. Heskett and K. D. Tsuei, Phys. Rev. B: Condens. Matter Mater. Phys., 1993, 48(16), 12146–12150 CrossRef CAS.
- M. Tchaplyguine, S. Legendre, A. Rosso, I. Bradeanu, G. Öhrwall, S. Canton, T. Andersson, N. Mårtensson, S. Svensson and O. Björneholm, Phys. Rev. B: Condens. Matter Mater. Phys., 2009, 80(3), 033405 CrossRef.
- T. Andersson, C. Zhang, A. Rosso, I. Bradeanu, S. Legendre, S. E. Canton, M. Tchaplyguine, G. Ohrwall, S. L. Sorensen, S. Svensson, N. Martensson and O. Bjorneholm, J. Chem. Phys., 2011, 134(9), 094511 CrossRef CAS PubMed.
- S. Peredkov, G. Öhrwall, J. Schulz, M. Lundwall, T. Rander, A. Lindblad, H. Bergersen, A. Rosso, W. Pokapanich, N. Mårtensson, S. Svensson, S. Sorensen, O. Björneholm and M. Tchaplyguine, Phys. Rev. B: Condens. Matter Mater. Phys., 2007, 75(23), 235407 CrossRef.
- A. Rosso, G. Öhrwall, I. Bradeanu, S. Svensson, O. Björneholm and M. Tchaplyguine, Phys. Rev. A, 2008, 77(4), 043202 CrossRef.
- M. H. Mikkelä, M. Tchaplyguine, K. Jänkälä, T. Andersson, C. Zhang, O. Björneholm and M. Huttula, Eur. Phys. J. D, 2011, 64(23), 347–352 CrossRef.
- M. Vogel, C. Kasigkeit, K. Hirsch, A. Langenberg, J. Rittmann, V. Zamudio-Bayer, A. Kulesza, R. Mitrić, T. Möller, B. v. Issendorff and J. T. Lau, Phys. Rev. B: Condens. Matter Mater. Phys., 2012, 85(19), 195454 CrossRef.
- M. Tchaplyguine, G. Öhrwall, T. Andersson, S. Svensson, O. Björneholm, M. Huttula, M. Mikkelä, S. Urpelainen, S. Osmekhin, A. Caló, S. Aksela and H. Aksela, J. Electron Spectrosc. Relat. Phenom., 2014, 195, 55–61 CrossRef CAS PubMed.
- A. Visikovskiy, H. Matsumoto, K. Mitsuhara, T. Nakada, T. Akita and Y. Kido, Phys. Rev. B: Condens. Matter Mater. Phys., 2011, 83(16), 165428 CrossRef.
- K. Kooser, D. T. Ha, E. Itala, J. Laksman, S. Urpelainen and E. Kukk, J. Chem. Phys., 2012, 137(4), 044304 CrossRef CAS PubMed.
- S. Urpelainen, M. Tchaplyguine, M. H. Mikkelä, K. Kooser, T. Andersson, C. Zhang, E. Kukk, O. Björneholm and M. Huttula, Phys. Rev. B: Condens. Matter Mater. Phys., 2013, 87(3), 035411 CrossRef.
- D. Alloyeau, C. Ricolleau, C. Mottet, T. Oikawa, C. Langlois, Y. Le Bouar, N. Braidy and A. Loiseau, Nat. Mater., 2009, 8(12), 940–946 CrossRef CAS PubMed.
- I. M. L. Billas, A. Châtelain and W. A. de Heer, Science, 1994, 265(5179), 1682–1684 CAS.
- A. A. Herzing, C. J. Kiely, A. F. Carley, P. Landon and G. J. Hutchings, Science, 2008, 321(5894), 1331–1335 CrossRef CAS PubMed.
- C. Q. Sun, Y. Nie, J. Pan, X. Zhang, S. Z. Ma, Y. Wang and W. Zheng, RSC Adv., 2012, 2(6), 2377–2383 RSC.
- L. Pauling, J. Am. Chem. Soc., 1947, 69(3), 542–553 CrossRef CAS.
- V. M. Goldschmidt, Ber. Dtsch. Chem. Ges. A, 1927, 60, 1263–1296 CrossRef PubMed.
- C. Q. Sun, Relaxation of the Chemical Bond, Springer, Heidelberg, 2014 Search PubMed.
- M. Bo, Y. Wang, Y. Huang, W. Zhou, C. Li and C. Q. Sun, J. Mater. Chem. C, 2014, 2(30), 6090–6096 RSC.
- A. D. Becke, J. Chem. Phys., 1993, 98(2), 1372–1377 CrossRef CAS PubMed.
- J. P. Perdew, K. Burke and M. Ernzerhof, Phys. Rev. Lett., 1996, 77(18), 3865–3868 CrossRef CAS.
- Y. Nie, X. Zhang, S. Ma, Y. Wang, J. Pan and C. Q. Sun, Phys. Chem. Chem. Phys., 2011, 13(27), 12640–12645 RSC.
- R. A. Bartynski, D. Heskett, K. Garrison, G. Watson, D. M. Zehner, W. N. Mei, S. Y. Tong and X. Pan, J. Vac. Sci. Technol., A, 1989, 7(3), 1931–1936 CAS.
- T. Balasubramanian, J. N. Andersen and L. Walldén, Phys. Rev. B: Condens. Matter Mater. Phys., 2001, 64(20), 205420 CrossRef.
- B. S. Fang, W. S. Lo, T. S. Chien, T. C. Leung, C. Y. Lue, C. T. Chan and K. M. Ho, Phys. Rev. B: Condens. Matter Mater. Phys., 1994, 50(15), 11093–11101 CrossRef CAS.
- B. Roldan Cuenya, J. R. Croy, S. Mostafa, F. Behafarid, L. Li, Z. Zhang, J. C. Yang, Q. Wang and A. I. Frenkel, J. Am. Chem. Soc., 2010, 132(25), 8747–8756 CrossRef CAS PubMed.
- E. G. Noya, J. P. K. Doye, D. J. Wales and A. Aguado, Eur. Phys. J. D, 2007, 43(3), 57–60 CrossRef CAS.
- J. P. K. Doye, Comput. Mater. Sci., 2006, 35(3), 227–231 CrossRef CAS PubMed.
- M. Bo, Y. Wang, Y. Huang, Y. Liu, C. Li and C. Q. Sun, Appl. Surf. Sci., 2015, 325, 33–38 CrossRef CAS PubMed.
|
| This journal is © The Royal Society of Chemistry 2015 |
Click here to see how this site uses Cookies. View our privacy policy here.