DOI:
10.1039/C4RA17308B
(Review Article)
RSC Adv., 2015,
5, 42193-42221
Suzuki–Miyaura reaction by heterogeneously supported Pd in water: recent studies
Received
31st December 2014
, Accepted 7th April 2015
First published on 8th April 2015
Abstract
This review summarizes the progress made essentially in the last fifteen years in the Suzuki–Miyaura coupling reaction by heterogeneous palladium catalysis in water as the sole solvent. The discussion focuses on the heterogenization of the palladium catalyst, efficiency and reusability of the heterogeneous catalysts as well as on the reaction conditions from a sustainable chemistry point of view.
Introduction
For the last few decades, palladium remains the most useful transition metal catalyst in the array of transformations in organic synthesis, in particular for carbon–carbon bond formations.1 The unique nature of the palladium catalyst for selective reactions, easy tuning of the catalyst reactivity and selectivity by ligands or additives, and the high turnover numbers (TONs) and turnover frequencies (TOFs) using extremely small amounts of palladium (ppm or ppb levels) under milder conditions, are the main reasons for attracting researchers, and as a result of these facts a number of palladium catalysts are commercially available2 and employed in many areas, including natural product syntheses.3 Among the different types of palladium-catalyzed reactions, the Suzuki–Miyaura reaction, which is the reaction between aryl halides and arylboronic acids, represents possibly the most important and widely used one.4
Suzuki–Miyaura reaction
The Suzuki–Miyaura reaction is characterised by the cross-coupling of two aryl subunits, one from an aryl boronic acid or its derivative and the other from an organohalide or -triflate, to give a biaryl motif.1,5 The relative reactivity order is as follows: R–I > R-OTf > R–Br ≫ R–Cl. This reaction has become one of the most adaptable methods for the expansion of the carbon framework in organic molecules since its discovery in 1979.6 Amongst its wide applicability, the Suzuki–Miyaura reaction is particularly useful as a way of assembling conjugated diene and higher polyene systems of high stereoisomeric purity, as well as biaryl and related systems. Incredible progress has been made in the development of Suzuki–Miyaura coupling reactions of unactivated alkyl halides, enabling C(sp2)–C(sp3) and even C(sp3)–C(sp3) bond-forming processes.1h,i,7 The non-toxicity and simplicity related to the preparation of organoboron compounds (e.g. aryl, vinyl, alkyl),5b,c their relative stability to air and water, combined with relatively mild reaction conditions as well as the formation of nontoxic by-products, makes the Suzuki–Miyaura reaction an important method for enlarging the carbon skeleton.
The general and widely accepted mechanism of the Suzuki–Miyaura reaction is depicted in Fig. 1. The first step is the oxidative addition of palladium 1 to halide 2 to form the organopalladium species 3. Reaction of the organopalladium species with a base gives intermediate 4, which via transmetalation with boronate complex 6 forms the organopalladium species 8. Reductive elimination of the desired product 9 restores the original palladium catalyst 1.
 |
| | Fig. 1 Schematic representation of the general mechanism of the Suzuki–Miyaura coupling reaction. | |
Water – a green reaction medium
From the academic as well as industrial viewpoints, alternative reaction media are of considerable concern at present for making this palladium catalyzed cross-coupling process “greener” by minimizing the use of organic solvents.8 Water is the obvious foremost choice in conjunction with cost, environmental benefits, and safety. The use of water in Pd-catalyzed cross coupling reactions dates back to the early development of the Suzuki–Miyaura coupling9 with the first example being reported by Calabrese and co-workers in 1990.10 Since then, a large number of water-soluble Pd catalysts bearing hydrophilic ligands have been reported, and several reviews have been devoted to this subject.11 Attempts have been made for synthesizing water-soluble catalysts or water-soluble ligands,12 adding surfactants or phase-transfer agents,13 using organic co-solvents or inorganic salts as a promoter,14 and utilizing microwave heating or ultrasonic irradiation.15 The use of water as reaction medium would be practically green and welcoming only when any traces of organics or metals can be fully removed from the water used for the reaction.16 For metal catalyzing reactions in which the catalysts are to some extent water soluble, heterogeneous catalysis could solve this issue using a water insoluble support or catalyst which can easily be removed from the medium by filtration. Moreover, for large scale processes, organic products can be separated by simple decantation.
Scope and limitations of heterogeneous catalysis
For the synthesis of symmetrical and nonsymmetrical biaryls the palladium-catalyzed carbon–carbon coupling reaction remains an important method, and a broad variety of homogeneous catalytic systems have been developed to achieve this transformation,17 mainly because homogeneous catalysts display high activity and are better defined and understood. Although homogeneous catalysts have many advantages, the complications regarding the separation and recovery of the catalyst, and product contamination with traces of heavy metals, could not be ignored, which limit their applications in chemical and pharmaceutical industries,18 and become an issue of great economic and environmental concern especially for expensive and/or toxic heavy metal complexes.19 These limitations of homogeneous catalysis have resulted in the progress of new strategies for transition-metal catalysis which facilitate catalyst recovery and recycling.20 Recently, many recoverable, supported palladium catalysts have been reported to catalyze Suzuki–Miyaura coupling reactions such as polymers, biomaterials, porous silica, carbon nanotubes, polyurea, natural phosphates etc.21 However, some supported catalysts which are known as heterogeneous catalysts, often resulted in a significant loss of catalytic activity when reused and leaching of transition metal during the reaction,22 and the nature of the true catalyst is still unclear.
The problem of distinguishing homogeneous from heterogeneous catalysis is an important question that arises more and more often, in particular when heterogeneous systems are developed. Heterogeneous catalytic systems may partly dissolve to yield a homogeneous component which might be much more reactive than the parent metal surface. For this reason, in some cross-coupling reactions especially with facile substrates catalyzed by trace amounts of metal of various origins, checking is necessary for the genuine source of catalytic metal. Careful kinetic studies, filtration tests, selective poisons for catalysts in solid or soluble systems, and Rebek–Collman 3-phase tests are very helpful and informative to solve the question of heterogeneity.
Aim of the review
The aim of this review is to provide an overview of heterogeneous palladium chemistry for the Suzuki–Miyaura cross-coupling reaction in water as the sole reaction medium or solvent. Since water is genuinely useful for green chemistry as a solvent itself, only protocols carried out in water are covered. One review article23 in this regard by Felpin and co-authors is worth mentioning. The reactions which are not mentioned in that article and the newer reports (up to September, 2014), including all the heterogeneous systems already mentioned by Felpin, are comprised in this review article. The reports consisting of semi-heterogeneous or quasi heterogeneous catalysts, reactions carried out by soluble supports and examples from the patent literature are discarded in this review.
Supports are mainly divided into three categories, viz. inorganic, organic and hybrid of inorganic–organic materials, and the discussion is again subdivided according to necessity and for lucidness.
Inorganic supports
Palladium supported on carbon. Bumagin and Bykov have reported the cross-coupling of water-soluble 3-bromobenzoic acid with tetraphenylborate in neat water using Pd(0)/C (Scheme 1).24 This report is the first example of a Pd/C-catalyzed Suzuki–Miyaura reaction in neat water.
 |
| | Scheme 1 Use of NaB(Ph)4 as the phenylboronic acid substitute. | |
The coupling between iodophenols and boronic acids at room temperature (Scheme 2) could be performed using K2CO3 as the base with a lower loading of Pd/C (0.3 mol%).25 The obtained yields were excellent and fairly independent of the nature of the boronic acid. The reactivity order decreased from iodophenol to bromophenol, and the successful reaction required higher temperatures. After completion of the reaction, the Pd/C catalyst was recovered by simple filtration and reused five times with only a slight decrease in activity.
 |
| | Scheme 2 Cross-coupling of iodophenols with boronic acids. | |
For non-water-soluble aryl halides, a number of reports use surfactants as additives to increase the solubility. Arcadi and co-workers used cetyltrimethylammonium bromide (CTAB) for this purpose, which was found to be quite effective when combined with K2CO3 with a catalyst loading (Pd/C) of 5 mol% (Scheme 3).26 Recycling of the filtered and used catalyst suffered from gradually diminished activity which raises the question of true heterogeneity.
 |
| | Scheme 3 Suzuki–Miyaura reactions using CTAB as a surfactant. | |
Xu and co-workers27 (Scheme 4) established that water-soluble bromoarenes react efficiently with sodium tetraphenylborate in refluxing water even in the presence of 0.0025 mol% of Pd/C when the reaction time was prolonged from 1 to 7 h. Comparison of the inorganic bases utilized showed the suitability of sodium bases over potassium ones. The reusability of the catalyst showed capability over five cycles but with gradual loss of reactivity (Fig. 2).
 |
| | Scheme 4 Suzuki–Miyaura reactions by Xu and co-workers. | |
 |
| | Fig. 2 Proposed mechanism of the Pd/C-catalysed cross-coupling of aryl bromide with sodium tetraarylborate by Xu and co-workers. | |
Coupling of aryl chlorides with aryl boronic acids using ligandless Pd/C in water has been described by Kohler and Lysen (Scheme 5).28 All reactions were performed under an ambient atmosphere to reduce homocoupling. Activated aryl chlorides reacted at lower palladium concentrations (0.2–0.5 mol%) while deactivated chloroarenes required higher catalyst concentrations (2.0 mol%) and longer reaction times (six hours). Addition of TBAB was found to be essential, and NaOH was found to be the superior base among the several bases tested. Aryl iodides and bromides could also be completely converted to the corresponding biaryls by a small variation of the reaction conditions. Recovery of the catalyst was performed by simple filtration through celite or by centrifugation. Not only boronic acids but also boronate esters and potassium trifluoroborate salts were effective under the reaction conditions developed by these authors. The reactivation using iodine as the oxidizing agent [Pd(0) to Pd(II)] was necessary to improve the recycling ability of the catalyst, showing consistent activity over three cycles.
 |
| | Scheme 5 Approach by Kohler and co-workers. | |
The beneficial effect of microwave heating was explored by Freundlich and Landis (Scheme 6)29 for the coupling of boronic acids with bromophenols. A variety of boronic acids were coupled at 120 °C in aqueous potassium hydroxide for short reaction times (15 min). The reactions remained unsuccessful with the chloro substituent. The coupling of substituted bromophenol with potassium phenyl trifluoroborate salt was less efficient than with phenyl boronic acid under the optimized reaction conditions.
 |
| | Scheme 6 Suzuki–Miyaura reactions using microwave irradiation by Freundlich and Landis. | |
Arvela and Leadbeater reported a combined TBAB and microwave activation procedure for the cross-coupling of aryl chlorides with boronic acids (Scheme 7).30 For substrates bearing electron-withdrawing groups, the effects of simultaneous cooling on the product yield were not significant, attributed to the fact that the coupling reaction is faster than the decomposition of the chloride substrate, but with substrates bearing electron-neutral or electron-donating substituents, simultaneous cooling significantly increased the product yield. Very fast reaction rates were observed in only ten minutes and the method was found to be efficient for aryl chlorides containing electron-withdrawing groups.
 |
| | Scheme 7 Catalytic system developed by Leadbeater et al. | |
The coupling of bromoarenes with tetraphenylborate (Scheme 8) has been described by Bai using a similar catalytic system.31 Excellent yields were obtained in less than twenty minutes at 120 °C in the presence of K2CO3 as the base with a comparatively higher palladium loading (5 mol% Pd). The catalyst showed excellent recycling ability over more than five cycles.
 |
| | Scheme 8 Coupling of bromoarenes with tetraphenylborate by Bai. | |
Modified multi-walled carbon nanotubes have been proposed as a support for palladium nanoparticles for the cross-coupling in neat water.32 4-Dimethylaminopyridine (DMAP) stabilized palladium nanoparticles were prepared by mixing solutions of Na2PdCl4 and DMAP followed by the reduction with NaBH4. Thiol-modified multi-walled carbon nanotubes (MWCNTs), prepared by a carbon arc discharge method, were functionalized via an amide coupling reaction followed by sequential treatment with HNO3, KMnO4, HClO4, citric acid, DMAP and 1-(3-dimethylaminopropyl)-3-ethylcarbodiimide hydrochloride (EDAC) and 2-mercaptoethylamine hydrochloride (Fig. 3). Multi-walled carbon nanotube/DMAP-stabilized Pd nanoparticle composites (MWCNT/Pd–DMAP NP composites, catalyst 14) were prepared by the addition of a known amount of a DMAP-stabilized palladium nanoparticle dispersion to thiol-modified multi-walled carbon nanotubes under sonication. The 4-iodo-substituent gave 87% conversion within 10 min with 0.004 mol% of catalyst 14, while the bromo-substituent gave 53% conversion and the chloro-analogue gave 25% conversion with 0.024 mol% of catalyst 14 when refluxing for 6 h. The catalyst was recovered by filtration through a polycarbonate filter, and experimental studies showed good recyclability over six runs with leaching of the Pd species below the detection limit of AAS (Scheme 9).
 |
| | Fig. 3 Schematic representation for the preparation of MWCNT/Pd–DMAP NP composites. | |
 |
| | Scheme 9 Suzuki–Miyaura reaction of interest, using the MWCNT/Pd–DMAP NP composites, between phenylboronic acid and 4-halobenzoic acids. | |
Graphene modified with palladium nanoparticles by reducing palladium acetate [Pd(OAc)2] in the presence of sodium dodecyl sulfate (SDS) was reported by Zhang and co-workers (Scheme 10)33 (SDS is used as both surfactant and the reducing agent). The palladium nanoparticle–graphene hybrids (Pd–graphene hybrids, catalyst 15) were characterized by spectrometric methods, and HRTEM showed that the mean size of the Pd nanoparticles dispersed on the graphene sheets is about 4 nm. Catalyst 15 acted as an efficient catalyst for the Suzuki–Miyaura reaction under aqueous and aerobic conditions, with the reaction reaching completion within 5 min. Bromobenzene and allyl iodides were also employed in this coupling reaction but produced poor yields. The catalysts were recovered by simple centrifugation and reused successfully for ten consecutive runs.
 |
| | Scheme 10 Work by Zhang and co-workers. | |
Palladium supported on hydroxyapatite. Hydroxyapatite-supported palladium(0) (Pd/HAP, catalyst 20) was prepared by stirring a mixture of hydroxyapatite and Pd(OAc)2 in ethanol followed by the dropwise addition of hydrazine hydrate (80%) under continuous stirring, and conditioning of the catalyst by refluxing for 6 h in each ethanol, toluene and acetonitrile. The conditioned catalyst was quite stable and could be used for several days. The TEM micrograph showed an average palladium particle diameter of about 20 nm on hydroxyapatite. Suzuki–Miyaura cross-couplings of bromoarenes with arylboronic acids were carried out with this catalyst in the presence of TBAB as a surfactant and K2CO3 as the base (Scheme 15).38 Paul and co-workers obtained excellent yields for biphenyl compounds from facile substrates using the prepared catalyst 20 (0.33 mol% Pd/HAP). The stability of the hydroxyapatite supported palladium catalyst was demonstrated by the recycling ability studied for the coupling of 4-bromoacetophenone with benzeneboronic acid over five cycles with no apparent deactivation of the reused catalyst.
 |
| | Scheme 15 Suzuki–Miyaura reactions using Pd/HAP as the catalyst. | |
Two types of these supported palladium catalyst, one by immobilization of [Pd(COD)Cl2] (COD = 1,5-cyclooctadiene) on hydroxyapatite (catalyst 21) and another catalyst by subsequent reduction of the previous catalyst with sodium borohydride (catalyst 22), were prepared (Fig. 5) for the Suzuki–Miyaura coupling reaction in water.39 The catalyst with Pd2+, was found to be almost five times more active than the reduced catalyst under similar reaction conditions. The best catalytic activities were observed in the presence of potassium carbonate as the base and tetrabutylammonium bromide as a promoter using the non-reduced catalyst and water as the solvent under aerobic conditions (Scheme 16). This catalyst system has been tested for different electronically neutral, electron-rich, electron-poor and sterically hindered aryl boronic acids, and several different aryl halides including aryl chlorides. More than one thousand turnovers and high selectivities toward the hetero-coupled products have been observed in most cases. A negligible drop in activity was observed over ten cycles.
 |
| | Fig. 5 Synthetic outline for the synthesis of catalysts 21 and 21a. | |
 |
| | Scheme 16 Suzuki–Miyaura reactions using the Pd–HAP catalyst 21. | |
Palladium supported on mesoporous silica. Ordered mesoporous MCM-41 material has been used as a suitable support for uniformly sized palladium nanoparticles (Fig. 6, catalyst 22) by Sayari and Das, and has been explored in Suzuki–Miyaura reactions (Scheme 17).40 Although the reactions were carried out in water, the recycling experiments and mechanistic considerations were evaluated in EtOH solvent. A truly heterogeneous mechanism was proven in EtOH.
 |
| | Fig. 6 Schematic outline of the synthesis of catalyst 22 from pore-expanded MCM-41 and supported monodispersed Pd nanoparticles. | |
 |
| | Scheme 17 Examples of Pd/MCM-41-catalyzed Suzuki–Miyaura reaction. | |
Palladium supported on hydrotalcite. Ruiz and co-workers opted for the use of a Mg/Al hydrotalcite-supported palladium(II) (catalyst 23) for a single example of the Suzuki–Miyaura cross-coupling reaction involving bromobenzene and phenylboronic acid at room temperature (Scheme 18).41 The supported catalyst was prepared by mixing appropriate amounts of palladium acetate, pyridine and hydrotalcite at 80 °C for 1 h, after which the solid was filtered off and washed with toluene. The catalyst thus obtained was named HT-Pd(AcO2)Py2 (catalyst 23). Only 52% conversion was obtained. Optimization studies showed that the use of sodium dodecyl sulphate as a surfactant was crucial for an acceptable conversion among those tested for this purpose, which included anionic, cationic and neutral surfactants.
 |
| | Scheme 18 Suzuki–Miyaura cross-coupling by Ruiz and co-workers. | |
Palladium supported on porous glass. The catalytic activity of Pd supported on porous glass (catalyst 24) in the Suzuki–Miyaura reaction was studied by Ondruschka and co-workers under aerobic conditions (Scheme 19).42 The catalyst was prepared by dissolving Pd(OAc)2 (20 mg, 0.09 mmol) in dichloromethane containing the porous glass support (1 g; TRISOPOR) followed by removal of the solvent in vacuo and calcination of the catalyst precursor for 2 h at 300 °C in a muffle furnace to obtain the catalyst with a Pd loading of 1 wt%. For varying catalyst loadings, different amounts of Pd were dissolved in dichloromethane (e.g. 10 mg for 0.5 wt% and 5 mg for 0.25 wt%). The reactions were carried out in water under microwave irradiation. The effects of the catalyst preparation process (calcination time and temperature), as well as the base, substrate, and boron compound used in the coupling reaction were investigated in relation to the reusability of the catalyst. Among the bases used to recalcinate the catalyst, HNEt2 and NEt3 were successful. Substitutions in the ortho, meta, or para positions of the aryl halide showed a negligible influence on the yield of the desired coupling product. Except for the phenol-type substrates, all other substrates required the addition of the phase-transfer catalyst tetra-n-butylammonium bromide (TBAB) to enhance their solubility in the solvent (deionized water). The classical order of reactivity of aryl iodides > bromides > chlorides was confirmed.
 |
| | Scheme 19 Suzuki–Miyaura reactions by Ondruschka and co-workers. | |
Palladium supported on natural phosphate. F. Aziz and co-workers have reported a convenient method for the preparation of a recyclable and heterogeneous natural phosphate-supported palladium catalyst (catalyst 25) by treatment of natural phosphate (NP) with PdCl2(PhCN)2 in acetone and its application for the synthesis of biaryls via Suzuki–Miyaura couplings using water as solvent (Scheme 20).43 Aryl bromides and heteroaryl bromides efficiently reacted with arylboronic acids providing a useful way for the synthesis of aryl-substituted nitrogen heterocycles. However, the coupling reaction of 2-bromothiophene and phenylboronic acid did not occur even with increased catalyst loading or reaction time. A considerable steric effect was observed when the reaction was carried out with sterically hindered 2-bromo-m-xylene and phenylboronic acid which led to the desired product in poor yields. Under identical conditions, the aryl chlorides bearing electron-withdrawing groups reacted in good yields, but no conversion was obtained in the coupling of aryl chlorides bearing electron-donating groups. Catalyst 25 was recovered by simple filtration and the product yields for the 2nd and 3rd cycle were nearly the same (93%) but reduced during the 4th cycle (88%). No leaching of the catalyst to the organic layer was reported.
 |
| | Scheme 20 Heterogeneous Suzuki–Miyaura couplings of aryl bromides and aryl chlorides with phenylboronic acid using PdNP. | |
Organic support
Palladium supported on polystyrene. Incorporation of nanosized Pd particles into a hyper-crosslinked polystyrene matrix by reduction was developed, and used for the Suzuki–Miyaura coupling reaction in water.44 Catalyst 26 was prepared by mixing an acidic solution of PdCl2 (PdCl2 (83 mg), 2 ml of H2O and 0.2 ml of concentrated HCl)) with a pre-washed and dried Macronet MN100 resin (950 mg of the MN100 resin in 10 ml flask). The resin was allowed to swell for 10 min in the mixture followed by the addition of sodium formate and sodium hydroxide. The resulting mixture was then heated for 10 min at 80 °C. The obtained grey beads were washed with water and MeOH, and dried in vacuo (1 mm Hg) under heating (90 °C). The average palladium content in the resin was found to be 3.75%. Electron microscopy analysis of the milled Pd catalyst showed an average size of the Pd nanoparticles almost equal to 12.5 nm. The catalyst was employed in the coupling of aryl bromides and chlorides (with greater amounts of the catalyst, viz. double of the amount used for the bromo substrates) with phenylboronic acid, with water being the preferred solvent (Scheme 21). The reuse of the polymer-supported Pd resin was performed analogously to the Suzuki–Miyaura procedure.
 |
| | Scheme 21 Suzuki–Miyaura reactions of phenylboronic acid with arylbromides and an arylchloride. | |
Palladium nanoparticles stabilized onto linear polystyrene (catalyst 27) by thermal decomposition of Pd(OAc)2 was examined in the Suzuki–Miyaura reaction in 1.5 M aqueous KOH solution (Scheme 22).45 A fairly uniform particle size of 2.3 ± 0.3 nm was obtained and ICP-AES revealed that the catalyst contained an average of 2.5 mmol g−1 of Pd. The immobilization degree of palladium was dependent on the molecular weight of polystyrene, while the size of the nanoparticles was not. The cross-coupling reaction of bromobenzene with p-methylphenylboronic acid proceeded efficiently to give 4-methylbiphenyl in 99% yield. Both electron-rich and electron-deficient aryl bromides were reactive under these reaction conditions, affording the desired coupling products in high yields. The catalyst could be recovered by simple filtration. The average yield of 4-methylbiphenyl from the 1st through to the 10th recovered catalysts was 99%. No leaching of palladium into the solution during the reaction was observed by ICP-AES. Worth mentioning is that the reaction proceeded well with aryl chloride and the catalyst could even be recycled.
 |
| | Scheme 22 Suzuki–Miyaura reactions using polystyrene stabilized Pd. | |
In a similar study, linear polystyrene-stabilized PdO nanoparticles (PS–PdONPs, catalyst 28) were prepared in water by thermal decomposition of Pd(OAc)2 in the presence of polystyrene, and the Pd nanoparticles (PS–PdNPs) were also prepared using NaBH4 and phenylboronic acid as reductants.46 The catalytic activity of PS–PdONPs was found slightly higher than that of PS–PdNPs for the Suzuki–Miyaura coupling reaction in water probably due to the presence of oxygen and the size effect. The TEM image of catalyst 28 showed a uniform particle size of 2.3 ± 0.3 nm. Under optimized conditions, the Suzuki–Miyaura coupling reaction of bromobenzene with 4-methylphenylboronic acid in 1.5 M KOH aqueous solution at 80 °C for 1 h proceeded efficiently to give 4-methylbiphenyl in 99% yield (Scheme 23). Both electron-rich and electron-deficient aryl bromides were reactive, affording the desired coupling products in high yields. However, the reaction of chlorobenzene gave a lower yield. The catalyst was recovered by filtration and was recycled for 10 times without any loss of activity. No leaching of palladium into the reaction occurred during the reaction, as confirmed by ICP-AES.
 |
| | Scheme 23 Suzuki–Miyaura reactions using PS–PdONPS. | |
Polypyrrole–palladium nanocomposite-coated cross-linked polystyrene latex particles (PS/PPy–Pd, catalyst 29) have been applied with an excellent catalytic activity to the Suzuki–Miyaura coupling reaction in water (Scheme 24).47 The catalyst was prepared by adding an aqueous solution of PdCl2 and NaCl to a premixed aqueous dispersion of pyrrole and polystyrene. The polymerization was allowed to proceed for 7 days at 200 rpm. The PS/PPy–Pd particles were subsequently purified by repeated centrifugation–redispersion cycles followed by freeze-drying overnight. The potency of the PS/PPy–Pd particles as a catalyst with low metal loading (0.03 mol% of Pd) was examined in the Suzuki–Miyaura coupling reaction of various aryl halides with arylboronic acids in 1.5 mol L−1 aqueous potassium carbonate solution as test reactions. Steric hindrance did not matter as was observed from the high yield of 2,4-o-dimethylbiphenyl from the coupling reaction of 2-bromotoluene with 4-methylphenylboronic acid. ICP-AES analyses confirmed that both the aqueous phase and the organic phase contained barely detectable levels of palladium and that the Pd loading in the particles did not change even after the fifth run, which indicated that no/little Pd nanoparticles detached from the PS/PPy–Pd particles.
 |
| | Scheme 24 Suzuki–Miyaura reactions using PS/PPy–Pd. | |
Palladium immobilized by polymer-supported phosphine ligands. Wang and co-workers reported an exceedingly straightforward and competent catalytic system for the coupling of aryl bromides with sodium tetraphenylborate in water under focused microwave conditions.48 The coupling reaction was completed within 15 to 20 min under the applied reaction conditions involving 1 mol% of the catalyst. The heterogeneous palladium catalyst, consisting of a complex of PdCl2 bonded to a polystyrene–diphenylphosphine ligand, is fairly stable for years at room temperature under aerobic conditions. Potassium carbonate was the choice as the base, and TBAB as the phase-transfer catalyst. Various aryl and heteroaryl bromides were successfully coupled to NaBPh4 under microwave heating (Scheme 25). The heterogeneous palladium catalyst could be easily recovered by filtration and recycled at least ten times with unfailing activity.
 |
| | Scheme 25 Suzuki–Miyaura reactions by Wang et al. | |
An amphiphilic resin-supported triarylphosphine–palladium complex bound to a polyethylene glycol–polystyrene graft copolymer (PEG–PS resin) has been described for the cross-coupling of aryl iodides with boronic acids using KOH as the base.49 The PEG–PS resin-supported palladium–monophosphine complex Pd–PEP (32) was readily prepared by treatment of the resin-supported phosphine (31) with an excess amount of di(μ-chloro)bis(η-allyl)dipalladium(II) ([PdCl(η3-C3H5)]2) (Pd/P > 1/1) followed by the removal of not immobilized [PdCl-(η3-C3H5)]2 by washing with chloroform (Scheme 26).
 |
| | Scheme 26 Schematic diagram for the synthesis of the resin-supported triarylphosphine–palladium complex. | |
This catalytic system was found to be more active than the comparable usual homogeneous palladium–phosphine complexes under the same reaction conditions (Scheme 27). No examples with chloroarenes were reported but good yields were obtained with aryl iodides and bromides under mild conditions (25 °C).
 |
| | Scheme 27 Suzuki–Miyaura reactions by Uozumi et al. | |
In another report, another resin-supported palladium catalyst (PS–PEG-adppp) for the Suzuki–Miyaura coupling reaction in water has been described by Uozumi and co-workers by merely changing the ligand.50 The catalyst 35 was prepared by treatment of PSPEG–NH2 with diphenylphosphinomethanol (Scheme 28) in toluene–MeOH at 25 °C for 3 h to give PS–PEG-adppp with a quantitative loading value of 0.32 mmol g−1. The palladium complex of the bisphosphine ligand PS–PEG-adppp was prepared by mixing [PdCl(η3-C3H5)]2 in toluene at 25 °C for 15 min to give [PS–PEG-adppp-Pd-(η3-C3H5)]Cl (catalyst 35) in a quantitative yield. Altogether, ninety six combinations of eight aromatic halides and twelve different boronic acids were reported from which a clear idea about the extremely efficient and stable heterogeneous catalyst 35 could be obtained. The reactions were carried out in aqueous K2CO3 at 85 °C (Scheme 29). Catalyst 35 can be recovered by simple filtration and reused without any loss of activity.
 |
| | Scheme 28 Synthetic approach for catalyst 35. | |
 |
| | Scheme 29 Suzuki–Miyaura reactions by Uozumi et al. | |
A similar strategy was followed by the same author to introduce the asymmetric Suzuki–Miyaura cross-coupling reaction,51 and achieved by anchoring chiral imidazoindolephosphine to an amphiphilic polystyrene–polyethylene glycol copolymer (PS–PEG) resin (Scheme 30). Excellent yields with very good enantioselectivities (88–99% ee) were obtained at room temperature in water with the aid of a large excess of TBAF (10 equiv.) and boronic acid (5 equiv.). A large amount (10 mol%) of the palladium catalyst was required, but it could be reused after simple filtration with consistent results.
 |
| | Scheme 30 Selected examples of the asymmetric Suzuki–Miyaura reaction by Uozumi et al. | |
Ikegami and co-workers designed a self-assembled complex of palladium and a non-crosslinked amphiphilic polymer supported through phosphines (Scheme 31).52 The catalyst support was prepared by random polymerization of 4-diphenylstyrylphosphine (37) with 12 equiv. of N-isopropylacrylamide (38) in the presence of 4 mol% AIBN, which gave 39 in 89% yield. Catalyst 40 was prepared by self-assembly of 39 and (NH4)2PdCl4. The catalytic activity of this palladium-network catalyst 40 has been investigated for Suzuki–Miyaura reaction in refluxing water where Na2CO3 was the ultimate choice as a base (Scheme 32). The protocol allowed the reaction of aryl bromides and aryl iodides as substrates, but aryl triflates remained unaffected.
 |
| | Scheme 31 Preparation of the self-assembled catalyst 40. | |
 |
| | Scheme 32 Suzuki–Miyaura reactions with the network catalyst 40 by Ikegami et al. | |
Only trace amounts of the highly active palladium-network complex (50–500 ppm) were required for a successful reaction. The catalyst was found to achieve the coupling of unusual alkenyl halides and alkenylboronic acids at a low catalyst concentration (500 ppm). The recyclability of catalyst 40 was examined for the preparation of biphenyl for up to ten consecutive cycles with a consistent activity.
Uozumi and co-workers further developed the idea of a novel palladium complex embedded in a three-dimensional network complex (Scheme 33).53 A novel 3D palladium-network complex catalyst 45 was obtained by self-assembly of PdCl2 and C3-trisphosphine 44, which was prepared from the commercially available 2,4,6-tris-(bromomethyl)mesitylene (41) in four steps. Catalyst 45 showed a high catalytic efficiency at a low loading of 0.05 mol% palladium, and twenty seven examples of the Suzuki–Miyaura reaction in refluxing water with a variety of bromo- and iodoarenes were reported (Scheme 34). Finally, the catalytic complex displayed reusability properties over four successive cycles.
 |
| | Scheme 33 Preparation of the palladium network complex catalyst 45. | |
 |
| | Scheme 34 Suzuki–Miyaura reactions with the network complex 45 by Uozumi et al. | |
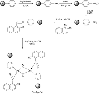
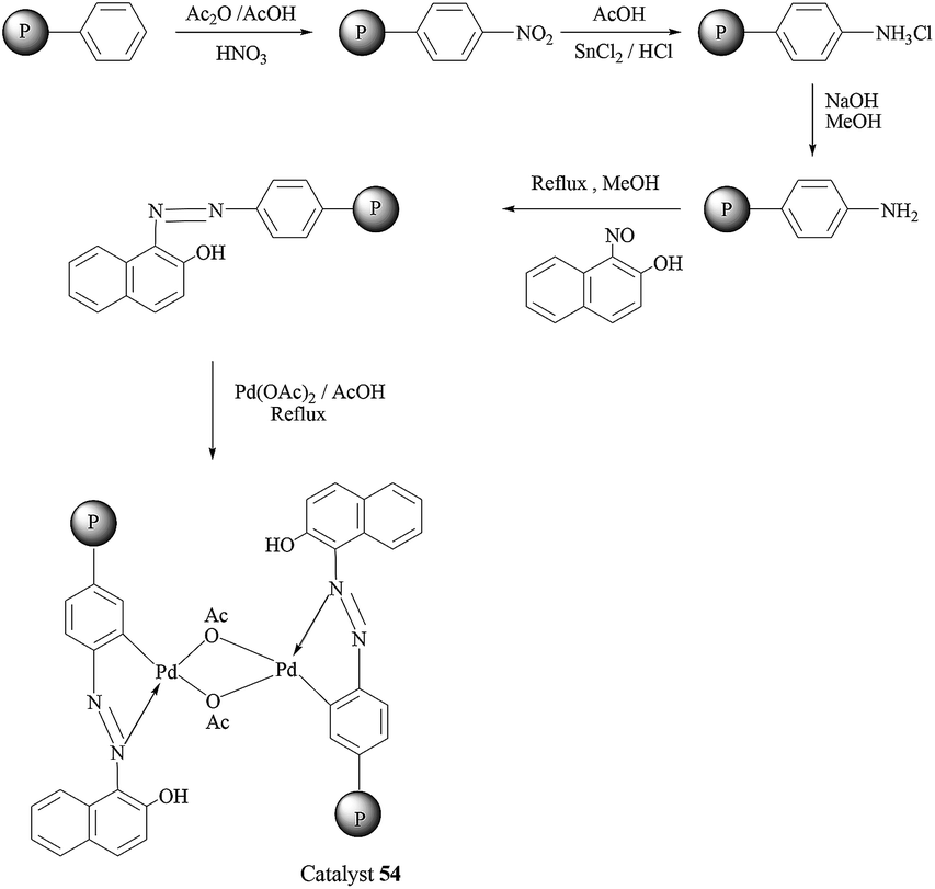
Polymer-supported oxime-based ligands. The group of Kirschning reported in 2004 an insoluble pyridine–aldoxime palladium catalyst active under microwave heating in Suzuki–Miyaura reactions in water (Scheme 35).54 Although the exact structure of the catalyst was not elucidated, the absence of palladium–carbon bonds excluded any palladacycle-type structure. Experiments showed that under microwave activation water as the solvent turned out to be superior to toluene under the catalytic conditions. In the subsequent studies, in order to improve its lifetime the authors covered catalyst 46 (1 mol%) with an Irori Kan™. Under optimized conditions, catalyst 46 with K2CO3 as a base and TBAB as a phase-transfer agent showed good activity for the coupling of various substituted boronic acids with p-chloro-, p-bromo-, p-iodo- and p-trifluoromethylsulfonylacetophenone (Scheme 35). Catalyst 46 was reused for the coupling of 4-bromoacetophenone with benzeneboronic acid, and 93% conversion was observed after the 14th run.
 |
| | Scheme 35 Selected examples of cross-couplings using the catalyst 46. | |
Following their earlier studies, Kirschning et al. considered the aqueous Suzuki–Miyaura reactions of another closely related catalytic system prepared from a 2-pyridine aldoxime-based Pd(II) complex covalently anchored onto a glass–polymer composite material (catalyst 47).55 Aryl and heteroaryl bromides were efficiently coupled with boronic acids at fairly low palladium loadings (0.7 mol%) with the aid of TBAB as the surfactant and KOH as the base, under both thermal (100 °C) or microwave heating (160 °C) conditions (Scheme 36). For chloroarenes, only the coupling of 4-chloroacetophenone has been reported. The catalyst could be reused at least seven times with consistent activity regardless of the source of heating.
 |
| | Scheme 36 Selected examples using the catalytic system developed by Kirchning et al. | |
In another report following the previous one, Kirschning and co-workers explored an alternative approach for immobilization of an oxime carbapalladacycle (48) onto polyvinylpyridine as the support (Scheme 37).56 The polymeric phase was prepared from a heated solution (70 °C) of the monomers vinylpyridine and divinylbenzene with AIBN in a nonpolar solvent. While aryl chlorides were more efficiently coupled in water, aryl bromides were preferentially reacted with boronic acids in toluene under these catalytic conditions (Scheme 38). The protocol is associated with the use of TBAB (0.5 equiv.) and microwave activation. The protocol was equally applicable as a thermal, microwave or continuous flow method.
 |
| | Scheme 37 Immobilization of the oxime carbapalladacycle onto polyvinylpyridine. | |
 |
| | Scheme 38 Cross-coupling reactions developed by Kirschning et al. | |
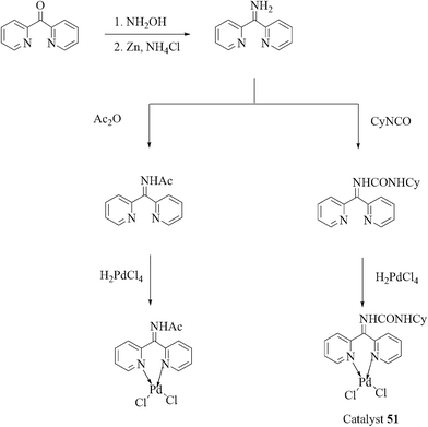
Taking advantage of a rich experience in oxime carbapalladacycle catalysts for cross-coupling reactions in organic and aqueous media,57 Najera and co-workers prepared the palladated Kaiser oxime resin catalyst 50 as an active precatalyst for different types of the Suzuki–Miyaura reaction (Scheme 39).58 Several examples were investigated involving the cross-coupling of aryl bromides, and allyl and benzyl chlorides with aryl-, alkyl- and alkenylboronic acids in neat water. Aryl bromides were efficiently cross-coupled with benzeneboronic acid, but aryl chlorides were poorly reactive. Alkylboronic acid, trivinylboroxine and trimethylboroxine reacted with aryl bromides in the presence of TBAB as an additive. Analysis of the solution showed moderate metal leaching which allowed the reuse of the recovered catalyst 50 with a gradually decreased catalytic activity.
 |
| | Scheme 39 Selected examples from the work of Nájera and co-workers. | |
Polymer-supported triazole ligands. The triazole-functionalized polystyrene resin-supported Pd(II) [PS-tazo-Pd(II)] complex (catalyst 58) was prepared by stirring a suspension of PS-tazo in a solution of PdCl2(PhCN)2 in refluxing EtOH (Scheme 48).66 The amount of palladium incorporated into the polymer was 0.28 mmol g−1 of the heterogenized catalyst. The catalyst was air-stable, easily available and found to be an efficient catalyst in the palladium-catalyzed Suzuki–Miyaura Miyaura coupling reactions of aryl iodides and bromides (Scheme 49). Under the appropriate reaction conditions, all the reactions gave the desired products in moderate to excellent yields. The supported palladium catalyst was easily separated by filtration, and could be reused for several times without a significant loss of catalytic activity.
 |
| | Scheme 48 Triazole-functionalized polystyrene resin-supported Pd(II) [PS-tazo-Pd(II)] complex (catalyst 58). | |
 |
| | Scheme 49 Suzuki–Miyaura reaction of aryl halides with phenylboronic acid using PS-tazo-Pd(II) complex 58. | |
Polymer-supported N-heterocyclic carbene ligands. N-Heterocyclic carbenes have strong donor properties, and bind transition metals more strongly than phosphines. An amphiphilic polymer-supported N-heterocyclic carbene palladium complex (catalyst 61) has been prepared by anchoring a hydrophilic polyethylene glycol chain (PEG-200, PEG-600) to a polystyrene core, covalently bound to an N-heterocyclic carbene (Scheme 50) for Suzuki–Miyaura reactions in water with Cs2CO3 as the base at 50 °C (Scheme 51).67 The methodology could be mainly applied to the cross-coupling of aryl iodides and to a lesser extent to aryl bromides. The catalytic system was reused with gradually decreasing activity up to five recycling runs.
 |
| | Scheme 50 Immobilization of palladium on the PS–PEG–NHC precursor resin. | |
 |
| | Scheme 51 Coupling reactions with the heterogeneous carbene complex catalyst 61 by Lee et al. | |
Oxime-thiosemicarbazone ligand. A palladium complex, 1-phenyl-1,2-propanedione-2-oxime thiosemicarbazone functionalized polystyrene resin-supported Pd(II) (catalyst 62), was found to be a highly active catalyst for the Suzuki–Miyaura reaction of phenylboronic acid with aryl iodides and bromides, giving excellent yields (Scheme 52).68 The reactions were performed under phosphine-free conditions in an air atmosphere. The reaction was effectively carried out in the presence of a wide variety of functional groups on the aryl iodides and aryl bromides, giving good to excellent conversions to the corresponding products. 4-Nitro-iodobenzene and 3-nitro-iodobenzene were found to be the most reactive among the aryl iodides studied. The less reactive bromobenzene showed a lower yield. However, the activated aryl bromides, e.g. 4-bromobenzonitrile and 4-nitrobromobenzene, gave the corresponding products in excellent yields. The palladium catalyst was easily separated by centrifugation after completion of the reaction, and could be reused for several times, but the product yield decreased slightly over four recycling runs.
 |
| | Scheme 52 Suzuki–Miyaura coupling reactions using the heterogeneous catalyst PS-ppdot-Pd(II). | |
Palladium supported on an ionic copolymer. Jun Huang and co-workers69 demonstrated a facile one-step synthetic strategy for a catalyst system by immerging a porous ionic copolymer (PIC) (Scheme 53) into a Pd(OAc)2 acetone solution. Acetone was then removed by evaporation to give the Pd catalyst Pd(OAc)2/PIC. A high yield for 4-methoxybiphenyl was obtained in water under air or argon, and the addition of the phase-transfer agent TBAB enhanced the yield significantly (Scheme 54). Even with 10 ppm (0.001 mol%) loading of Pd, a high yield (95%) was obtained, which showed the extremely high activity of the Pd catalyst system. The coupling reaction of electron-poor aryl chlorides afforded the corresponding biphenyl compounds in excellent yields at 120 °C in 10 hours with 0.01 to 1% Pd loading. The deactivated aryl chloride, 4-chloroanisole, was also coupled with phenylboronic acid in a good yield but with higher Pd loading. Pd/PIC could be separated easily by filtration after one cycle of the reaction, and the Pd/PIC nanocatalyst was recyclable without loss of efficiency.
 |
| | Scheme 53 Synthesis of PIC. | |
 |
| | Scheme 54 Selected examples of the Suzuki–Miyaura coupling using Pd/PIC. | |
Pluronic F68 triblock copolymer. Palladium nanoparticles stabilized by the Pluronic F68 triblock copolymer were prepared by reduction of Na2PdCl4 in the presence of Pluronic F68 (catalyst 63).70 TEM data showed that the catalyst contained mainly cubo-octahedral Pd NPs with an average diameter of 5.4 nm and with relatively low dispersion. The electron diffraction pattern indicated the crystalline nature of Pd NPs. Suzuki–Miyaura reactions were performed with phenylboronic acid and water-soluble aryl iodides and aryl bromides containing an electron-withdrawing or electron-donating substituent, in water in the presence of potassium hydroxide as the base (Scheme 55). The catalyst showed a high efficiency, and the reaction occurred at room temperature in the presence of an optimal amount of KOH (5 equiv.), and a palladium concentration of 1 mol%, and the reaction with m-iodobenzoic acid was almost complete within 0.5 h. The catalytic activity was found to depend on the size of the palladium nanoparticles and their morphology. In particular, the most active under the examined conditions were the trigonal Pd NPs.
 |
| | Scheme 55 Suzuki–Miyaura coupling reaction using the Pd–Pluronic F68 triblock copolymer catalyst 63. | |
Entrapped palladium with functionalized polymers. Entrapping of palladium by the immobilization of palladium acetate on a TentaGel resin has been reported by Bradley and co-workers for the Suzuki–Miyaura reaction.71 The cross-linked resin-captured palladium (XL-RC Pd, catalyst 64) was prepared by treating a mixture of aminomethylated TentaGel resin with palladium acetate (10 wt% of resin) in toluene at 80 °C for 10 min followed by stirring at room temperature for 2 h to afford brown colored resin-captured palladium acetate. The resin was filtrated and treated with 10% hydrazine hydrate in methanol to get Pd(0). The resulting resin was cross-linked with succinyl chloride to fix the captured palladium. TEM images showed Pd(0) nanoparticles with an average size of 7.4 nm. The catalytic system based on the loading of the complex catalyst 64 (10 mol%) and K2CO3 as a base in water at 80 °C, showed good activity for the reaction with aryl bromides, while aryl chlorides proved to be poorly reactive under these reaction conditions (Scheme 56). The coupling reaction required a short duration under microwave activation compared to that under thermal heating. The “three-phase test” showed the high stability of the catalyst. Simple filtration was sufficient for the recovery of the catalyst, which could be recycled at least six times without any decrease in activity.
 |
| | Scheme 56 Active, entrapped complex catalyst 64 in Suzuki–Miyaura reactions. | |
Poly(vinylpyrrolidone) support. In the absence of any ligand, a Suzuki–Miyaura reaction of aryl iodides and bromides with potassium aryltrifluoroborate catalyzed by recoverable palladium(0) on poly(vinylpyrrolidone) (PVP) was developed (Scheme 57).72 The optimized reaction conditions involved the use of Pd/PVP (106 mg of 1% Pd on PVP, 0.01 mmol of metal), K2CO3 (272 mg, 2.0 mmol), aryl halide (1.0 mmol), potassium organotrifluoroborate (1.0 mmol) and water (5 ml) refluxing at 100 °C. Bromoarenes and boronic acids were also reactive under the reaction conditions but produced the products in significantly lower yields. Palladium on PVP could be recycled at least eight times without loss of activity via a simple decantation procedure. No clues on the heterogeneous or homogeneous pathway for the catalysis were reported in this study.
 |
| | Scheme 57 Poly(vinylpyrrolidone)-supported palladium catalyst in Suzuki–Miyaura reactions. | |
QuadraPure support. Cross-linked resin-captured palladium (XL-QPPd) was prepared73 by treating a mixture of solid support QuadraPure with palladium acetate in toluene at 80 °C for 10 min. The resulting resin was then cross-linked with succinyl chloride and triethylamine in dry DMF solvent followed by the treatment with hydrazine hydrate in methanol (10%) at room temperature to get black resin palladium catalyst (1.5 mmol of Pd per g). TEM image and X-ray diffraction analysis revealed that the palladium nanoparticles were well dispersed with diameters ranging from 4–10 nm. The catalyst showed good catalytic activity in Suzuki–Miyaura cross-coupling reactions with various aryl halides and phenylboronic acid in the presence of the resin (5 mol% based on Pd content) for 10 min in water under aerobic and microwave conditions (120 °C, 100 W) (Scheme 58). Although the catalytic system performed well for aryl bromides and aryl iodides, the resin gave poor yields with aryl chlorides under the same reaction conditions. The resin could be recovered by simple filtration and showed consistent catalytic activity after 10 runs with no significant loss of activity. The leaching of Pd analyzed using ICP-MS was only 0.21 ppm.
 |
| | Scheme 58 Microwave-promoted Suzuki–Miyaura couplings of aryl halides with phenylboronic acid catalyzed by XL-QPPd nano. | |
Palladium supported by polyaniline. Diaconescu and co-workers74 reported the preparation of biphenyls by polyaniline nanofiber-supported palladium nanoparticle-catalyzed cross coupling reactions of chloroarenes and boronic acids. Using a low loading of Pd/PANI (0.05 mol%) and NaOH as the base, activated and deactivated chloroarenes were coupled with boronic acids in the absence of an additive in refluxing water (Scheme 59). These results were reinforced by the good reusability of the catalyst for more than ten cycles.
 |
| | Scheme 59 Selected examples of the Suzuki–Miyaura reaction by Diaconescu et al. | |
Another report of polyaniline-supported palladium was by M. L. Kantam and co-workers.75 Four types of catalyst were prepared from different palladium precursors and all the catalysts were tested in Suzuki–Miyaura couplings of bromo- and chloroarenes in water (Scheme 60), and the catalyst prepared from the PdCl2 precursor was found to be the most effective catalyst. Cs2CO3 was found to be the best one though other inorganic bases like K3PO4 and KF were also found to be fairly active under these conditions in comparison to organic bases like Et3N and Bu3N. Bromoarenes with electron-withdrawing functionalities reacted at a faster rate than the bromoarenes bearing electron-donating functionalities. Arylboronic acids with an electron-withdrawing group required longer times than those with an electron-donating group. Sterically hindered arylbromides as well as arylboronic acids reacted sluggishly. The catalyst loading could be reduced to 0.5 and 0.1 mol% but longer reaction times were required for excellent yields. The catalyst was used for five consecutive cycles and the difference in palladium content between the fresh and used catalyst was ca. 2%.
 |
| | Scheme 60 Suzuki–Miyaura couplings using PANI–Pd by L. Kantam et al. | |
Natural source. Chitosan, a biopolymer composed of D-glucosamine and N-acetylglucosamine, has been considered as a suitable water-compatible solid support for palladium (Scheme 65) in the Suzuki–Miyaura reaction (Scheme 66).78 The optimized reaction conditions involved TBAB as a phase-transfer agent and K3PO4 as a base in the presence of 0.5 mol% of the palladium catalyst (Pd/chitosan), which showed good activity under microwave activation for iodo- and bromoarenes while chloroarenes were much less reactive. The heterogeneous catalyst was reused for the reaction of 4-iodoacethophenone with phenylboronic acid with consistent activities over five cycles.
 |
| | Scheme 65 Preparation of the chitosan-supported palladium(0) catalyst. | |
 |
| | Scheme 66 Palladium supported on chitosan as a catalyst for Suzuki–Miyaura reactions. | |
Following the previous report, a chitosan-g-mTEG (methoxy triethylene glycol)- or -mPEG (methoxy polyethylene glycol)-supported palladium(0) catalyst (Scheme 67) for the Suzuki–Miyaura cross-coupling reaction in water has been demonstrated by the same author (Scheme 68).79 The catalyst showed excellent catalytic activity in the Suzuki–Miyaura cross-coupling reaction without additional phase-transfer reagents due to the enhanced solubility of the organic substrate by PEG grafting. In addition, the catalyst could be reused up to five times with the catalytic activity being recovered easily after simple manipulations.
 |
| | Scheme 67 Preparation of the CS-g-mTEG or -mPEG Pd(0) catalyst. | |
 |
| | Scheme 68 Suzuki–Miyaura coupling using the CS-g-mTEG or -mPEG Pd(0) catalyst. | |
The activity of the g-mTEG or -mPEG Pd(0) catalyst was similar to the one of the CS–Pd(0) catalyst when TBAB was used as a phase-transfer reagent, but without TBAB, the activity of the CS-g-mPEG Pd(0) catalyst was superior to that of the CS–Pd(0) catalyst which demonstrated that grafted mTEG or mPEG worked as an effective phase-transfer reagent in the Suzuki–Miyaura cross-coupling reaction in water. Aryl iodides and bromides gave viable product yields while aryl chlorides gave comparatively lower yields. CS-g-mPEG Pd(0) showed better catalytic activity than the non-grafted CS–Pd(0) catalyst and was found to be effective for the coupling of aryl chloride in water. The CS-g-mPEGPd(0) catalyst was reused up to five times with gradually decreasing activity which might be due to the aggregation of palladium nanoparticles inside the chitosan beads, according to the authors.
Another report on chitosan-supported Palladium catalysts (Scheme 69) is by Pombeiro et al.80 Pd-Chit 70 and Pd-Chit 71 (Fig. 7) have been exploited for model microwave-assisted Suzuki–Miyaura cross-coupling reactions in water to give excellent yields. The effects of catalyst loading, temperature, time, the phase-transfer agent tetrabutylammonium bromide (TBAB) and base were investigated. The catalytic reactions of the supported material proceeds heterogeneously as proven by activity studies and ICP-AES analyses on leaching. Although the presence of the phase-transfer agent TBAB favoured the reaction, its effect was less pronounced with the increase in temperature and become negligible at 160 °C. The presence of a base was fundamental and potassium carbonate was the best one among those screened. The chitosan-supported heterogeneous catalyst could be successfully recovered and reused up to seven times though with a gradual loss of catalytic activity.
 |
| | Scheme 69 Synthesis of the fused bicyclic oxadiazoline A and ketoimine B palladium(II) complexes. | |
 |
| | Fig. 7 Palladium catalysts by Pombeiro et al. | |
The use of palladium nanoparticles stabilized by natural beads made of an alginate/gellan mixture (Fig. 8, Scheme 70) in the Suzuki–Miyaura cross-coupling reaction of arenediazonium tetrafluoroborates with potassium aryltrifluoroborates (1
:
1 molar ratio) with a catalyst loading as low as 0.01–0.002 mol% under aerobic, and phosphine- and base-free conditions in water is described (Scheme 71).81 Good to high yields were obtained with arenediazonium tetrafluoroborates and potassium aryltrifluoroborates containing both electron-donating and electron-withdrawing substituents. However, a more severe steric congestion leads to trace amounts of the desired product. SEM analysis, at higher magnification, displayed aggregated nanoparticles and TEM measurements indicated that the catalyst system before use contained spheroidal palladium nanoparticles, whose average size was 3.4 ± 1.4 nm. The catalyst system could be reused several times without significant loss of activity. The material recovered after eight runs showed nanoparticles of about 3.6 ± 1.7 nm in diameter.
 |
| | Fig. 8 Chemical structures of alginate (A) and gellan (G). | |
 |
| | Scheme 70 Synthesis of Pdnp/A–G. | |
 |
| | Scheme 71 Reaction of arenediazonium tetrafluoroborates with potassium aryltrifluoroborates catalyzed by Pdnp/A–G. | |
Biopolymer. A heterogeneous biopolymer complex wool–Pd catalyst (Fig. 9, catalyst 72) has been applied in water-mediated coupling reactions of aryl iodides and bromides with arylboronic acids (Scheme 72).82 The reaction could be conducted under atmospheric conditions without any specific protection and phase-transfer agent. The experimental observations showed that the catalytic system was applicable to various aryl iodides and bromides and tolerant to a broad range of functional groups, including H, NO2, NH2, OR, OH, COMe and CHO. The catalyst was reusable and easy to separate, and the product could be obtained by simple filtration.
 |
| | Fig. 9 Wool-Pd catalyst 72. | |
 |
| | Scheme 72 Suzuki–Miyaura coupling reactions using wool-Pd. | |
Hybrid organic–inorganic supports
Silica-supported ionic liquids. An efficient and reusable catalyst with PdEDTA immobilized on an ionic liquid brush (Scheme 76) and a green procedure have been developed for the coupling of aryl iodides and bromides with phenylboronic acid (Scheme 77).85 For a smooth reaction, 1 mol% of the catalyst was sufficient, giving the desired coupling product in nearly quantitative yield without any detectable unwanted self-coupling product. Even with an amount as small as 0.5 mol%, the catalyst exhibited good performance. Aryl iodides were clearly more reactive and gave the coupling products in yields ranging from 90% to almost 100% for the examples screened. The yield gradually decreased for aryl bromides to aryl chlorides with longer reaction times. The catalyst also worked efficiently for heteroaryl halides. Electron-withdrawing and electron-donating substituents on either the aryl halide or phenylboronic acid did not have a detrimental effect on the ability of the catalyst. Couplings proceeded successfully to give the desired products in high yields even in the presence of sensitive groups such as MeCO, CO2H, NH2, CN, and OH, without any protection.
 |
| | Scheme 76 Preparation of silica-immobilized ionic liquid brush catalysts. | |
 |
| | Scheme 77 Suzuki–Miyaura reactions with the complex catalyst by Wei et al. | |
The palladium-in-brush catalyst could be recovered by simple filtration. Ten consecutive preparations of 4-methoxybiphenyl showed no significant reduction in yield which was again supported by ICP-MS analyses showing low leaching of less than 0.5% of the initial palladium loading).
The parent ordered mesoporous organosilica with ionic liquid framework (PMO-IL) was synthesized by hydrolysis and co-condensation of 1,3-bis-(3-trimethoxysilylpropyl)imidazolium chloride and tetramethoxysilane in the presence of pluronic P123 as a template under acidic conditions. This nanostructured PMO-IL material was then reacted with a sub-stoichiometric amount of Pd(OAc)2 to afford the corresponding palladium-containing periodic mesoporous organosilica (Pd@PMO-IL) catalyst (Fig. 10) (Scheme 78).86 Pd@PMO-IL was established as an efficient and reusable catalyst for the Suzuki–Miyaura coupling reaction of various types of aryl iodides, bromides, and even deactivated chlorides in water (Scheme 79). It was also found that, although the PMO-IL nanostructure acted as a reservoir for soluble Pd species, it could also operate as a nanoscaffold to recapture Pd nanoparticles into the mesochannels thus preventing extensive agglomeration of Pd. Among the various bases screened, K2CO3 provided the highest cross-coupling yield. Highly deactivated heteroaromatic substrates led to the corresponding bis(aryl) products in excellent yields. The catalyst was also capable of activating chlorobenzene to produce the desired products in significant yields. Moreover, various functional groups, such as cyano, acyl, CHO, methyl and methoxy, were tolerated and the corresponding coupled products were obtained in good to excellent isolated yields. Surprisingly, hot filtration tests and selective catalyst poisons showed the presence of soluble Pd species during the reaction process but atomic spectroscopy and catalyst recovery studies illustrated no significant decrease in activity and metal content of recovered Pd@PMO-IL.
 |
| | Fig. 10 Silica-immobilized PdEDTA2- ionic liquid. | |
 |
| | Scheme 78 Preparation of the Pd@PMO-IL catalyst. | |
 |
| | Scheme 79 Suzuki–Miyaura cross-coupling of various aryl halides with ArB(OH)2 in the presence of the Pd@PMO-IL catalyst in water. | |
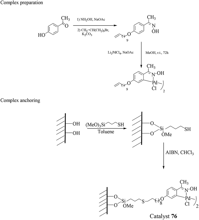
Silica-supported oxime-based ligands. Corma and co-workers inspired by the studies of Najera and co-workers87 described the use of an oxime palladacycle covalently anchored onto silica-based inorganic supports (Scheme 80) in the Suzuki–Miyaura reaction in water.88 The oxime palladacycle was anchored either on amorphous silica (Pd/SiO2, catalyst 76) or on MCM-41 (Pd/MCM-41), and the reactivities of the resulting catalysts were evaluated in parallel experiments. Although both catalysts were catalytically active, the Pd/SiO2 catalyst 76 gave the best results with bromoarenes and activated chloroarenes at 5 mol% palladium loading with K2CO3 as the base (Scheme 81).
 |
| | Scheme 80 Anchoring procedure of the oxime carbapalladacycle onto the mercaptopropyl-modified high surface silica. | |
 |
| | Scheme 81 Selected examples described by Corma et al. | |
The use of an organic solvent such as 1,4-dioxane was detrimental for the successful reaction. Moreover, the same oxime palladacycle anchored onto polymeric supports, i.e. polystyrene and polyethylene glycol bis(methacrylate), gave low conversions for the coupling products. Recycling of the Pd/SiO2 catalyst 76 was evaluated using 4-chloroacetophenone and phenylboronic acid as the substrates and indicated that eight consecutive reactions could be run without any decrease in activity. Leaching studies using the “three-phase test” were conclusive for a truly heterogeneous process with no detectable palladium species being released into the medium.
In a subsequent study, Corma and co-workers reported a related oxime palladacycle anchored onto a periodic mesoporous organosilica (PMO) (Scheme 82).89 Although the results reported by Corma and co-workers were relevant for bromoarenes, the Pd/PMO catalyst was essentially unreactive for aryl chlorides. Moreover, the recycling of Pd/PMO was limited by a significant decrease in catalytic activity upon reuse. As a consequence, PMO did not convey any benefits over the only amorphous silica.
 |
| | Scheme 82 Synthesis of catalyst 77. | |
Silica-supported mercaptopropyl ligands. Because of its high porosity and surface area, the mesoporous silicate SBA-15 was also exploited as a support with mercaptopropyl ligands by Crudden and co-workers.90 Only three bromoarenes and a single chloroarene were studied in cross-coupling reactions with phenylboronic acid in water. Excellent catalytic activity was achieved for the mercaptopropyl-anchored SBA-15 palladium catalyst 78 (Scheme 83). Heterogeneity tests clearly indicated that the reaction occurred through a truly heterogeneous catalysis. Although the mercaptopropyl ligands, anchored to an amorphous silica support (SiO2), showed a similar catalytic activity, the recycling ability was hampered by a noticeable loss of activity after the second cycle.
 |
| | Scheme 83 Suzuki–Miyaura coupling reactions using the SBA-15 palladium catalyst 78. | |
Silica-supported phosphine ligands. A study describing the use of a fluorous reversed-phase silica gel as a support for the non-covalent immobilization of perfluoro-tagged palladium phosphine complexes has been described by the group of Bannwarth.91 Complex catalyst 80, immobilized on the fluorous-reversed silica gel 79 (Fig. 11) by a simple dispersion technique, gave the best results in the cross-couplings of water-soluble aryl bromides with arylboronic acids (Scheme 84), but less water-soluble substrates were essentially unreactive. The immobilization of triphenylphosphine–palladium complexes on normal silica gel led to a supported-catalyst having similar activity, however, significant palladium leaching was observed in the solvent (7.4%). In comparison, the fluorous complex appeared much more robust (0.8% leaching). The “three-phase test” was conclusive for a homogeneous catalysis operating likely by a “release and capture” mechanism. The low leaching observed with this catalytic system allowed the recycling of the complex for five runs with only limited and progressive deactivation.
 |
| | Fig. 11 Structure of the fluorous silica-supported perfluoro-tagged phosphine palladium catalyst. | |
 |
| | Scheme 84 Cross-coupling reactions according to the work of Bannwarth and co-workers. | |
Cai et al. also reported Suzuki–Miyaura cross-coupling reactions using perfluoro-tagged palladium nanoparticles on a fluorous silica gel (FSG) as the catalyst (Scheme 85), K2CO3 as the base and TBAB as an additive in H2O, affording the corresponding biphenyls in moderate to high yields (Scheme 86).92 It was obvious from the TEM image that the spherical palladium nanoparticles were successfully dispersed in the silica matrix with an average size of 2–3 nm. The catalyst could be recovered by simple filtration and reused several times with a slight decrease in activity.
 |
| | Scheme 85 Preparation of fluorous nanoparticle stabilizer and the fluorous silica gel-supported Pd catalyst. | |
 |
| | Scheme 86 Pd–C/FSG-catalyzed Suzuki–Miyaura reactions. | |
Aryl bromides bearing either electron-donating or electron-withdrawing substituents in the ortho- and para-positions, afforded the corresponding biphenyls in good to excellent yields. Aryl trifluoromethanesulfonate and aryl perfluorooctanesulfonate were more active than bromobenzene in terms of yield as well as the time. However, chlorobenzene was not active in the reaction and only a moderate yield was obtained even when the catalyst was increased to up to 1 mol%. When activated aryl chloride was used, a relatively higher yield was obtained though the yield was still unsatisfactory. Recycling studies showed that the supported catalyst could be reused several times with a slight decrease in activity, and Pd leaching was less than 10 ppm.
A Pd(II) organometal catalyst with a three-dimensional (3D) cage-like Ia3d cubic mesoporous structure and a high surface area was prepared (Scheme 87).93 In comparison with the corresponding catalyst with a two-dimensional (2D) P6mm hexagonal mesoporous structure, the as-prepared catalyst exhibited higher activities in water-medium Suzuki–Miyaura coupling reactions owing to the diminished diffusion limit. It showed comparable efficiencies with the Pd(PPh3)2Cl2 homogeneous catalyst and could be easily recycled and reused for five times without significant loss of activity (Scheme 88).
 |
| | Scheme 87 Illustration of preparing Pd(II)–PMO(Ph)-3D. | |
 |
| | Scheme 88 Water-medium Suzuki–Miyaura reactions on the Pd(II)–PMO(Ph)-3D-2 catalyst. | |
Acetyl acetonate ligands. Supported Pd nanoparticles on an acetyl acetone modified silica gel (catalyst 81) were prepared (Scheme 89), and the catalytic application in the Suzuki–Miyaura reaction of various aryl halides with phenylboronic acid was investigated (Scheme 90).94 The amount of Pd on the catalyst was 0.04 mmol g−1 (4.26 mg g−1) determined using AAS. The TEM image indicated the presence of palladium nanoparticles in the range of 6–12 nm.
 |
| | Scheme 89 Pd nanoparticles on an acetyl acetone modified silica gel (catalyst 81). | |
 |
| | Scheme 90 Suzuki–Miyaura coupling reaction using Pd nanoparticles on an acetyl acetone modified silica gel. | |
Under optimized conditions, the reaction of 4-bromoacetophenone and phenylbronic acid using 10 mg (0.0004 mmol, 0.04 mol% Pd) of the catalyst and 2 equiv. of the base gave the best result. Water was the most efficient solvent and NaHCO3 was chosen as the best base for this reaction. The catalyst could be used for cross-coupling reactions of aryl iodides, bromides and even less reactive aryl chlorides under the reflux temperature, which were transformed to the corresponding coupled products in good to excellent yields in short reaction times. However, aryl chlorides reacted more slowly in comparison to the iodide and bromide derivatives. The most hindered aryl halides usually produced the corresponding biaryls with longer reaction times and lower yields. The catalyst was recycled four times with essentially no loss of activity, even after recycling it six times, good product yields could still be obtained.
Amino pyridine linker. S. M. Islam et al.95 have reported the synthesis and catalytic activity of a mesoporous silica nanosphere-supported palladium(II)–2-aminopyridine complex (Pd–AMP-MSN) (Scheme 91). FTIR spectroscopic analysis confirmed the presence of 2-aminopyridine functionalities inside the mesopores of Pd–AMP-MSN. FESEM and HRTEM results indeed showed the formation of nanospheres with mesoporous structures. This catalytic system exhibited excellent activity in Suzuki–Miyaura cross-coupling reactions of aryl iodides, aryl bromides and also aryl chlorides with phenylboronic acids in a water medium with high yields (Scheme 92). This Pd–AMP-MSN catalyst could be quantitatively recovered by simple filtration and was found to be highly active without any significant loss of catalytic activity after eight consecutive runs.
 |
| | Scheme 91 Schematic illustration of the synthesis of the Pd–AMP-MSN catalyst. | |
 |
| | Scheme 92 Suzuki-Miyaura cross-coupling reactions of phenyl bromide with ArB(OH)2 using the Pd–AMP-MSN catalyst. | |
The catalytic efficiency was not significantly affected by the substituents on the aromatic ring of the halides. The Suzuki–Miyaura cross-coupling reaction of sterically hindered aryl halides could also proceed smoothly affording the desired coupled products in good yields. At the expense of time with up to 10 h, brominated heterocyclic derivatives afforded the products in good yields when treated with phenylboronic acid under the optimized conditions. The less reactive and less expensive phenyl chloride also showed moderate reactivity (yield 82–83%).
Zeolite-supported ionic liquids. Immobilization of palladium acetate with ionic liquids in the mesoporous channels of a hierarchically porous MFI zeolite (Scheme 93) has been envisaged as an active catalyst for Suzuki–Miyaura reactions under aqueous conditions.96 The optimized catalytic system efficiently uses the heterogeneous palladium catalyst 82, in the presence of TBAB as the surfactant and K3PO4 as the base, for the preparation of various substituted biphenyls (Scheme 94). More than thirty examples showed that even very crowded bromoarenes could react smoothly at low catalyst loading (0.3 mol% Pd). In addition to this excellent catalytic activity, the heterogeneous palladium catalyst 82 was used in four consecutive runs with conserved efficiency (Fig. 12).
 |
| | Scheme 93 Preparation of the MFI-supported Pd(OAc)2–ionic liquid. | |
 |
| | Scheme 94 Selected examples of the hindered biphenyl synthesis. | |
 |
| | Fig. 12 Representation of catalyst 82. | |
Metal oxide-supported ionic liquids. Jin and co-workers described a very original approach based on a recoverable palladium supported magnetite Fe3O4–ionic liquid catalyst.97 Due to the magnetic properties of nano-Fe3O4, the hybrid complex catalyst 83 (Scheme 95) could be separated from the reaction mixture by an external magnet avoiding the usual filtration or centrifugation process. The Pd–NHC/Fe3O4-IL catalyst 83 was evaluated for the Suzuki–Miyaura cross-coupling of bromoarenes with a variety of arylboronic acids. The catalyst system required K3PO4 as the base and TBAB as the phase-transfer agent in water at temperatures ranging from 40–85 °C. Numerous examples were reported with 0.5 mol% Pd indicating that the protocol was particularly efficient even in the presence of challenging substrates (Scheme 96). Recycling of 83 proved to be successful along five cycles. ICP analyses showed a palladium leaching after the first use of about 10 ppm which notably decreased upon subsequent reuses.
 |
| | Scheme 95 Schematic representation for the synthesis of catalyst 83. | |
 |
| | Scheme 96 Few examples of challenging couplings using catalyst 83. | |
Poly-vinyl-pyrolidone/KIT. The composite poly(N-vinyl-2-pyrrolidone)/KIT-5 (PVP/KIT-5) was prepared by an in situ polymerization method and used as a support for palladium nanoparticles obtained through the reduction of Pd(OAc)2 by hydrazine hydrate.98 The catalytic performance of this heterogeneous catalyst was determined in Suzuki–Miyaura cross-coupling reactions between aryl halides (X = I, Br, Cl) and phenylboronic acid in the presence of water at room temperature. The stability of the nanocomposite catalyst was excellent, and it could be reused eight times without much loss of activity. After completion of the reaction, the catalyst was recovered from the reaction mixture by simple filtration (Scheme 97).
 |
| | Scheme 97 Suzuki–Miyaura reactions of aromatic aryl halides and phenylboronic acid catalyzed by Pd–PVP/KIT-5. | |
Following their previous work, a Pd nanoparticle–poly(2-hydroxyethyl methacrylate)/KIT-6 (Pd–PHEMA/KIT-6) composite was fabricated through an in situ polymerization method and was evaluated as a novel heterogeneous catalyst in Suzuki–Miyaura cross coupling reactions of aryl chlorides, bromides and iodides and phenylboronic acid under aerobic conditions in water by the same group of workers (Scheme 98).99 The reactions were usually carried out at 40 °C for 1 h. Sometimes a higher temperature of 95 °C as well as longer reaction times were required for the reaction depending on the nature of the reactants. The Pd content of the catalyst estimated by ICP-AES was 0.956 mmol g−1. The typical TEM micrographs showed a cubic Ia3d pore array structure for the Pd–PHEMA/KIT-6 nanocomposite. This heterogeneous catalyst could be reused at least nine times without any decrease in activity.
 |
| | Scheme 98 Suzuki–Miyaura coupling reactions using Pd–PHEMA/KIT-6. | |
Metal Organic Framework (MOF). Water-mediated coupling reactions of aryl chlorides over heterogeneous palladium deposited on a zeolite-type MOF was reported.100 This work represents the first example of an active catalyst, composed of a MOF as the support for metal NPs, for the coupling reactions of aryl chlorides (Scheme 99). The TEM image showed that the palladium NPs were highly dispersed, with a mean diameter of 1.9–0.7 nm, as estimated by the size distribution. The crystalline structure of the catalyst was mostly retained after five catalytic cycles. A very low amount of dissolved palladium (less than 0.2% of the total palladium) was detected in the solution at the end of the reaction.
 |
| | Scheme 99 Suzuki–Miyaura coupling reactions of aryl chlorides over supported palladium catalysts. | |
Conclusions
The Suzuki–Miyaura cross-coupling reaction is a method for carbon–carbon bond formation, which is a highly useful and versatile method needed for the development of modern drug discovery and the synthesis of many natural products, polymers and other organic compounds of various importance. Tremendous effort has been put forward by chemists throughout the world for improving the Suzuki–Miyaura coupling reaction, keeping in mind the current need for greener reactions. The development of sustainable chemistry is a crucial area of research for the future advancement of our society. To cope with the growing demand for eco-friendly procedures, chemists have improved heterogeneous catalytic systems and moved to safer reaction media such as water. Although a considerable progress has been achieved for the Suzuki–Miyaura coupling reaction using palladium under heterogeneous conditions, the reaction pathway under heterogeneous conditions, the minimization of leaching of palladium after a few cycles, and the exploration of other eco-friendly metal catalysts for this reaction remain still to be investigated. Nevertheless, there are still many areas to explore in the area of eco-compatible chemical synthesis, and no doubt supported organometallic chemistry will lead the way along the path of progress.
Acknowledgements
SP thanks UGC for awarding DS Kothari a Post Doctoral Fellowship (no. F.4-2/2006 (BSR)/CH/13-14/0075). MMI acknowledges UGC, New Delhi, for awarding Maulana Azad a National Fellowship (F1-17.1/2013-14/MANF-2013-14-MUS-WES-24492/(SAIII). SMI acknowledges the Department of Science and Technology (DST) and Council of Scientific and Industrial Research (CSIR) New Delhi, India, for funding. We also acknowledge DST & UGC, Govt of India, for providing support to the Department of Chemistry, University of Kalyani, under the PURSE, FIST and SAP program.
Notes and references
- For selected reviews, see:
(a) V. Farina, Adv. Synth. Catal., 2004, 346, 1553 CrossRef CAS PubMed
;
(b) H.-U. Blaser, A. Indolese, F. Naud, U. Nettekoven and A. Schnyder, Adv. Synth. Catal., 2004, 346, 1583 CrossRef CAS PubMed
;
(c) A. Zapf and M. Beller, Chem. Commun., 2005, 431 RSC
;
(d) K. C. Nicolaou, P. G. Bulger and D. Sarlah, Angew. Chem., 2005, 117, 4516 (Angew. Chem., Int. Ed., 2005, 44, 4442) CrossRef PubMed
;
(e) G. Zeni and R. C. Larock, Chem. Rev., 2006, 106, 4644 CrossRef CAS PubMed
;
(f) J.-L. Malleron, J.-C. Fiaud and J.-Y. Legros, Handbook of Palladium Catalyzed Organic Reactions: Synthetic Aspects and Catalytic Cycles, Academic Press, San Diego, 1997 Search PubMed
;
(g) J. Tsuji, Palladium Reagents and Catalysts: Innovations in Organic Synthesis, Wiley, Chichester, 1995 Search PubMed
;
(h) S. Budagumpi, R. A. Haque and A. W. Salman, Coord. Chem. Rev., 2012, 256, 1787 CrossRef CAS PubMed
;
(i) E. A. B. Kantchev, C. J. O’Brien and M. G. Organ, Angew. Chem., Int. Ed., 2007, 46, 2768 CrossRef CAS PubMed
;
(j) R. Stürmer, Angew. Chem., Int. Ed., 1999, 33, 3307 CrossRef
. - J.-C. Hierso, M. Beauperin and P. Meunier, Eur. J. Inorg. Chem., 2007, 3760 Search PubMed
. -
(a) G. Bringmann, R. Gotz, P. A. Keller, R. Walter, M. R. Boyd, F. Lang, A. Garcia, J. J. Walsh, I. Tellitu, K. V. Bhaskar and T. R. Kelly, J. Org. Chem., 1998, 63, 1090 CrossRef CAS
;
(b) M. Vilaro, G. Arsequell, G. Valencia, A. Ballesteros and J. Barluenga, Org. Lett., 2008, 10, 3243 CrossRef CAS PubMed
;
(c) J. K. Liu, Chem. Rev., 2006, 106, 2209 CrossRef CAS PubMed
. -
(a) F. Alonso, I. P. Beletskaya and M. Yus, Tetrahedron, 2008, 64, 3047 CrossRef CAS PubMed
;
(b) S. Kotha, K. Lahiri and D. Kashinath, Tetrahedron, 2002, 58, 9633 CrossRef CAS
;
(c) N. T. S. Phan, M. Van Der Sluys and C. W. Jones, Adv. Synth. Catal., 2006, 348, 609 CrossRef CAS PubMed
;
(d) A. Kumar, G. K. Rao, S. Kumar and A. K. Singh, Dalton Trans., 2013, 5200 RSC
;
(e) F. Bellina, A. Carpita and R. Rossi, Synthesis, 2004, 15, 2419 Search PubMed
;
(f) D. A. Alonso and C. Nájera, Chem. Soc. Rev., 2010, 39, 2891 RSC
;
(g) B. Karimi and A. Zamani, Org. Biomol. Chem., 2012, 10, 4531 RSC
. -
(a) N. Miyaura and A. Suzuki, Chem. Rev., 1995, 95, 2457 CrossRef CAS
;
(b) A. J. J. Lennox and G. C. Lloyd-Jones, Chem. Soc. Rev., 2014, 43, 412 RSC
;
(c) G. A. Molander and B. Canturk, Org. Lett., 2008, 10, 2135 CrossRef CAS PubMed
. -
(a) N. Miyaura, K. Yamada and A. Suzuki, Tetrahedron Lett., 1979, 20, 3437 CrossRef
;
(b) N. Miyaura and A. Suzuki, J. Chem. Soc., Chem. Commun., 1979, 866 RSC
. - For the first examples of alkyl–alkyl Suzuki-Miyaura cross-coupling reactions, see:
(a) T. Ishiyama, S. Abe, N. Miyaura and A. Suzuki, Chem. Lett., 1992, 691 CrossRef CAS
; For more recent developments in Suzuki-Miyaura coupling reactions of alkyl halides, see:
(b) J. Zhou and G. C. Fu, J. Am. Chem. Soc., 2004, 126, 1340 CrossRef CAS PubMed
; and references therein; for a review of catalysts for cross-coupling reactions with non-activated alkyl halides, see:
(c) A. C. Frisch and M. Beller, Angew. Chem., 2005, 117, 680 (Angew. Chem., Int. Ed., 2005, 44, 674) CrossRef PubMed
. -
(a) D. W. Old, J. P. Wolfe and S. L. Buchwald, J. Am. Chem. Soc., 1998, 120, 9722 CrossRef CAS
;
(b) A. F. Littke, C. Dai and G. C. Fu, J. Am. Chem. Soc., 2000, 122, 4020 CrossRef CAS
;
(c) W. Dai, Y. Li, Y. Zhang, C. Yue and J. Wu, Chem.–Eur. J., 2008, 14, 5538 CrossRef CAS PubMed
;
(d) A. M. Sajith and A. Muralidharan, Tetrahedron Lett., 2012, 53, 1036 CrossRef CAS PubMed
;
(e) G. A. Molander, F. Beaumard and T. K. Niethamer, J. Org. Chem., 2011, 76, 8126 CrossRef CAS PubMed
. - N. Miyaura, K. Yamada, H. Suginome and A. Suzuki, J. Am. Chem. Soc., 1985, 107, 972 CrossRef CAS
. - A. L. Casalnuovo and J. C. Calabrese, J. Am. Chem. Soc., 1990, 112, 4324 CrossRef CAS
. -
(a) M. Carril, R. SanMartin and E. Dominguez, Chem. Soc. Rev., 2008, 37, 639 RSC
;
(b) K. H. Shaughnessy, Eur. J. Org. Chem., 2006, 1827 CrossRef CAS PubMed
;
(c) L. Bai and J. X. Wang, Curr. Org. Chem., 2005, 9, 535 CrossRef CAS
;
(d) K. H. Shaughnessy and R. B. DeVasher, Curr. Org. Chem., 2005, 9, 585 CrossRef CAS
;
(e) R. Franzen, Y. J. Can, J. Xu and C. Chim, Chem. Rev., 2005, 83, 266 CAS
;
(f) J. P. Genet and M. Savignac, J. Organomet. Chem., 1999, 576, 305 CrossRef
. -
(a) I. D. Kostas, A. G. Coutsolelos, G. Charalambidis and A. Skondra, Tetrahedron Lett., 2007, 48, 6688 CrossRef CAS PubMed
;
(b) S. Gülcemal, I. Kani, F. Yilmaz and B. Cetinkaya, Tetrahedron, 2010, 66, 5602 CrossRef PubMed
;
(c) T. Tu, X. K. Feng and Z. X. Wang, Dalton Trans., 2010, 10598 RSC
;
(d) S. Q. Bai and T. S. A. Hor, Chem. Commun., 2008, 3172 RSC
;
(e) M. Beller, J. G. E. Krauter and A. Zapf, Angew. Chem., Int. Ed., 1997, 36, 772 CrossRef CAS PubMed
;
(f) K. W. Anderson and S. L. Buchwald, Angew. Chem., Int. Ed., 2005, 44, 6173 CrossRef CAS PubMed
;
(g) N. Liu, C. Liu and Z. L. Jin, Green Chem., 2012, 14, 592 RSC
. -
(a) J. Zhi, D. P. Song and Z. W. Li, Chem. Commun., 2011, 47, 10707 RSC
;
(b) B. H. Lipshutz, S. Ghorai, A. R. Abela, R. Moser, T. Nishikata, C. Duplais, A. Krasovskiy, R. D. Gaston and R. C. Gadwood, J. Org. Chem., 2011, 76, 4379 CrossRef CAS PubMed
;
(c) A. Krasovskiy, I. Thomé, J. Graff, V. Krasovskaya, P. Konopelski, C. Duplais and B. H. Lipshutz, Tetrahedron Lett., 2011, 52, 2203 CrossRef CAS PubMed
;
(d) M. J. Jin and D. H. Lee, Angew. Chem., Int. Ed., 2010, 49, 1119 CrossRef CAS PubMed
;
(e) D. Zhang, C. S. Zhou and R. H. Wang, Catal. Commun., 2012, 22, 83 CrossRef CAS PubMed
. -
(a) M. Mondal and U. Bora, Green Chem., 2012, 14, 1873 RSC
;
(b) J. Qiu, L. Wang, M. Liu, Q. Shen and J. Tang, Tetrahedron Lett., 2011, 52, 6489 CrossRef CAS PubMed
. -
(a) A. L. De souza, F. L. C. da silva, B. L. Oliveira and O. A. C. Antunes, Tetrahedron Lett., 2008, 49, 3895 CrossRef CAS PubMed
;
(b) D. Dallinger and C. O. Kappe, Chem. Rev., 2007, 107, 2563 CrossRef CAS PubMed
;
(c) C. O. Kappe, Angew. Chem., Int. Ed., 2004, 43, 6250 CrossRef CAS PubMed
;
(d) M. E. Hanhan, R. Martínez-Máñez and J. V. Ros-Lis, Tetrahedron Lett., 2012, 53, 2388 CrossRef CAS PubMed
. - D. G. Blackmond, A. Armstrong, V. Coombe and A. Wells, Angew. Chem., 2007, 119, 3872 (Angew. Chem., Int. Ed., 2007, 46, 3798) CrossRef PubMed
. -
(a) J. Tsuji, Palladium Reagents and Catalyst: Innovations in Organic Synthesis, John Wiley & Sons Ltd, Chichester, England, 1996 Search PubMed
;
(b) T. Hayashi, J. Organomet. Chem., 2002, 653, 41 CrossRef CAS
;
(c) I. Moreno, R. San Martin, M. T. Herrero and E. Dominguez, Curr. Top. Catal., 2009, 8, 91 CAS
;
(d) J. Dupont and F. R. Flores, Handbook of Green Chemistry, 2009, Wiley-VCH, Weinheim, Germany, p. 319 Search PubMed
. -
(a) E. B. Mubofu, J. H. Clark and D. Macquarrie, Green Chem., 2001, 3, 23 RSC
;
(b) D. Rosario-Amorin, X. Wang, M. Gaboyard, R. Clérac, S. Nlate and K. Heuzé, Chem.–Eur. J., 2009, 15, 12636 CrossRef CAS PubMed
. - D. J. Cole-Hamilton, Science, 2003, 299, 1702 CrossRef CAS PubMed
. -
(a) N. E. Leadbeater and M. Marco, Chem. Rev., 2002, 102, 3217 CrossRef CAS PubMed
;
(b) T. J. Dickerson, N. N. Reed and K. D. Janda, Chem. Rev., 2002, 102, 3325 CrossRef CAS PubMed
;
(c) Q.-H. Fan, Y.-M. Li and A. S. C. Chan, Chem. Rev., 2002, 102, 3385 CrossRef CAS PubMed
;
(d) A. Molnár, Chem. Rev., 2011, 111, 2251 CrossRef PubMed
;
(e) I. T. Horváth and J. Rábai, Science, 1994, 266, 72 Search PubMed
. -
(a) M. M Dell’Anna, M. Mali, P. Mastrorilli, A. Rizzuti, C. Ponzoni and C. Leonelli, J. Mol. Catal. A: Chem., 2013, 366, 186 CrossRef PubMed
;
(b) K. Bester, A. Bukowska and W. Bukowski, Appl. Catal., A, 2012, 443, 181 CrossRef PubMed
;
(c) S. E. S. Leonhardt, A. Stolle and B. Ondruschka, Appl. Catal., A, 2010, 379, 30 CrossRef CAS PubMed
;
(d) V. Polshettiwar, C. Len and A. Fihri, Coord. Chem. Rev., 2009, 253, 2599 CrossRef CAS PubMed
;
(e) Y. S. Chun, J. Y. Shin, C. E. Song and S. G. Lee, Chem. Commun., 2008, 942 RSC
;
(f) C. Ramarao, S. V. Ley, S. C. Smith, I. M. Shirley and N. DeAlmeida, Chem. Commun., 2002, 1132 RSC
;
(g) A. Hassine, S. Sebti and A. Solhy, Appl. Catal., A, 2013, 450, 13 CrossRef CAS PubMed
. - M. Sudip, R. Gadi, J. Ashutosh, B. Mubeen and S. Yoel, Adv. Synth. Catal., 2002, 344, 348 CrossRef
. - M. Lamblin, L. Nassar-Hardy, J.-C. Hierso, E. Fouquet and F.-X. Felpin, Adv. Synth. Catal., 2010, 352, 33 CrossRef CAS PubMed
. - V. V. Bykov and N. A. Bumagin, Russ. Chem. Bull., 1997, 46, 1344 CrossRef CAS
. - H. Sakurai, T. Tsukuda and T. Hirao, J. Org. Chem., 2002, 67, 2721 CrossRef CAS PubMed
. - A. Arcadi, G. Cerichelli, M. Chiarini, M. Correa and D. Zorzan, Eur. J. Org. Chem., 2003, 4080 CrossRef CAS PubMed
. - G. Lu, R. Franzen, Q. Zhang and Y. Xu, Tetrahedron Lett., 2005, 46, 4255 CrossRef CAS PubMed
. -
(a) M. Lysen and K. Kohler, Synlett, 2005, 1671 CrossRef CAS PubMed
;
(b) M. Lysen and K. Kohler, Synthesis, 2006, 692 CrossRef CAS
. - J. S. Freundlich and H. E. Landis, Tetrahedron Lett., 2006, 47, 4275 CrossRef CAS PubMed
. - R. K. Arvela and N. E. Leadbeater, Org. Lett., 2005, 7, 2101 CrossRef CAS PubMed
. - L. Bai, Chin. Chem. Lett., 2009, 20, 158 CrossRef CAS PubMed
. - J. A. Sullivan, K. A. Flanagan and H. Hain, Catal. Today, 2009, 145, 108 CrossRef CAS PubMed
. - Y. Li, X. Fan, J. Qi, J. Ji, S. Wang, G. Zhang and F. Zhang, Nano. Res., 2010, 3, 429 CrossRef CAS
. - K. Shimizu, R. Maruyama, S. Komai, T. Kodoma and Y. Kitayama, J. Catal., 2004, 227, 202 CrossRef CAS PubMed
. - M. L. Kantam, S. Roy, M. Roy, B. Sreedhar and B. M. Choudary, Adv. Synth. Catal., 2005, 347, 2002 CrossRef CAS PubMed
. - G. Durgun, O. Aksin and L. Artok, J. Mol. Catal. A: Chem., 2007, 278, 189 CrossRef CAS PubMed
. - A. Monopoli, A. Nacci, V. Calò, F. Ciminale, P. Cotugno, A. Mangone, L. C. Giannossa, P. Azzone and N. Cioffi, Molecules, 2010, 15, 4511 CrossRef CAS PubMed
. - N. Jamwal, M. Gupta and S. Paul, Green Chem., 2008, 10, 999 RSC
. - A. Indra, C. S. Gopinath, S. Bhaduri and G. K. Lahiri, Catal. Sci. Technol., 2013, 3, 1625 CAS
. - D. D. Das and A. Sayari, J. Catal., 2007, 246, 60 CrossRef CAS PubMed
. - M. Mora, C. Jinez-Sanchidrin and J. R. Ruiz, J. Mol. Catal. A: Chem., 2008, 285, 79 CrossRef CAS PubMed
. - C. Schmçger, T. Szuppa, A. Tied, F. Schneider, A. Stolle and B. Ondruschka, ChemSusChem, 2008, 1, 339 CrossRef PubMed
. - H. Ayoub, S. Saïd, A. Solhy, Z. Mohamed, L. Christophe, N. H. Mohamed and F. Aziz, Appl. Catal., A, 2013, 450, 13 CrossRef PubMed
. - S. E. Lyubimov, A. A. Vasil’ev, A. A. Korlyukov, M. M. Ilyin, S. A. Pisarev, V. V. Matveev, A. E. Chalykh, S. G. Zlotin and V. A. Davankov, React. Funct. Polym., 2009, 69, 755 CrossRef CAS PubMed
. - A. Ohtaka, T. Teratani, R. Fujii, K. Ikeshita, O. Shimomura and R. Nomura, Chem. Commun., 2009, 7188 RSC
. - A. Ohtaka, T. Teratani, R. Fujii, K. Ikeshita, T. Kawashima, K. Tatsumi, O. Shimomura and R. Nomura, J. Org. Chem., 2011, 76, 4052 CrossRef CAS PubMed
. - A. Ohtaka, Y. Kono, T. Teratani, S. Fujii, S. Matsuzawa, Y. Nakamura and R. Nomura, Catal. Lett., 2011, 141, 1097 CrossRef CAS
. - L. Bai and J.-X. Wang, Adv. Synth. Catal., 2008, 350, 315 CrossRef CAS PubMed
. - Y. Uozumi, H. Danjo and T. Hayashi, J. Org. Chem., 1999, 64, 3384 CrossRef CAS
. - Y. Uozumi and Y. Nakai, Org. Lett., 2002, 4, 2997 CrossRef CAS PubMed
. - Y. Uozumi, Y. Matsuura, T. Arakawa and Y. M. A. Yamada, Angew. Chem., 2009, 121, 2746 (Angew. Chem., Int. Ed., 2009, 48, 2708) CrossRef PubMed
. -
(a) Y. M. A. Yamada, K. Takeda, H. Takahashi and S. Ikegami, Org. Lett., 2002, 4, 3371 CrossRef CAS PubMed
;
(b) Y. M. A. Yamada, K. Takeda, H. Takahashi and S. Ikegami, J. Org. Chem., 2003, 68, 7733 CrossRef CAS PubMed
. - Y. M. A. Yamada, Y. Maeda and Y. Uozumi, Org. Lett., 2006, 8, 4259 CrossRef CAS PubMed
. - W. Solodenko, U. Schon, J. Messinger, A. Glinschert and A. Kirschning, Synlett, 2004, 1699 CAS
. -
(a) K. M. Dawood and A. Kirschning, Tetrahedron, 2005, 61, 12121 CrossRef CAS PubMed
;
(b) W. Solodenko, C. Brochwitz, R. Wartchow, M. A. Hashem, K. M. Dawood, M. Vaultier and A. Kirschning, Mol. Diversity, 2005, 9, 333 CrossRef CAS PubMed
. - W. Solodenko, K. Mennecke, C. Vogt, S. Gruhl and A. Kirschning, Synthesis, 2006, 1873 CAS
. -
(a) D. A. Alonso, C. Najera and M. C. Pacheco, Org. Lett., 2000, 2, 1823 CrossRef CAS PubMed
;
(b) E. Alacid, D. A. Alonso, L. Botella, C. Najera and M. C. Pacheco, Chem. Rec., 2006, 6, 117 CrossRef CAS PubMed
;
(c) E. Alacid and C. Najera, Org. Lett., 2008, 10, 5011 CrossRef CAS PubMed
;
(d) E. Alacid and C. Najera, J. Org. Chem., 2009, 74, 2321 CrossRef CAS PubMed
. - E. Alacid and C. Najera, J. Organomet. Chem., 2009, 694, 1658 CrossRef CAS PubMed
. -
(a) C. Najera, J. Gil-Molt, S. Karlstrçm and L. R. Falvello, Org. Lett., 2003, 5, 1451 CrossRef CAS PubMed
;
(b) C. Najera, J. GilMolt and S. Karlstrom, Adv. Synth. Catal., 2004, 346, 1798 CrossRef CAS PubMed
;
(c) J. Gil-Molt and C. Najera, Eur. J. Org. Chem., 2005, 4073 CrossRef PubMed
. - J. Gil-Molt, S. Karlstrom and C. Najera, Tetrahedron, 2005, 61, 12168 CrossRef PubMed
. - F. Wen, W. Zhang, G. Wei, Y. Wang, J. Zhang, M. Zhang and L. Shi, Chem. Mater., 2008, 20, 2144 CrossRef CAS
. - T. Suzuka, K. Kimura and T. Nagamine, Polymers, 2011, 3, 621 CrossRef CAS PubMed
. - T. Suzuka, T. Nagamine, K. Ogihara and M. Higa, Catal. Lett., 2010, 139, 85 CrossRef CAS
. - S. M. Islam, P. Mondal, A. S. Roy, S. Mondal and D. Hossain, Tetrahedron Lett., 2010, 51, 2067 CrossRef CAS PubMed
. - F. Siga, H. Temel, M. Aydemir, Y. S. Ocaka, S. Pasa and A. Baysal, Appl. Catal., A, 2012, 449, 172 CrossRef CAS PubMed
. - M. Bakherad, A. Keivanloo, B. Bahramian and S. Jajarmi, J. Organomet. Chem., 2013, 724, 206 CrossRef CAS PubMed
. - J.-W. Kim, J.-H. Kim, D.-H. Lee and Y.-S. Lee, Tetrahedron Lett., 2006, 47, 4745 CrossRef CAS PubMed
. - M. Bakherad, A. Keivanloo, A. H. Amin and S. Jajarmi, C. R. Chim., 2012, 15, 945 CrossRef CAS PubMed
. - Y. Yu, T. Hu, X. Chen, K. Xu, J. Zhang and J. Huang, Chem. Commun., 2011, 47, 3592 RSC
. - A. N. Kashin and I. P. Beletskaya, Russ. J. Org. Chem., 2011, 47, 475 CrossRef CAS
. - J. K. Cho, R. Najman, T. W. Dean, O. Ichihara, C. Muller and M. Bradley, J. Am. Chem. Soc., 2006, 128, 6276 CrossRef CAS PubMed
. - L. Wang and P.-H. Li, Chin. J. Chem., 2006, 24, 770 CrossRef CAS PubMed
. - K. H. Liew, P. L. Loh, J. C. Juan, M. A. Yarmo and R. M. Yusop, The Scientific World, 2014, 796196, DOI:10.1155/2014/796196
. - B. J. Gallon, R. W. Kojima, R. B. Kaner and P. L. Diaconescu, Angew. Chem., 2007, 119, 7389 (Angew. Chem., Int. Ed., 2007, 46, 7251) CrossRef PubMed
. - M. L. Kantam, M. Roy, S. Roy, B. Sreedhar, S. S. Madhavendra, B. M. Choudary and R. L. De, Tetrahedron, 2007, 63, 8002 CrossRef CAS PubMed
. - K. S. Sivudu, N. M. Reddy, M. N. Prasad, K. M. Raju, Y. M. Mohan, J. S. Yadav, G. Sabitha and D. Shailaja, J. Mol. Catal. A: Chem., 2008, 295, 10 CrossRef CAS PubMed
. - M. C. Hong, M. C. Choi, Y. W. Chang, Y. Lee, J. Kim and H. Rhee, Adv. Synth. Catal., 2012, 354, 1257 CrossRef CAS PubMed
. - S. S. Yi, D. H. Lee, E. Sin and Y. S. Lee, Tetrahedron Lett., 2007, 48, 6771 CrossRef CAS PubMed
. - E. Sin, S.-S. Yi and Y.-S. Lee, J. Mol. Catal. A: Chem., 2010, 315, 99 CrossRef CAS PubMed
. - J. Lasri, T. C. O. Mac Leod and A. J. L. Pombeiro, Appl. Catal., A, 2011, 397, 94 CrossRef CAS PubMed
. - S. Cacchi, E. Caponetti, M. A. Casadei, A. D. Giulio, G. Fabrizi, G. Forte, A. Goggiamani, S. Moreno, P. Paolicelli, F. Petrucci, A. Prastaro and M. L. Saladino, Green Chem., 2012, 14, 317 RSC
. - H.-C. Ma, W. Cao, Z.-K. Bao and Z.-Q. Lei, Catal. Sci. Technol., 2012, 2, 2291 CAS
. - C. M. Crudden, M. Sateesh and R. Lewis, J. Am. Chem. Soc., 2005, 127, 10045 CrossRef CAS PubMed
. - Q. Yang, S. Ma, J. Li, F. Xiao and H. Xiong, Chem. Commun., 2006, 2495 RSC
. - J.-F. Wei, J. Jiao, J.-J. Feng, J. Lv, X.-R. Zhang, X.-Y. Shi and Z.-G. Chen, J. Org. Chem., 2009, 74, 6283 CrossRef CAS PubMed
. - B. Karimi, D. Elhamifar, J. H. Clark and A. J. Hunt, Chem.–Eur. J., 2010, 16, 8047 CrossRef CAS PubMed
. -
(a) L. Botella and C. Najera, Angew. Chem., 2002, 114, 187 (Angew. Chem., Int. Ed., 2002, 41, 179) CrossRef
;
(b) D. A. Alonso, C. Najera and M. C. Pacheco, J. Org. Chem., 2002, 67, 5588 CrossRef CAS PubMed
;
(c) L. Botella and C. Najera, J. Organomet. Chem., 2002, 663, 46 CrossRef CAS
;
(d) D. A. Alonso, L. Botella, C. Najera and M. C. Pacheco, Synthesis, 2004, 1713 CAS
. -
(a) C. Baleizao, A. Corma, H. Garcia and A. Leyva, Chem. Commun., 2003, 606 RSC
;
(b) C. Baleizao, A. Corma, H. Garcia and A. Leyva, J. Org. Chem., 2004, 69, 439 CrossRef CAS PubMed
. - A. Corma, D. Das, H. Garca and A. Leyva, J. Catal., 2005, 229, 322 CrossRef CAS PubMed
. - C. M. Crudden, M. Sateesh and R. Lewis, J. Am. Chem. Soc., 2005, 127, 10045 CrossRef CAS PubMed
. - C. C. Tzschucke and W. Bannwarth, Helv. Chim. Acta, 2004, 87, 2882 CrossRef CAS PubMed
. - L. Wang and C. Cai, J. Mol. Catal. A: Chem., 2009, 306, 97 CrossRef CAS PubMed
. - Z. Fengxia and L. Hexing, Chin. J. Chem., 2012, 30, 2151 CrossRef PubMed
. - A. R. Hajipour, Z. Shirdashtzade and G. Azizi, J. Chem. Sci., 2014, 126, 85 CrossRef CAS
. - P. Mondal, S. Banerjee, A. S. Roy, T. K. Mandal and S. M. Islam, J. Mater. Chem., 2012, 22, 20434 RSC
. - M.-J. Jin, A. Taher, H.-J. Kang, M. Choi and R. Ryoo, Green Chem., 2009, 11, 309 RSC
. - A. Taher, J.-B. Kim, J.-Y. Jung, W.-S. Ahn and M.-J. Jin, Synlett, 2009, 2477 CAS
. - R. J. Kalbasi and N. Mosaddegh, J. Solid State Chem., 2011, 184, 3095 CrossRef CAS PubMed
. - R. J. Kalbasi and N. Mosaddegh, J. Inorg. Organomet. Polym., 2012, 22, 404 CrossRef CAS
. - B. Yuan, Y. Pan, Y. Li, B. Yin and H. Jiang, Angew. Chem., Int. Ed., 2010, 49, 4054 CrossRef CAS PubMed
.
|
| This journal is © The Royal Society of Chemistry 2015 |
Click here to see how this site uses Cookies. View our privacy policy here.