Diterpenoid lanceolatins A–G from Cephalotaxus lanceolata and their anti-inflammatory and anti-tumor activities

Yi-Ren Hea, Yun-Heng Shen*a, Lei Shana, Xi Yanga, Bo Wena, Ji Yea, Xing Yuana, Hui-Liang Lia, Xi-Ke Xua and Wei-Dong Zhang*ab
aDepartment of Phytochemistry, School of Pharmacy, Second Military Medical University, Shanghai 200433, P. R. China. E-mail: shenyunheng@hotmail.com; wdzhangy@hotmail.com; Fax: +86-21-81871244/81871245; Tel: +86-21-81871244/81871245
bSchool of Pharmacy, Shanghai Jiao Tong University, 800 Dongchuan Road, Shanghai 200240, P. R. China

Received 18th September 2014 , Accepted 28th November 2014

First published on 28th November 2014


Abstract

Seven new diterpenoids lanceolatins, A–G (1–7), together with five known diterpenoids (8–12), were isolated from the branches and leaves of Cephalotaxus lanceolata. The structures of the new diterpenoids were elucidated based on spectroscopic analysis, including 1D, 2D NMR, and HR-ESI-MS. Single crystal X-ray diffraction (CuKα radiation) was employed to confirm the structure of lanceolatin G (7), and its absolute configuration was finally established. Compound 12 showed significant inhibition against human tumor cell lines HCT116 and HepG2 with IC50 values of 0.17 and 0.63 μg mL−1, respectively, whereas compounds 3–5 can inhibit nitric oxide (NO) release in LPS-induced RAW264.7 macrophages with IC50 values of 8.72, 10.79, and 12.73 μM, respectively.


Introduction

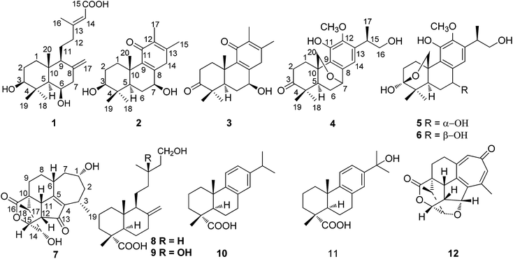
Cephalotaxus species of the Cephalotaxaceae family (formerly contained in Taxaceae family), also known as plum yews, are evergreen, dioecious coniferous trees or shrubs mainly distributed in southern and eastern Asia.1 Since the first Cephalotaxus alkaloid cephalotaxine was isolated from C. harringtonia var. drupacea in 1963,2 several potent antileukaemia cephalotaxine esters,3–6 such as harringtonine, homoharringtonine, and isoharringtonine, have been discovered, and considerable attention has been paid to Cephalotaxus alkaloids and their antitumor activities, leading to the isolation of a great number of alkaloids from Cephalotaxus species.7 Among these reported alkaloids, harringtonine and homoharringtonine have been clinically used to treat acute leukemia in China,8 whereas homoharringtonine has been submitted for marketing authorization application and new drug application for the treatment of orphan leukaemia in the European Medicines Agency and US Food and Drug Administration,9 respectively. Unfortunately, the great success of Cephalotaxus alkaloids has led to the ignorance of diterpenoids, another type of important chemical constituent from Cephaloaxus species. Although Sun et al. described the isolation of hainanolide, a structurally novel diterpenoid with a tropone core,10 and reported its potent antitumor activity against Lewis lung carcinoma, Walker carcinoma, Sarcoma-180, L-1210, L-615, and P-388 leukaemia cell,11 only five of this type of diterpenoid have been reported to date from Cephalotaxus species.12 Moreover, there have been six abietane type diterpenoids isolated from the field-grown seeds of C. harringtonia.13 Our group has been focusing since a long time on the discovery of bioactive natural products from medicinally important herbs in China.14–16 During our investigation on bioactive constituents from Cephalotaxus lanceolata native to Gongshan county of Yunnan province, China, in addition to alkaloids,17 special attention was also paid to diterpenoids of this plant, which lead to the isolation of 7 new diterpenoids lanceolatins A–G (1–7) and 5 known ones (8–12) (Fig. 1). Herein, we describe the isolation, structural elucidation, and in vitro anti-inflammatory and antitumor evaluation of these diterpenoids.
image file: c4ra10665b-f1.tif
Fig. 1 Structures of compounds 1–12.

Results and discussion

The EtOAc-soluble fraction of the 95% EtOH extract of C. lanceolata was subjected to repeated column chromatography (CC) on silica gel, ODS, Sephadex LH-20, and semi-preparative HPLC to produce seven new (1–7) and five known diterpenoids (8–12). By comparison of the NMR and MS data with previously reported data in the literature, five known compounds were characterized as imbricatolic acid (8),18 14-dien-18-oic acid (9),19 dehydroabietic acid (10),20 15-hydroxydehydroabietic acid (11),21 and hainanolide (12).22

Lanceolatin A (1), white amorphous powder, was assigned a molecular formula of C20H32O4 with 5 degrees of unsaturation from the analysis of the negative HRESIMS (m/z 335.2223 [M − H], calcd 335.2228) spectrum. Its IR spectrum showed absorption bands at 3450 and 1704 cm−1, indicative of hydroxyl and carboxyl groups.

Three olefinic protons at δH 5.62 (s), 4.97 (s) and 4.74 (s), two oxygenated protons at δH 3.13 (m) and 4.38 (s), and four singlet methyls at δH 2.12, 1.07, 1.14 and 1.00, were observed in the 1H NMR spectrum of 1 (Table 1). The 13C NMR spectrum showed 20 carbon resonances (Table 2), which were sorted into 4 methyls (δC 19.0, 28.6, 17.5, 17.4), 6 methylenes (including an exocyclic double bond at δC 109.9), 5 methines (including two oxymethines at δC 80.0 and 69.8, and one olefinic carbon at δC 118.0), and 5 quaternary carbons (including two olefinic carbons at δC 145.5 and 160.4, and one carboxyl carbon at δC 171.3). The above data, together with the 5 degree of unsaturation, as indicated by the molecular formula, implied that compound 1 should be a labdane-type diterpenoid with functional groups of two double bonds, two hydroxyls, and one carboxyl. In the HMBC spectrum of 1 (Fig. 2), the key correlations between two methyls at δH 1.07 and 1.14 and the oxymethine at δC 80.0 indicated that a hydroxyl group was substituted at the C-3 (δC 80.0) position. Moreover, another hydroxyl was linked to the C-6 position on the basis of the observation of the correlations between the oxygenated proton at δH 4.38 and C-10 (δC 41.5) and C-8 (δC 145.5). Two olefinic protons [δH 4.97 (s), 4.74 (s)], assigned to a methylene at δC 109.9, exhibited key HMBC correlations (Fig. 2) with C-7 (δC 48.8) and C-9 (δC 57.8), indicative of the presence of one exocyclic double bond between C-8 and C-17. Moreover, the HMBC correlations of the methyl at δH 2.12 with C-12 (δC 40.6) and C-14 (δC 118.0), and of the olefinic proton at 5.62 (s) with C-12 and the carboxyl at δC 171.3, implied that one double bond was positioned between C-13 (δC 160.4) and C-14 (δC 118.0), and the carboxyl was assigned to C-15. Biogenetically, the CH3-19 and CH3-20 of labdane diterpenoid are β-oriented, while the CH3-18, H-5 and H-9 are α-oriented. In the NOESY spectrum of 1, the correlations (Fig. 3) from 19-CH3 to 20-CH3, and from H-5 to H-9 also confirmed the above relative configurations. In addition, two hydroxyls at C-3 and C-6 positions were determined to be β-orientated due to key NOESY correlations (Fig. 3) of CH3-18 with H-3 and H-6. Thus, the structure of 1 was identified as 3β,6β-dihydroxylabda-8(17),13Z-dien-15-oic acid, and named as lanceolatin A.

Table 1 1H NMR spectroscopic data for compounds 1–7 (mult., J in Hz)
No. 1a 2a 3a 4b 5c 6c 7c
a Recorded at 400 MHz in CD3OD.b Recorded at 500 MHz in CD3OD.c Recorded at 600 MHz in CD3OD.
1 1.76 (m) 2.74 (dt, 13.5, 3.5) 2.83 (dt, 13.6, 6.2) 3.27 (ddd, 14.9, 10.2, 4.7) 3.46 (td, 12.4, 5.8) 3.43 (dt, 12.5, 5.7) 3.90 (m)
1.19 (m) 1.21 (td, 13.5, 4.5) 1.68 (dt, 13.6, 8.7) 2.09 (ddd, 14.9, 8.1, 4.7) 1.49 (m) 1.36 (m)  
2 1.69 (overlap) 1.71 (m) 2.58 (2H, m) 2.74 (ddd, 15.2, 10.2, 4.7) 2.21 (overlap) 2.18 (m) 2.20 (m)
1.64 (m) 1.69 (m)   2.56 (ddd, 15.2, 8.1, 4.7) 1.83 (m) 1.83 (td, 12.5, 3.3) 1.75 (m)
3 3.13 (m) 3.23 (dd, 11.8, 5.2)         2.78 (m)
4              
5 1.03 (s) 1.46 (dd, 12.8, 1.9) 2.15 (dd, 4.4, 10.8) 1.87 (m) 2.21 (overlap) 1.74 (dt, 13.5, 2.0)  
6 4.38 (s) 1.89 (m) 1.85 (m) 2.13 (ddd, 13.4, 6.9, 2.5) 1.86 (m) 2.02 (ddd, 11.9, 5.0, 2.0) 2.66 (m)
  1.81 (m) 1.30 (m) 1.62 (td, 13.4, 2.5) 1.77 (td, 13.7, 2.7) 1.61 (ddd, 11.9, 11.2, 2.0)  
7 2.36 (m) 4.35 (d, 4.2) 4.40 (dd, 2.4, 3.6) 4.78 (t, 2.5) 4.69 (t, 2.7) 4.53 (dd, 11.2, 5.0) 2.05 (m)
2.26 (m)           1.85 (m)
8             1.98 (m), 1.43 (m)
9 1.62 (overlap)           1.90 (m), 1.80 (m)
10              
11 1.69 (overlap)           2.91 (overlap)
1.62 (overlap)            
12 2.31 (m)           2.92 (overlap)
2.01 (m)            
13              
14 5.62 (s) 3.25(d, 20.8) 3.31 (d, 20.9) 6.67 (s) 6.70 (s) 7.01 (s) 3.55 (m)
  2.89 (d, 20.8) 2.96 (d, 20.9)        
15   2.24 (s) 2.26 (s) 3.31 (m) 3.24 (m) 3.25 (m) 4.74 (m)
16 2.12 (s)     3.68 (dd, 10.7, 6.4) 3.65 (dd, 10.7, 6.3) 3.66 (dd, 10.7, 6.3)  
      3.56 (dd, 10.7, 7.6) 3.53 (dd, 10.7, 7.6) 3.54 (dd, 10.7, 7.6)  
17 4.97 (s) 1.91 (s) 1.93 (s) 1.22 (d, 7.0) 1.22 (d, 7.0) 1.22 (d, 7.0) 1.93 (m)
4.74 (s)            
18 1.07 (s) 1.04 (s) 1.14 (s) 0.98 (s) 1.10 (s) 1.09 (s) 0.92 (d, 7.2)
19 1.14 (s) 0.84 (s) 1.09 (s) 1.32 (s) 1.03 (s) 1.06 (s) 1.27 (d, 7.3)
20 1.00 (s) 1.08 (s) 1.13 (s) 4.39 (d, 8.9) 4.72 (dd, 8.6, 1.6) 4.77 (dd, 8.7, 1.7)  
      3.22 (dd, 8.9, 1.7) 3.85 (dd, 8.6, 2.4) 3.94 (dd, 8.7, 2.5)  
CH3O       3.73 (s) 3.69 (s) 3.69 (s)  


Table 2 13C NMR spectroscopic data for compounds 1–7
No. 1a 2a 3a 4b 5c 6c 7c
a Recorded at 100 MHz in CD3OD.b Recorded at 125 MHz in CD3OD.c Recorded at 150 MHz in CD3OD.
1 40.5 (t) 34.2 (t) 34.2 (t) 28.4 (t) 30.7 (t) 31.3 (t) 70.2 (d)
2 28.8 (t) 28.3 (t) 35.1 (t) 36.8 (t) 29.9 (t) 29.9 (t) 44.0 (t)
3 80.0 (d) 79.6 (d) 220.0 (s) 219.1 (s) 99.9 (s) 100.0 (s) 28.2 (d)
4 41.1 (s) 39.7 (s) 48.1 (s) 48.9 (s) 41.5 (s) 41.8 (s) 146.9 (s)
5 57.6 (d) 47.1 (d) 46.6 (d) 46.2 (d) 42.8 (d) 48.9 (d) 170.8 (s)
6 69.8 (d) 29.5 (t) 30.5 (t) 30.0 (t) 29.4 (t) 31.7 (t) 38.0 (d)
7 48.8 (t) 66.7 (d) 65.9 (d) 72.6 (d) 69.5 (d) 71.1 (d) 43.2 (t)
8 145.5 (s) 161.5 (s) 161.5 (s) 137.8 (s) 136.7 (s) 139.7 (s) 30.9 (t)
9 57.8 (d) 152.6 (s) 150.9 (s) 129.4 (s) 124.8 (s) 124.1 (s) 26.7 (t)
10 41.5 (s) 37.6 (s) 36.9 (s) 40.4 (s) 37.9 (s) 38.6 (s) 47.9 (s)
11 23.1 (t) 197.8 (s) 197.6 (s) 146.0 (s) 150.3 (s) 149.8 (s) 48.6 (d)
12 40.6 (t) 131.4 (s) 131.2 (s) 147.7 (s) 147.4 (s) 146.6 (s) 46.1 (d)
13 160.4 (s) 147.4 (s) 148.0 (s) 137.0 (s) 137.2 (s) 136.8 (s) 206.6 (s)
14 118.0 (d) 33.6 (t) 33.8 (t) 114.2 (d) 121.3 (d) 116.2 (d) 76.0 (d)
15 171.3 (s) 20.0 (q) 20.0 (q) 36.3 (d) 36.1 (d) 36.2 (d) 80.4 (d)
16 19.0 (q)     68.6 (t) 68.5 (t) 68.6 (t) 177.6 (s)
17 109.9 (t) 24.3 (q) 24.3 (q) 18.7 (q) 18.5 (q) 18.5 (q) 35.2 (d)
18 28.6 (q) 28.8 (q) 27.5 (q) 25.2 (q) 27.1 (q) 27.4 (q) 16.4 (q)
19 17.5 (q) 16.4 (q) 21.4 (q) 21.3 (q) 18.9 (q) 18.9 (q) 22.1 (q)
20 17.4 (q) 18.6 (q) 18.1 (q) 69.5 (t) 67.2 (t) 67.9 (t)  
CH3O       62.1 (q) 62.0 (q) 62.0 (q)  



image file: c4ra10665b-f2.tif
Fig. 2 Key HMBC correlations of compounds 1–7.

image file: c4ra10665b-f3.tif
Fig. 3 Key NOESY correlations of compounds 1–2 and 4–7.

Compound 2 was isolated as white amorphous powder with a specific optical rotation [α]20D = +34.7 (c 0.32, MeOH). Its molecular formula was inferred to be C19H28O3 with 6 degrees of unsaturation as deduced by a pseudomolecular ion peak [M + H]+ at m/z 305.2100 (calcd 305.2111) in the positive HRESIMS spectrum. The IR spectrum exhibited absorption bands for hydroxyl (3428 cm−1) and C[double bond, length as m-dash]O (1644 cm−1) groups, as well as for double bonds (1677 and 1619 cm−1).

The 1H NMR spectrum of 2 (Table 1) showed five singlet methyls (δH 2.24, 1.91, 0.84, 1.04, and 1.08) and two oxygenated protons at δH 3.23 (dd, J = 11.8, 5.2 Hz) and 4.35 (d, J = 4.2 Hz). The 13C NMR spectrum showed 19 carbon resonances (Table 2), including five methyls (δC 20.0, 24.3, 16.4, 28.8, and 18.6), four methylenes (δC 28.3, 34.2, 29.5, and 33.6), three methines (δC 79.6, 47.1, and 66.7), and seven quaternary carbons (δC 39.7, 161.5, 152.6, 37.6, 197.8, 131.4, and 147.4). The abovementioned data were very close to those of an abietane-type diterpenoid, but did not exhibit typical features for isopropyl. Considering that only 19 carbon resonances were observed in the 13C NMR spectrum, it was obvious that compound 2 may be an abietane-type diterpenoid derivative with methyl loss and migration in isopropyl. The structure of 2 was further determined by 2D-NMR experiments. The key HMBC correlations (Fig. 2) of the oxygenated proton at δH 3.23 with C-2 (δC 28.3), CH3-18 (δC 28.8), and CH3-19 (δC 16.4), those of methyls at δH 1.04 and 0.84 with the oxygenated methine at δC 79.6, and those of the oxygenated proton at δH 4.35 (d, J = 4.2 Hz) with C-5 (δC 47.1), C-9 (δC 152.6), and C-14 (δC 33.6) attached two hydroxyls to C-3 and C-7, respectively. In addition, the singlet methyl at δH 1.91 exhibited HMBC correlations (Fig. 2) with the ketone carbonyl (δC 197.8) and the olefinic carbon (δC 147.4), whereas another singlet methyl at δH 2.24 showed HMBC correlation with the methylene at δC 33.6. Two methylene protons at δH 3.25 and 2.89 exhibited key HMBC correlations with C-9 (δC 152.6) and C-12 (δC 131.4). The CH3-20 at δH 1.08 showed the HMBC correlations with C-9 (δC 152.6) and C-5 (δC 47.1). The abovementioned information indicated that two double bonds and a ketone carbonyl can be assigned to C-8, C-9, C-12, C-13, and C-11, and it revealed that two methyls (δH 2.24, δC 20.0; δH 1.91, δC 24.3) were linked to C-13 and C-12, respectively. The relative configurations of 2 were determined by the NOESY correlations (Fig. 3) from H-5 to H-3 and H-7, from CH3-18 to H-5, and from CH3-19 to CH3-20. Consequently, the structure of 2 was determined to be 3β,7β-dihydroxyl-16-nor-17-methyl (15 → 12)-abeo-abieta-8,12-dien-11-one, and was named as lanceolatin B.

Positive HRESIMS analysis of 3 showed a pseudomolecular ion peak [M + H]+ at m/z 303.1969 (calcd 303.1955), which is in agreement with the molecular formula C19H26O3 with 7 degrees of unsaturation.

The 1H- and 13C NMR spectra of 3 were very similar to those of 2, including 19 carbon resonances observed in the 13C NMR spectrum (Table 2), five typical singlet methyls (δH 2.26, 1.93, 1.14, 1.09, and 1.13) in the 1H NMR spectrum (Table 1), two double bonds (δC 161.5, 150.9, 131.2, and 148.0) and a ketone carbonyl at δC 197.6 in the 13C NMR spectrum, disclosed that compound 3 shared the same 16-nor-17-methyl (15 → 12)-abeo-abietane skeleton as 2. Comparison of the NMR data of 3 and 2 revealed that the structure of compound 3 had an additional ketone carbonyl (δC 220.0), instead of the signals for the oxygenated methine at δH 3.23 (H-3) and δC 79.6 (C-3) in the 1H and 13C NMR spectra of 2. In the HMBC spectrum of 3 (Fig. 2), two angular methyls at δH 1.14 and 1.09 showed key correlations with the ketone carbonyl at δC 220.0 and C-5 (δC 46.6), suggesting the presence of a C-3 carbonyl. Moreover, the HMBC correlations (Fig. 2) of the oxygenated proton at δH 4.40 (dd, J = 2.4, 3.6 Hz) with C-9 (δC 150.9), C-5 (δC 46.6), C-8 (δC 161.5), those of H2-14 (δH 3.31 and 2.96) with C-9 and C-12 (δC 131.2), those of CH3-20 (δH 1.13) with C-1 (δC 34.2) and C-9, those of CH3-15 (δH 2.26) with C-12 (δC 131.2), and those of CH3-17 (δH 1.93) with C-13 (δC 148.0) further confirmed the structure of 3. The relative configurations of 3 were established to be identical with those of 2 from the analysis of the NOESY spectrum of 3. Therefore, the structure of 3 was found to be 7β-hydroxyl-16-nor-17-methyl (15 → 12)-abeo-abieta-8,12-dien-3,11-dione, and was named as lanceolatin C.

Lanceolatin D (4), a white amorphous powder with specific optical rotation of [α]20D = −19.3 (c 0.145, MeOH) has a molecular formula C21H28O5 with 8 degrees of unsaturation, as deduced by the analysis of positive HRESIMS spectrum (m/z 361.2024 [M + H]+, calcd 361.2010). The absorption bands in the IR spectrum suggested the presence of benzene rings (1650, 1579, 1452 cm−1), carbonyl (1706 cm−1), and hydroxyl (3426 cm−1) groups.

The analysis of the 1H NMR spectrum of 4 (Table 1) indicated the presence of one aromatic proton at δH 6.67 (s), five oxygenated protons at δH 3.68 (dd, J = 10.7, 6.4 Hz), 3.56 (dd, J = 10.7, 7.6 Hz), 4.39 (d, J = 8.9 Hz), 3.22 (dd, J = 8.9, 1.7 Hz), and 4.78 (t, J = 2.5 Hz), together with two singlet methyl at δH 0.98 (s) and 1.32 (s), one doublet methyl at δH 1.22 (d, J = 7.0 Hz), and one methoxyl at δH 3.73 (s). The 13C and DEPT NMR spectra (Table 2) displayed 21 carbon resonances, including three methyls (δC 18.7, 25.2, and 21.3), one methoxyl (δC 62.1), five methylenes (δC 36.8, 28.4, 30.0, 68.6, and 69.5), four methines (δC 46.2, 72.6, 114.2, and 36.3), and eight quaternary carbons (δC 219.1, 48.9, 137.8, 129.4, 40.4, 146.0, 147.7, and 137.0). The abovementioned data showed typical features of the ring C aromatized abietane-type diterpenoid, and suggested the presence of the functionalities of one ketone carbonyl, two oxygenated methylenes and one oxymethine, one methoxyl, and one benzene ring. All the protons and related carbons were assigned using a HMQC experiment. In the HMBC spectrum of 4 (Fig. 2), H2-1(δH 3.27 and 2.09), CH3-18 (δH 0.98) and CH3-19 (δH 1.32) were observed as key correlations with the ketone carbonyl at δC 219.1, suggesting the presence of a C-3 ketone carbonyl. The doublet methyl at δH 1.22 was correlated with C-13 (δC 137.0) and with hydroxymethyl at δC 68.6, along with the key HMBC correlations (Fig. 2) between hydroxymethyl protons (δH 3.68 and 3.56) and C-13, which disclosed that the C-16 position was hydroxylated. The key HMBC correlations of the oxygenated proton at δH 4.78 with the oxymethylene at δC 69.5, C-5 (δC 46.2), C-9 (δC 129.4), and C-14 (δC 114.2) suggested the presence of the epoxyl ring between C-20 and C-7. Moreover, one hydroxyl and one methoxyl were substituted at C-11 and C-12 positions, respectively, on the basis of the HMBC correlations (Fig. 2) of the methoxyl at δH 3.73 with C-12 (δC 147.7), of H-14 (δH 6.67) with C-9 (δC 129.4), C-12 (δC 147.7), and C-7 (δC 72.6). In the NOESY spectrum of 4 (Fig. 3), the key correlations between H-20 (δH 4.39) and CH3-19 (δH 1.32) and between H-7 (δH 4.78) and H-5α (δH 1.87) revealed that the epoxyl ring was located above the plane of the molecule, namely, β-orientation. According to Luis et al.,23 because abietane diterpenoid is biogenetically derived from an isopimaradiene precursor, its CH3-17 was a pro (R) methyl, while its CH3-16 was a pro (S) methyl. Therefore, due to biogenetic considerations, the absolute configuration of the C-15 position of C-16 hydroxylated abietane dieterpenoid should be assigned to be an R configuration. On the basis of the above evidences, the structure of 4 was thus determined to be (15R)-7β,20-epoxy-11,16-dihydroxyl-12-methoxyl-abieta-3-one, and was named as lanceolatin D.

Compound 5 was isolated as white amorphous powder with specific optical rotation [α]20D = +84.5 (c 0.355, MeOH), and its positive HRESIMS spectrum showed a pseudomolecular ion peak [M + Na]+ at m/z 401.1930 (calcd 401.1935), corresponding to molecular formula C21H30O6 with 7 degrees of unsaturation. The IR spectrum displayed absorption bands at 3396, 1616, 1421, 1313, 1039, 923, and 869 cm−1, which were indicative of the presence of hydroxyl and benzene ring functionalities.

The 1H and 13C NMR spectra (Tables 1 and 2) of 5 exhibited quite similar spectroscopic features, and possessed most functionalities as those of 4, for example phenyl [δH 6.70 (s); δC 136.7, 124.8, 150.3, 147.4, 137.2, 121.3], methoxyl (δH 3.69; δC 62.0), two oxymethylenes [δH 3.65 (dd, J = 10.7, 6.3 Hz) and 3.53 (dd, J = 10.7, 7.6 Hz), δC 68.5; δH 4.72 (dd, J = 8.6, 1.6 Hz) and 3.85 (dd, J = 8.6, 2.4 Hz); δC 67.2], and an oxymethine [δH 4.69 (t, J = 2.7 Hz); δC 69.5], suggesting that compounds 5 and 4 shared the same C-16 hydroxylated abietane carbon skeleton with an aromatized C ring and similar substituent pattern. Compared with 4, the NMR spectra of 5 showed an additional hemiketal carbon at δC 99.9, rather than the ketone carbonyl at the C-3 position of 4. In the HMBC spectrum of 5 (Fig. 2), two oxygenated protons at δH 4.72 and 3.85, which were assigned to the methylene at δC 67.2 by HMQC, were the observed cross peaks with the hemiketal carbon at δC 99.9, C-1 (δC 30.7), and C-9 (δC 124.8). Moreover, two angular methyls at δH 1.10 and 1.03 (CH3-18 and CH3-19) exhibited HMBC correlations (Fig. 2) with the hemiketal carbon. The existence of the 3,20-epoxyl ring was confirmed on the basis of the above information. In the NOESY spectrum of 5 (Fig. 3), two proton signals of H2-6 at δH 1.77 and 1.86 were respectively observed the NOESY correlations with CH3-19 (δH 1.03) and CH3-18 (δH 1.10), revealed that the two protons were β- and α-oriented, respectively. Moreover, proton H-20 at δH 3.85 displayed key NOESY correlations (Fig. 3) with CH3-19 and H-6 at δH 1.77, implying that the 3,20-epoxyl ring was positioned above the plane of the molecule. 7-OH was established to be α-oriented due to the NOESY correlation of H-7 (δH 4.69) with H-6 at δH 1.77 and with H-14 at δH 6.70. Based on the same consideration as 4, the absolute configuration of C-15 was assigned to be R. Consequently, the structure of 5 was determined to be (15R)-3β,20-epoxy-7α,11,16-trihydroxyl-12-methoxyl-abieta-3-one, and was named as lanceolatin E.

The molecular formula of 6 was observed to be C21H30O6 with 7 degrees of unsaturation based on the pseudomolecular ion peak [M + H]+ at m/z 379.2052 (calcd 379.2047) in the positive HRESIMS spectrum. The NMR spectral data (Tables 1 and 2) of 6 were very close to those of 5, mainly differing in proton chemical shifts for H-5 [δH 1.74 (dt, J = 13.5, 2.0 Hz)], H-7 [δH 4.53 (dd, J = 11.2, 5.0 Hz)], and H-14 [δH 7.01 (s)], and carbon resonances for C-5 (δC 48.9), C-7 (δC 71.1), and C-14 (δC 116.2). These evidences revealed that compound 6 possessed the same planar structure as 5, with the only difference in the configuration of 7-OH. In the HMBC spectrum of 6, the observed correlations (Fig. 2) further supported the abovementioned inferences. In the NOESY spectrum of 6 (Fig. 3), key correlations between H-7 (δH 4.53) and H-5α (δH 1.74), indicative of the presence of 7β-OH, was observed. In addition, the NOESY correlation between H-20 at δH 3.94 with 19-CH3 (δH 1.06) and H-6 at δH 1.61 confirmed the presence of β-oriented 3,20-epoxyl ring. On the basis of the above evidences, the structure of 6 was identified to be (15R)-3β,20-epoxy-7β,11,16-trihydroxyl-12-methoxyl-abieta-3-one, and named as lanceolatin F.

Compound 7 was isolated as amorphous powder with specific optical rotation [α]20D = −103.0 (c 0.30, MeOH), which grew as a block single crystal in MeOH. The positive HRESIMS spectrum showed a pseudomolecular ion peak [M + H]+ at m/z 333.1690 (calcd 333.1697), in agreement with the molecular formula C19H24O5 with 8 degrees of unsaturation. The IR spectrum of 7 showed typical absorption bands at 3363, 1735, and 1629 cm−1, indicative of hydroxyl, carbonyl, and ester carbonyl functional groups.

The 1H NMR spectrum of 7 (Table 1) showed two doublet of methyls at δH 0.92 (d, J = 7.2 Hz) and 1.27 (d, J = 7.3 Hz), three oxygen-bearing protons at δH 3.90 (m), 3.55 (m), and 4.74 (m). The 13C NMR spectrum (Table 2) exhibited 19 carbon resonances, including two methyls (δC 16.4 and 22.1), four methylenes (δC 44.0, 43.2, 30.9, and 26.7), eight methines (δC 70.2, 28.2, 38.0, 48.6, 46.1, 76.0, 80.4, and 35.2), and five quaternary carbons (δC 146.9, 170.8, 47.9, 206.6, and 177.6). These spectroscopic data showed typical characteristics of hainanolide type diterpenoids, a type of rare norditerpenoid which have been shown to occur only in Cephalotaxus species to date. Comparing with hainanolide (12),22 the NMR spectra of 7 did not show the signals for a tropone moiety, but additionally gave one doublet methyl in 1H NMR spectrum, three methines (including oxygenated one), two methylenes, and an additional ketone carbonyl. On the basis of the abovementioned information, it could be proposed that the tropone moiety of hainanolide was partially reduced and the 13,14-ether ring was open in compound 7. Based on the analysis of the HMBC spectrum of 7 (Fig. 2), the C-1 hydroxylation was verified by HMBC correlations of the oxygen-bearing proton at δH 3.90 with C-6 (δC 38.0) and C-3 (δC 28.2) and those of H-6 (δH 2.66) and H-3 (δH 2.78) with the oxymethine at δC 70.2. An α,β-unsaturated ketone was assigned to C-4, C-5, and C-13 from the HMBC correlations (Fig. 3) between H-3 and the olefinic carbon at δC 170.8 and the carbonyl at δC 206.6, between H-6 and the olefinic carbon at δC 146.9, and between H-11 and the olefinic carbon at δC 146.9 and the carbonyl at δC 206.6. Moreover, a hydroxyl was linked to the C-14 position due to the HMBC correlations from the oxygen-bearing proton at δH 3.55 to C-12 (δC 46.1) and C-17 (δC 35.2). The HMBC correlation of H-15 (δH 4.74) with the ester carbonyl (δC 177.6) also supported the presence of the 15,16-lactone ring. The relative configurations of 7 were established by NOESY correlations (Fig. 3) of H-6 with H-11 and H-1 (δH 3.90), those of H-15 with H-12, those of H-17 (δH 1.93) with CH3-19, and those of H-14 (δH 3.55) with CH3-18 (δH 0.92). After repeated attempts, a suitable single crystal of 7 was obtained from methanol solution. The structure of 7 was further confirmed by single crystal X-ray diffraction (CuKα radiation) (Fig. 4), and its absolute configurations were unambiguously determined to be 1S, 3S, 6R, 10S, 11S, 12S, 14R, 15R, and 17S. The structure of 7 was thus named as gongshanolide.


image file: c4ra10665b-f4.tif
Fig. 4 Single crystal X-ray diffraction (CuKα radiation) of 7.

Considering that some diterpenoids from Cephalotaxus species, such as hainanolide,11 have been reported to have significant anti-tumor activity, all the isolates were evaluated for cytotoxicity against five human tumor cell lines A549, HCT116, SK-BR-3, HepG2, and HL-60. Only hainanolide (12) exhibited significant inhibition against two tumor cell lines HCT116 and HL-60 with IC50 values of 0.17 and 0.63 μg mL−1, respectively. From these results, it can be concluded that the tropone moiety and tetrahydrofuran ring could be two key pharmacophores, and their changes led to the loss of the antitumor activity of the hainanolide.

In China, Cephalotaxus species have been also used as traditional medicines for inflammatory treatment.24 Nitric oxide (NO) is a key product of the inflammation process, and plays a central role in inflammation responses to diverse pathogens. New diterpenoids (1–7) were tested for anti-inflammation activity due to the inhibition of NO release in LPS-induced RAW 264.7 macrophages. The results displayed that compounds 3–5 could obviously inhibit NO production in LPS-induced RAW 264.7 macrophages with IC50 values of 8.72, 10.79, and 12.73 μg mL−1, respectively.

Conclusion

Among the secondary metabolites of Cephalotaxus species, besides alkaloids, diterpenoids are also important chemical constituents due to the discovery of hainanolide type diterenoids,11 which possess complex architectures featuring a fused tetracarbocyclic skeleton and strong cytotoxicity against Lewis lung carcinoma, Walker carcinoma, Sarcoma-180, L-1210, L-615 and P-388 leukaemia cells.12 However, since the great success of Cephalotaxus alkaloids (such as harringtonine and homoharringtonine) in the clinical treatment of acute leukemia in China and their potent inhibitory activities against different human tumor cell lines, especially against leukemia cell line, little attention has been paid to diterpenoid metabolites from Cephalotaxus plants. To date, only six abietane-type and five hainanolide-type diterpenoids have been isolated from the genus Cephalotaxus.7 Our study led to the isolation of 12 diterpenes, among which compounds 2 and 3 are a type of rare 16-nor-17-methyl (15 → 12)-abeo abietane, and compound 7 is a hainanolide derivative with an open 13,14-epoxyl ring and a partially reduced tropone moiety. We also isolated labdane-type diterpenoids from Cephalotaxus species for the first time. These results revealed that Cephalotaxus species contains structurally diverse diterpenoids. Therefore, it will be interesting and valuable to pay more attention to the exploration of the diterpenoid constituents from the Cephalotaxus species and their bioactivities.

Experimental section

General experimental procedures

Optical rotation was obtained using a Perkin-Elmer 341 digital polarimeter at 589 nm. Melting points were measured on a X-4 Melting Point Apparatus with a microscope. A Shimadzu UV-2550 spectrometer was used to obtain UV spectra. IR spectra were recorded on a Bruker Vector-22 spectrometer with KBr pellets. Column chromatography (CC) was performed on silica gel (200–300 mesh, Yantai Jiangyou Silica Gel Limited Company, Yantai, China), Sephadex LH-20 (Pharmacia Fine Chemicals) and ODS (Merck, Germany). TLC and prep. TLC were carried out by using HSGF 254 silica gel plates (10–40 μm, Yantai Jiangyou Silica Gel Limited Company, Yantai, China). 1H-, 13C-, and 2D-NMR spectra were recorded on a Bruker DRX-400 spectrometer (in CD3OD; δ in ppm rel. to SiMe4, J in Hz). MS were measured on an Agilent-1100-LC/MSD-Trap (ESI-MS) and an Agilent Micro-Q-Tof (HR-ESI-MS) spectrometer. Semi-preparative HPLC was performed on an Agilent 1100 liquid chromatography instrument with a Zorbax SB-C18 column (9.4 mm × 25 cm) and a UV detector at 210 nm.

Plant material

The branches and leaves of C. lanceolata were collected in August 2010, from Gongshan county, Yunnan province, China, and authenticated by Prof. Yuanchuan Zhou in the Nujiang Institute of Medicinal Plants. A voucher specimen (no. 2010108070) is deposited in School of Pharmacy, Second Military Medical University.

Extraction and isolation

The branches and leaves of C. lanceolata (9.3 kg) was finely pulverized and extracted three times with 95% EtOH (50 L). The combined extracts were concentrated to a small volume under reduced pressure, and then dissolved in 2% HCl to adjust the pH to 2-3 and then partitioned with CHCl3. The aqueous layers were basified with sat. aq. Na2CO3 to adjust the pH to 10 and then extracted with CHCl3 to obtain a crude alkaloid fraction (9 g). The remaining aqueous layer was neutralized with 2% HCl to pH 7 and extracted with petroleum ether (PE) and EtOAc. The EtOAc extract (135 g) was subjected to silica gel column chromatography (CC) with gradient CHCl3–MeOH (100[thin space (1/6-em)]:[thin space (1/6-em)]0 → 0[thin space (1/6-em)]:[thin space (1/6-em)]100) to afford several fractions (F1–F7). Fraction F4 was divided into 3 subfractions (F4-1–F4-3) using BUCHI RP-MPLC eluting with MeOH–H2O (30–100%). F4-1 was chromatographed over Sephadex LH-20 with CHCl3–MeOH (1[thin space (1/6-em)]:[thin space (1/6-em)]1), followed by purification using preparative TLC developed with CHCl3–MeOH (20[thin space (1/6-em)]:[thin space (1/6-em)]1) to obtain 1 (18 mg), 8 (25 mg) and 9 (12 mg), respectively. Similarly, F4-2 was subjected to preparative TLC using CHCl3–EtOAC (1[thin space (1/6-em)]:[thin space (1/6-em)]1) and PE–acetone (7[thin space (1/6-em)]:[thin space (1/6-em)]3) to obtain 2 (8 mg), 10 (10 mg), 11 (12 mg) and 12 (7 mg). F4-3 was isolated by reversed-phase semi-preparative HPLC (MeOH–H2O, 65[thin space (1/6-em)]:[thin space (1/6-em)]35, flow rate of 2 mL min−1) and CH3CN–H2O, 55[thin space (1/6-em)]:[thin space (1/6-em)]45 to obtain 3 (11 mg, retention time = 14.5 min) and 7 (32 mg, retention time = 11.7 min), respectively. By similar procedures, 4 (13 mg), 5 (17 mg), and 6 (11 mg) were isolated from F5 using CHCl3–MeOH (10[thin space (1/6-em)]:[thin space (1/6-em)]1) and/or EtOAC–MeOH (50[thin space (1/6-em)]:[thin space (1/6-em)]1) as eluent, respectively.
Lanceolatin A (1). Amorphous powder; C20H32O4; [α]20D = −10.3 (c = 0.39, MeOH); IR (KBr) νmax 3450, 2931, 1704, 1228, 1153 cm−1; for 1H (CD3OD, 400 MHz) and 13C-NMR (CD3OD, 100 MHz) spectroscopic data, see Tables 1 and 2; ESI-MS (positive) m/z 359 [M + Na]+; HR-ESI-MS (positive) [M − H] at m/z 335.2223 (calcd for C20H33O4, 335.2228).
Lanceolatin B (2). Amorphous powder; C19H28O3; [α]20D = +34.7 (c = 0.32, MeOH); IR (KBr) νmax 3428, 2931, 2867, 1677, 1619, 1371, 1286, 1041, 952 cm−1; for 1H (CD3OD, 400 MHz) and 13C-NMR (CD3OD, 100 MHz) spectroscopic data, see Tables 1 and 2; ESI-MS (positive) m/z 305 [M + H]+, 327 [M + Na]+; HR-ESI-MS (positive) [M + H]+ at m/z 305.2100 (calcd C19H29O3, 305.2111).
Lanceolatin C (3). Amorphous powder; C19H26O3; [α]20D = +90.4 (c = 0.28, MeOH); IR (KBr) νmax 3434, 2971, 2931, 1700, 1681, 1625, 1432, 1380, 1288, 1143, 1043 cm−1; for 1H (CD3OD, 400 MHz) and 13C-NMR (CD3OD, 100 MHz) spectroscopic data, see Tables 1 and 2; ESI-MS (positive) m/z 325 [M + Na]+, ESI-MS (negative) m/z 301 [M − H]; HR-ESI-MS (positive) [M + H]+ m/z 303.1969 (calcd C19H27O3, 303.1955).
Lanceolatin D (4). Amorphous powder; C21H28O5; [α]20D = −19.3 (c = 0.145, MeOH); IR (KBr) νmax 3426, 2929, 2873, 1706, 1452, 1423, 1299, 1035, 858 cm−1; 1H (CD3OD, 500 MHz) and 13C-NMR (CD3OD, 125 MHz) spectroscopic data, see Tables 1 and 2 ESI-MS (positive) m/z 383 [M + Na]+, ESI-MS (negative) m/z 359 [M − H]; HR-ESI-MS (positive) m/z [M + H]+ 361.2024 (calcd C21H29O5, 361.2010).
Lanceolatin E (5). Amorphous powder; C21H30O6; [α]20D = +84.5 (c = 0.355, MeOH); IR (KBr) νmax 3396, 2937, 1616, 1313, 1133, 1089, 1039, 923, 869 cm−1; for 1H (CD3OD, 600 MHz) and 13C-NMR (CD3OD, 150 MHz) spectroscopic data, see Tables 1 and 2; ESI-MS (positive) m/z 401 [M + Na]+, ESI-MS (negative) m/z 377 [M − H]; HR-ESI-MS (positive) [M + Na]+ m/z 401.1930 (calcd C21H30NaO6, 401.1935).
Lanceolatin F (6). Amorphous powder; C21H30O6; [α]20D = −84.5 (c = 0.355, MeOH); IR (KBr) νmax 3407, 2929, 1637, 1421, 1309, 1051, 1029, 981, 910 cm−1. For 1H (CD3OD, 600 MHz) and 13C-NMR (CD3OD, 150 MHz) spectroscopic data, see Tables 1 and 2; ESI-MS (positive) m/z 401 [M + Na]+, ESI-MS (negative) m/z 377 [M − H]; HR-ESI-MS (positive)[M + Na]+ m/z 401.1962 (calcd C21H30NaO6, 401.1935).
Gongshanolide (7). Colorless block; C19H24O5; M.p. 180-182 °C; [α]20D = −103.0 (c = 0.30, MeOH); IR (KBr) νmax 3363, 2925, 1735, 1683, 1629, 1361, 1043 cm−1. for 1H (CD3OD, 600 MHz) and 13C-NMR (CD3OD, 150 MHz) spectroscopic data, see Tables 1 and 2; ESI-MS (positive) m/z 355 [M + Na]+, ESI-MS (negative) m/z 331 [M − H]; HR-ESI-MS (positive) [M + H]+ m/z 333.1690 (calcd C19H25O5, 333.1697).

Single crystal X-ray diffraction crystallographic data of gongshanolide (7)

C19H24O5·H2O, M = 350, colorless block, λ = 1.54178 Å (CuKα radiation), T = 133 (2) K, orthorhombic, space group P2(1)2(1)2(1), a = 9.6069 (10) Å, α = 90°; b = 10.2192 (10) Å, β = 90°; c = 17.6653 (2) Å, γ = 90°; V = 1734.29 (3) Å3, Z = 4, Dcalcd = 1.342 mg m−3, crystal size 0.25 × 0.18 × 0.11 mm3, F(000) = 752, final R values were R = 0.0323 and Rw = 0.0862 [I > 2δ(I)]. The data were collected using a Bruker APEX-II CCD diffractometer, and the structure was solved by direct methods using SHELXL-97.

Assay for cytotoxicity against five human tumor cell lines

An assay was performed in 96-well plates. Cell cultures were diluted with fresh medium consisting of RPMI1640 with 15% newborn bovine serum (NBS), 100 IU mL−1 penicillin, and 100 IU mL−1 phytomycin to 5 × 104 cells per mL and placed in 96-well microplates at 100 μL per well. After 24 h incubation at 37 °C in a 5% CO2 atmosphere, the tested compounds at six different concentrations (10−2 to 102 μg mL−1) were added to the microplates in 10 μL amounts. The five tumor cell lines, A549, HCT116, SK-BR-3, HepG2, and HL-60 were exposed to the drugs for another 72 h. Then, 20 μL of MTT soln (5 mg mL−1) was added to each well, and the plate was incubated for 4 h at 37 °C with 5% CO2. The OD of each well was measured on a plate reader (Wellscan MK-2, Labsystems, Finland) at 570 nm. Adriamycin (purchased from Nanjing TianzunZezhong Chemical Co. Ltd., P. R. China) was used as a positive reference substance with concentrations of 10−3 to 102 μg mL−1. The cell lines were all preserved in Shanghai Institute for Pharmaceutical Industry, P. R. China.25

Assay for inhibition against NO release in LPS-induced RAW 264.7 macrophages

The tested compounds were dissolved in DMSO, and diluted with deionized water to a final volume of DMSO ≤0.5% prior to experiment. The macrophages were seeded in 48-well plates (2 × 105 cells per well). The cells were co-incubated with drugs and LPS (1 μg mL−1) for 18 h, with aminoguanidine as positive control. The amount of NO was assessed by determining the nitrite concentration in the supernatants with Griess reagent. Aliquots of supernatants (100 μL) were incubated, in sequence, with 50 μL 1% sulphanilamide and 50 μL 0.1% naphthylethylenediamine in 2.5% phosphoric acid solution. The absorbance at 570 nm was read using a microtiter plate reader.26

Acknowledgements

The work was supported by program NCET Foundation, NSFC (81373301, 81230090), Shanghai Leading Academic Discipline Project (B906), Key laboratory of drug research for special environments, PLA, Shanghai Engineering Research Center for the Preparation of Bioactive Natural Products (10DZ2251300), the Scientific Foundation of Shanghai China (12401900801, 13401900101, 11DZ1970602), National Major Project of China (2011ZX09307-002-03, 2012ZX09502001-002) and the National Key Technology R&D Program of China (2012BAI29B06).

Notes and references

  1. W. J. Zheng and L. G. Fu, Flora of China, ed. Z. Y.Wu, Science Press, Beijing, 1978, vol. 7, pp. 423–424 Search PubMed.
  2. W. W. Paulder, G. Mckay and I. Kerley, J. Org. Chem., 1963, 28(9), 2194–2197 Search PubMed.
  3. R. Powell, D. Weisleder, C. Smith and W. Rohwedder, Tetrahedron Lett., 1970, 61(8), 815–818 CrossRef.
  4. K. Mikolajczak, R. Powell and C. Smith, Tetrahedron, 1972, 28(7), 1995–2001 CrossRef CAS.
  5. R. Powell, D. Weisleder and C. Smith, J. Pharm. Sci., 1972, 61(8), 1227–1230 CrossRef CAS.
  6. W. W. Paudler and J. Mckay, J. Org. Chem., 1973, 38(11), 2110–2112 CrossRef CAS.
  7. H. Abdelkafi and B. Nay, Nat. Prod. Rep., 2012, 29, 845–869 RSC.
  8. L. Huang and Z. Xue, in The Alkaloids, ed. A.Brossi, Academic Press, New York, 1984, p. 157 Search PubMed.
  9. ChemGenex new drug application to the European Medicines Agency and the US Food and Drug Administration, respectively. NCI code for omacetaxinemepesuccinate: C1127. Clinical trial identifier: NCT00375219, see http://clinicaltrials.gov/ct2/show/study/NCT00375219.
  10. N. J. Sun, Z. Xue, X. T. Liang and L. Huang, Acta Pharmacol. Sin., 1979, 14(1), 39–43 CAS.
  11. N. J. Sun, Z. F. Zhao, R. T. Chen, W. Lin and Y. Z. Zhou, Acta Pharmacol. Sin., 1981, 16(3), 233–234 CAS.
  12. J. Du, M. H. Chiu and R. L. Nie, J. Nat. Prod., 1999, 62, 1664–1665 CrossRef CAS.
  13. M. Politi, N. De Tommasi, I. Morelli, A. Manunta, L. Battinelli and G. Mazzanti, Planta Med., 2003, 69, 468–470 CrossRef CAS PubMed.
  14. X. W. Yang, L. Feng, S. M. Li, X. H. Liu, Y. L. Li, L. wu, Y. H. Shen, J. M. Tian, X. Zhang, X. R. Liu, N. Wang, Y. H. Liu and W. D. Zhang, Bioorg. Med. Chem., 2010, 18, 744–754 CrossRef CAS PubMed.
  15. J. M. Tian, Y. H. Shen, X. W. Yang, S. Liang, J. Tian and W. D. Zhang, Org. Lett., 2009, 11(5), 1131–1133 CrossRef CAS PubMed.
  16. Y. P. Gao, Y. H. Shen, S. D. Zhang, J. M. Tian, H. W. Zeng, J. Ye, H. L. Li, L. Shan and W. D. Zhang, Org. Lett., 2012, 14(8), 1954–1957 CrossRef CAS PubMed.
  17. Y. R. He, Y. H. Shen, B. Li, L. Lu, J. M. Tian and W. D. Zhang, Chem. Biodiversity, 2013, 10, 584–595 CAS.
  18. L. Gough and J. Mills, Phytochemistry, 1970, 9(5), 1093–1096 CrossRef CAS.
  19. T. Hieda, Y. Mikami and Y. Obi, Agric. Biol. Chem., 1983, 47(4), 787–794 CrossRef CAS.
  20. N. J. Halbrook and R. V. Lawrence, J. Org. Chem., 1966, 31(12), 4246–4247 CrossRef CAS.
  21. J. M. Fang, C. I. Lang, W. L. Chen and Y. S. Cheng, Phytochemistry, 1991, 30(8), 2793–2795 CrossRef CAS.
  22. J. G. Buta, J. L. Flippen and W. R. Lusby, J. Org. Chem., 1978, 43(5), 1002–1003 CrossRef CAS.
  23. J. G. Luis, L. S. Ardres and A. Perales, Tetrahedron, 1993, 49(22), 4993–5000 CrossRef CAS.
  24. Editorial Board Chinese Herb, Chinese Herb, Shanghai Scientific and Technical Press, Shanghai, 1999, pp. 341–342 Search PubMed.
  25. Y. R. He, Y. H. Shen, B. Li, B. Li, L. Lu, J. M. Tian and W. D. Zhang, Chem. Biodiversity, 2013, 10, 584–595 CAS.
  26. Z. J. Wu, X. K. Xu, H. W. Zeng, Y. H. Shen, J. M. Tian, J. Su, H. L. Li, L. Shan, R. H. Liu and W. D. Zhang, Planta Med., 2011, 77, 1545–1550 CrossRef CAS PubMed.

Footnote

Electronic supplementary information (ESI) available: 1D, 2D NMR spectra of compounds 1–7. CCDC 875594. For ESI and crystallographic data in CIF or other electronic format see DOI: 10.1039/c4ra10665b

This journal is © The Royal Society of Chemistry 2015
Click here to see how this site uses Cookies. View our privacy policy here.