DOI:
10.1039/C4RA08036J
(Paper)
RSC Adv., 2014,
4, 45558-45565
Stereoselective synthesis of (E)-3,3-diaryl and (E)-3-aryl-3-aryloxy allylamines and allylalcohols from trans-cinnamyl chloride and alcohol†
Received
2nd August 2014
, Accepted 9th September 2014
First published on 9th September 2014
Abstract
In this work we describe the regio and stereoselective synthesis of (E)-3,3-diaryl and (E)-3-aryl-3-aryloxy allylamines and allylalcohols. The starting materials are the non-expensive commercially available cinnamyl alcohol and chloride. The bromination/dehydrobromination sequence furnished the (E)-3-bromo-3-phenylallyl amines and alcohol as single regioisomers and with high stereoselectivity (>98%). These vinyl bromides were used as substrates in cross-coupling reactions furnishing the arylated products with good to excellent yields and total E-configuration retention. With this protocol, we were able to produce regio and stereospecifically trisubstituted olefins and vinyl ethers by Suzuki cross-coupling and Ullmann vinylation.
Introduction
Regio and stereocontrol in the production of multi-substituted unsaturated compounds remains an important challenge in organic synthesis.1–4 Particularly, the controlled insertion of aryl and aryloxy fragments into olefin scaffolds is an important task for the synthesis of bioactive compounds, such as Z-tamoxifene,2,5–7 sertraline,8 indatraline,8 and tolterodine,9 among others.10–12
1,1-Diaryl trisubstituted alkenes, specifically, are usually synthesised by mono or di Heck arylation of cinnamates,13–16 α,β-unsaturated adehydes17 and acrylonitriles.18,19 However, these methodologies contain some drawbacks. For instance, the presence of an unsaturated electron-withdrawing group conjugated to the olefin is imperative to drive the regioselectivity for the formation of the 1,1-diaryl product. In addition, and depending on the conditions, stereoisomeric mixtures are obtained. An example of lack of regio and stereoselectivity caused by the absence of conjugation at double bond is the Heck arylation of cinnamic alcohol, where mixtures of regioisomers and double bound isomerisation are obtained.20 Allyl alcohols can be also obtained by hydrogenation21 or transfer hydrogenation22 of the corresponding α,β-unsaturated aldehyde. Considering allylamines, to ensure regioselectivity in Heck arylation, is necessary the presence of an electron withdrawing group bounded to the nitrogen.23,24
3-Arylated allyl amines such as abamine-SG, abamine and naftifine are bioactive compounds.23 In our ongoing research, we need to obtain selective protocols for the synthesis of 3,3-diarylated allyl amines and alcohols. In this context, we wish to describe here a highly regio and stereoselective approach to the synthesis of (E)-3,3-diaryl allyl amines and alcohols and (E)-3-aryl-3-aryloxy allyl amines and alcohols. Our strategy is based on the regio and stereoselective formation of vinyl bromides 5 from commercially available and inexpensive starting materials (trans-cinnamyl alcohol and trans-cinnamyl chloride). This strategy allowed us to synthesise the target trisubstituted-olefins via Suzuki and C–O cross-coupling reactions, in both cases as single regioisomers with E
:
Z ratios greater than 98
:
2.
Results and discussion
Initially, trans-cinnamyl chloride was allowed to react with diisopropylamine and N,N-methylbenzylamine leading to the (E)-N,N-dialkyl-3-phenylprop-2-en-1-amines 3a and 3b in yields of 86% and 88%, respectively (Scheme 1). The products 3a and 3b were then protonated and submitted to bromination in CH2Cl2 at 0 °C affording the antiperiplanar dibrominated products 4a and 4b as crystalline solids in good yields (81 and 77%, respectively). It must be mentioned that the protonation is imperative since bromination of the free amine led to a complex mixture of products. Cinnamic alcohol was also brominated in the same conditions affording the intermediate 4c at a yield of 86%.
 |
| | Scheme 1 Regio and stereoselective synthesis of vinyl bromides 5a, 5b and 5c. | |
In order to establish the best dehydrobromination conditions, a range of solvent, base and reaction temperature combinations were tested to achieve high regio and stereoselectivity (Table 1 of ESI†). As a result, by using KOH, THF and 35 °C, the vinyl bromides 5a and 5b were formed as single regioisomers in 88% and 84% yields, respectively, with stereoselectivity greater than 98%. It must be mentioned that the work-up was very simple since no column chromatography was necessary. A simple filtration and solvent evaporation furnished the desired products with high purity (>99% as judged by GC and 1H-NMR). Concerning the vinyl bromide 5c obtained from the cinnamic alcohol, the regioselectivity was slightly lower since a mixture 90
:
10 of regioisomers was obtained at the end of the reaction. In this case, chromatographic separation of regioisomers was necessary, and after that, vinylic compound 5c was obtained at a yield of 78% and with a E
:
Z ratio of 98
:
2. The stereochemistry E of all vinyl bromides was ascribed through NOE experiments. Correlations between aromatic and allylic CH2 hydrogens were observed for the olefins 5a–c (see ESI†).
In previous works, we have used the dehydrobromination of (1,2-dibromoethyl)benzene in order to obtain the α-bromostyrene with regioselectivities up to 95%.25,26 Here we have used the same simple KOH-promoted dehydrobromination protocol and were delighted to see that for the dibromides 4a and 4b, only the α-bromo regioisomers were observed and that for 4c, a 90
:
10 regioisomeric ratio was obtained. It is important to mention that the dehydrobromination reaction does not require high temperatures, microwave irradiation, ionic liquid as media or metal additives.27,28 We believe that the reaction is facilitated due to an anchimeric assistance of amine or alcohol group in the transition state that removes the benzylic proton and provides the 3-phenyl-3-bromo regioisomer (Path A in Fig. 1). On the other hand, in the transition state that provides the opposite regioisomer (3-phenyl-2-bromo product), this assistance is not possible (Path B); therefore, the Path A and consequently 3-phenyl-3-bromo allylamines and allyl alcohol 5 are favored. The high stereoselectivity obtained for the dehydrobromination product (E/Z = ≥98%) is related to the strong preference for the anti-elimination process.6,29
 |
| | Fig. 1 Transition states that provide the major regioisomer (Path A) and minor regioisomer (Path B). | |
With vinyl bromides 5 in hands, we evaluated the Suzuki cross-coupling, starting with the conditions already established for (E)-bromostilbene.6,30 The optimisation was carried out at room temperature for one hour using substrate 5a and 2-methoxy-5-methylphenylboronic acid as coupling partners (Table 1). Initially, a phosphine-free system was tested (entry 1), giving a high conversion but with a considerable amount of vinyl bromide reduction as a by-product. In a sequence, systems based on Pd(OAc)2/P(o-Tol)3 and Pd(OAc)2/BINAP were applied, leading to yields of 47% and 48%, respectively. The systems that achieved the best results were those based on PPh3: 67% yield with PdCl2(PPh3)2 and 73% yield with Pd(OAc)2/PPh3; these were the same conditions described by us as being the best for the coupling between (E)-bromostilbene and arylboronic acids.6,30 Finally, in order to obtain complete conversion, the reaction time was increased to 2.5 h, giving the product with 98% GC yield, 93% isolated yield and with complete retention of the double bond configuration. Again, the stereochemistry of the product was determined by NOE, where a correlation between the olefinic hydrogen and the aryl ortho-methyl hydrogen was observed (see ESI†). It must to be mentioned that these conditions are very practical and convenient since triphenylphosphine is a cheap phosphine and only 0.5 mol% of Pd(OAc)2 is necessary for the complete conversion at room temperature.
Table 1 Condition optimisation for Suzuki cross-coupling of vinyl bromide 5aa

|
| Entry |
Catalyst |
Conv. (%) |
Yieldb (%) |
Reduction (%) |
| Reaction conditions: 5a (0.5 mmol), arylboronic acid (0.6 mmol), KOH (1.0 mmol), THF (4 mL), [Pd] (0.5 mol%), phosphine (1 mol%), 25 °C, 1 h. Internal standard: tetradecane. By-products detected: vinyl bromide reduction and arylboronic acid homocoupling. For isolated yield a 2.0 mmol scale were used. GC yields. 2.5 h. |
| 1 |
Pd(OAc)2 |
70 |
42 |
28 |
| 2 |
Pd(OAc)2/P(o-Tol)3 |
62 |
47 |
10 |
| 3 |
Pd(OAc)2/BINAP |
53 |
48 |
3 |
| 4 |
PdCl2(PPh3)2 |
70 |
67 |
3 |
| 5 |
Pd(OAc)2/PPh3 |
75 |
73 |
2 |
| 6c |
Pd(OAc)2/PPh3 |
100 |
98 (93) |
2 |
After determination of the best Suzuki coupling conditions, the scope of the reaction was tested. In this way, the reaction was performed with 5a, 5b and 5c and a plethora of arylboronic acids (Table 2). Good to excellent results were observed, considering that yields ranging from 71 to 94% were attained with the products being obtained with complete (E)-stereochemistry retention. The best yields were observed with the electron-rich 4-methoxyphenylboronic acid (entries 1 and 9). Moreover, the reaction proceeds very well with both deactivated (entry 3) and steric demanding arylboronic acids (entry 5); however, in these cases a larger excess of arylboronic acid is needed to afford the complete conversion of vinyl bromide.
Table 2 Stereoselective synthesis of 3,3-diaryl allylamines and allyl alcohols via Suzuki cross-coupling of 5a–ca
Beside Suzuki cross-coupling, the Ullmann reaction of phenols was also applied to the vinyl bromides 5b and 5c in order to obtain novel (E)-trisubstituted vinyl-ethers regio and stereospecifically. We applied the same conditions as described for Ullmann reaction of (E)-bromostilbene with phenols and azole31 and the results obtained are described in Table 3. Initially, the reaction was performed with the electron rich 4-methoxyphenol and the substrate 5b; thus, the product 8b was obtained with 86% yield (entry 1). After this, we tested the C–O coupling with a high steric demanding o-cresol and the result was not affected, since the same yield was observed (entry 2). Lower yields are usually obtained for the Ullmann coupling of aryl or vinyl halides with phenols containing electron-withdrawing groups.32,33 Indeed, when the reaction was performed with the less nucleophilic 4′-hydroxyacetophenone, an important decrease in yield was observed for both substrates 5b and 5c. It is important to mention that similarly to Suzuki coupling, the products were obtained with total E-configuration retention.
Table 3 Stereospecific synthesis of trisubstituted vinyl-ethers by Ullmann coupling of 5b and 5c with substituted phenolsa
Conclusions
In summary, we described herein the regio and stereoselective synthesis of vinyl bromides derived from cinnamic alcohol and cinnamic amines. These bromides were used as the substrate for Suzuki cross-coupling and Ullmann vinylation, furnishing coupling products with good to excellent yields and total E-configuration retention. This strategy represents an innovative method for the stereo-controlled synthesis of (E)-3,3-diaryl allylamines and allylalcohols since no double bond conjugation is needed in the substrate to attain high regioselectivity. Moreover, by using this approach, it is also possible to access novel vinyl ethers with complete regio and stereocontrol.
Experimental
General information
Allylic substitution, bromination and dehydrobromination reactions were performed in air atmosphere, using solvents and reagents as received. The catalytic Suzuki cross-couplings and copper-catalyzed Ullmann vinylation were performed under argon atmosphere. For these reactions THF and dioxane were distilled over Na/benzophenone and the MeOH was degassed before the use. NMR spectra were recorded on a Varian XL300 spectrometer and in a Bruker Avance 400 MHZ. IR spectra were recorded on a Shimadzu FTIR-8300 spectrometer. Mass spectra were obtained on a GC/MS Shimadzu QP-5050 (EI, 70 eV). Gas chromatography analyses were performed on a Shimadzu equipment equipped with a 30 meter DB-5 column and FID detector. ESI-(+) HRMS analyses were performed on a Q-Tof (Micromass) mass spectrometer.
Synthesis of the amines 3a and 3b
A mixture of 10 g (66.0 mmol) of cinnamyl chloride, 262 mmol of diisopropylamine (or N,N-benzylmethylamine) 36.2 g (262 mmol) of K2CO3, 120 mL of toluene and 120 mL of tert-butanol were stirred for 24 h at 90 °C. The cinnamyl chloride consumption was monitored by GC. After, the reaction was filtered and the solvent was removed. The product was dissolved in Et2O and extracted with HCl 1.0 M. The aqueous phase was neutralized with NaOH 1.0 M, extracted with Et2O, washed with brine and dried over MgSO4. The solvent was removed to give the corresponding (E)-N,N-dialkyl-3-phenylprop-2-en-1-amine as yellow oils.
(E)-N,N-Diisopropyl-3-phenylprop-2-en-1-amine (3a). Yellow oil, yield: 88%. IR (neat): ν 3025, 2962, 2930, 1600, 1448, 1380, 1170, 963, 689 cm−1. MS (IE 70 eV): m/z (relat. int.): 217 (18, M+), 202 (56), 174 (5), 144 (6), 126 (11), 117 (100), 115 (81), 91 (60), 77 (19). 1H-NMR (300 MHz, CDCl3) δ ppm 0.95 (d, J = 6.6 Hz, 12H), 3.00 (hept, J = 6.6 Hz, 2H), 3.18 (dd, J = 4.6 Hz, 1.5 Hz, 2H), 6.15 (m, 1H), 6.48 (d, J = 15.8 Hz, 1H), 7.06–7.32 (m, 5H). 13C-NMR (75 MHz, CDCl3) δ ppm 21.4; 48.3; 48.9; 126.8; 127.6; 129.1; 130.6; 132.4; 138.2. HRMS: m/z calcd for C15H24N (M + H+): 218.1909; found: 218.1899.
(E)-N-Benzyl-N-methyl-3-phenylprop-2-en-1-amine (3b). Yellow oil, yield: 86%. IR (atr): ν 3059, 3026, 2784, 1599, 1494, 1451, 1364, 1022, 967, 736 cm−1. MS (IE 70 eV): m/z (relat. int.): 237 (14), 236 (10), 167 (4), 146 (100), 134 (7), 117 (41), 91 (77). 1H-NMR (300 MHz, CDCl3) δ ppm 2.0 (s, 3H), 3.25 (d, J = 6.5 Hz, 2H) 3.67 (s, 2H), 6.37 (m, 1H), 6.60 (d, J = 15.9 Hz, 1H), 7.20–7.56 (m, 10H). 13C-NMR (75 MHz, CDCl3) δ ppm 42.2; 59.8; 61.8; 126.2; 126.9; 127.3; 127.5; 128.2; 128.5; 129.0; 132.5; 137.0; 138.9. HRMS: m/z calcd for C17H20N (M + H+): 238.1596; found: 238.1588.
Bromination of 3a and 3b
A mixture of HBr 1.0 M (50 mL) and 50 mmol of 3 was stirred for 10 min. After, the water was evaporated; the product was dissolved in 50 mL of CH2Cl2, dried over MgSO4 and filtered. Then, a solution of Br2 (3.1 mL, 60 mmol) in CH2Cl2 (30 mL) was added dropwise at 0 °C during 30 min and allowed to attain room temperature. The reaction mixture was stirred overnight in the dark. After, the bromine color of the mixture was removed by addition an excess of aq. NaHSO3 10% and the pH was raised to 9 by addition of KOH 10%. The organic layer was then dried (MgSO4) and the solvent was evaporated to give the crude products. The products were crystallized in ethanol to give the 2,3-dibromo-N,N-dialkyl-3-phenylpropan-1-amines.
2,3-Dibromo-N,N-diisopropyl-3-phenylpropan-1-amine (4a). White solid, yield: 81%, IR (atr): ν 3031, 2972, 2956, 2926, 1494, 1454, 1390, 1209, 1133, 921, 765 cm−1. 1H-NMR (300 MHz, CDCl3) δ ppm 0,99 (dd, J = 14.9; 6.6 Hz, 12H), 2.79 (dd, J = 14.9, 9.0 Hz, 1H), 3.04 (hep, J = 6.6 Hz, 2H), 3.41 (dd, J = 14.9, 3.4 Hz, 1H), 4.47 (dt, J = 9.0, 3.4 Hz, 1H), 5.10 (d, J = 9.0 Hz, 1H), 7.20–7.41 (m, 5H). 13C-NMR (75 MHz, CDCl3) δ ppm 20.5; 48.7; 52.6; 55.5; 59.9; 128.1; 128.4; 128.6; 140.0. HRMS: m/z calcd for C15H24Br2N (M + H+): 376.0275; found: 376.0281.
N-Benzyl-2,3-dibromo-N-methyl-3-phenylpropan-1-amine (4b). White crystals, yield: 77%. IR (atr): ν 2959, 2927, 1495, 1456, 1213, 1135, 691 cm−1. 1H-NMR (300 MHz, CDCl3) δ ppm 2.37 (s, 3H), 3.03 (dd, J = 13.9, 7.3 Hz, 1H), 3.20 (dd, J = 13.9, 4.8 Hz, 1H), 3.70 (m, AB system, 2H), 4.67 (ddd, J = 8.5, 7.3, 4.8 Hz, 1H) 5.35 (d, J = 8.5 Hz, 1H) 7.25–7.51 (m, 12H). 13C-NMR (75 MHz, CDCl3) δ ppm 42.7; 54.4; 56.7; 62.6; 62.7; 127.2; 128.2; 128.3; 129.0; 138.4; 139.1. HRMS: m/z calcd for C17H20Br2N (M + H+): 397.9942; found: 397.9969.
2,3-Dibromo-3-fenilpropan-1-ol(4c)
A solution of cinnamic alcohol (30 mmol) in 100 mL of CH2Cl2 was cooled to 0 °C in ice bath and kept in the dark. To this solution a mixture of 1.9 mL (36 mmol) of Br2 in 30 mL of CH2Cl2 was added dropwise during 30 min. After, the reaction was allowed to attain room temperature and the mixture was stirred during 16 h. After, a solution of NaHSO3 10% was added and the organic layer was separated, washed with brine, dried over MgSO4, filtered and the CH2Cl2 was evaporated to give the crude product as a yellow solid. The product was recrystallized from a hot solution of hexane–toluene 1
:
1 furnishing white crystals. The crystals were then washed with cold hexane and dried under vacuum.
2,3-Dibromo-3-phenylpropan-1-ol (4c):34. White crystals, yield: 86%, IV (atr): ν 3360, 3028, 2925, 2870, 1493, 1452, 1231, 1135, 1051, 762, 692, 624, 578 cm−1. MS (EI 70 eV): m/z (relat. int.): 295 (2), 293 (4), 291 (2), 215 (68), 213 (82), 185 (99), 183 (100), 133 (57), 105 (91), 91 (87). 1H-NMR (300 MHz, CDCl3) δ ppm 2.17 (t, J = 6.74, 1H), 4.21–4.36 (m, 2H), 4.70 (ddd, J = 11.1, 4.3, 2.7 Hz, 1H), 5.27 (d, J = 11.1 Hz, 1H), 7.18–7.56 (m, 5H). 13C-NMR (75 MHz, CDCl3) δ ppm 52.2; 59.3; 65.8; 127.8; 128.7; 128.9; 139.8.
Dehydrobromination reactions of 4a–4c
A mixture of dibrominated product 4 (5.0 mmol), KOH (10.0 mmol) and THF (25 mL) was stirred at 35 °C for 48 h. The mixture was then filtered and the THF was evaporated. For the substrates 4a and 4b the mixture was dissolved in hexane, in order to precipitate inorganic salts and filtered again. Finally, the hexane was evaporated to give the corresponding (E)-3-bromo-N,N-dialkyl-3-phenylprop-2-en-1-amines 5a and 5b as pale yellow oils. It is important to mention that single regioisomers and almost single diastereoisomer (E
:
Z ≥ 98%) were obtained. For 4c, after the end of the reaction, the mixture was filtered, the THF was evaporated and the crude product 5c was analysed by NMR. It was observed a regioisomeric mixture of 9
:
1. The regioisomers were then separated by column chromatography in silica, with a hexane/ethyl acetate eluent. The (E)-configuration of the products 5a–c were determined by 1D- and 2D-NOESY experiments (see ESI†).
(E)-3-Bromo-N,N-diisopropyl-3-phenylprop-2-en-1-amine (5a). Pale yellow oil, yield: 88%. IR (atr): ν 3053, 2964, 2929, 1460, 1363, 1178, 844, 759, 696 cm−1. MS (EI 70 eV): m/z (int. relat.): 297 (4, M + 2), 295 (4, M+), 282 (24), 280 (25), 197 (36), 195 (40), 144 (6), 115 (100), 102 (21), 70 (20), 56 (40). 1H-NMR (300 MHz, CDCl3) δ ppm 0.93 (d, 12H, J = 6.5 Hz), 3.00 (hept, 2H, J = 6.5 Hz), 3.08 (d, 2H, J = 6.7 Hz), 6.29 (t, 1H, J = 6.7 Hz), 7.25–7.38 (m, 5H). 13C-NMR (75 MHz, CDCl3) δ ppm 20.6; 44.8; 48.6; 119.9; 128.1; 128.4; 128.9; 135.9; 138.6. HRMS: m/z calcd for C15H23BrN (M + H+): 296.1014; found: 296.1008.
(E)-N-Benzyl-3-bromo-N-methyl-3-phenylprop-2-en-1-amine (5b). Pale yellow oil, yield: 84%. IR (atr): ν 3058, 3028, 2941, 2788, 1632, 1452, 1025, 699 cm−1. MS (EI 70 eV): m/z (relat. int.): 317 (3), 315 (3), 236 (28), 226 (17), 224 (18), 134 (60), 115 (33), 91 (100). 1H-NMR (300 MHz, CDCl3) δ ppm 2.08 (s, 3H), 3.09 (d, J = 7.3 Hz, 2H), 3.36 (s, 2H), 3.68 (s, 3H), 5.18 (t, J = 7.3 Hz, 1H), 6.74 (d, J = 9.0 Hz, 2H), 6.89 (d, J = 9.0 Hz, 2H), 7.15–7.32 (m, 8H), 7.43 (d, J = 9.0 Hz, 2H). 13C-NMR (100 MHz, CDCl3) δ 41.9; 56.2; 61.4; 123.0; 127.1; 128.1; 128.2; 128.6; 128.9; 128.9; 131.6; 138.3; 138.4. HRMS: m/z calcd for C17H19BrN (M + H+): 316.0701; found: 316.0702.
(E)-3-Bromo-3-fenilprop-2-en-1-ol (5c). Colorless oil, yield: 78%. MS (EI 70 eV): m/z (relat. int.): 214 (7), 212 (8), 133 (55), 115 (54), 105 (100), 103 (85), 89 (25), 77 (51), 63 (48), 51 (80). 1H-NMR (400 MHz, CDCl3) δ ppm 1.71 (s, 1H), 4.07 (d, J = 7.2 Hz, 2H), 6.42 (t, J = 7.2 Hz, 1H), 7.33–7.40 (m, 5H). 13C-NMR (100 MHz, CDCl3) δ ppm 60.6; 124.7; 128.2; 128.8; 129.0; 132.5; 137.7. HRMS: m/z calcd for C9H9BrO: 211.9837; found: 211.9850.
Suzuki coupling of 5a–c with arylboronic acids
An oven-dried resealable Schlenk flask charged with 5 (2 mmol) was evacuated and back-filled with argon. Then, Pd(OAc)2 (2.2 mg, 0.01 mmol), PPh3 (5.2 mg, 0.02 mmol), arylboronic acid (2.4 mmol), KOH (224 mg, 4 mmol), MeOH (8 mL), and THF (8 mL) were added. The reaction mixture was stirred at room temperature for 2.5 h. After, the solution was then taken up in Et2O (30 mL) and the Et2O layer was washed with aq. 1.0 M NaOH (10 mL) and brine (2 × 5 mL). The organic layer was dried (MgSO4), filtered, concentrated under reduced pressure. The crude material was purified by column chromatography on silica gel using hexane/ethyl acetate as eluent. The E-configuration of the products was assigned by 2D-NOESY of selected compounds.
(E)-N,N-Diisopropyl-3-(2-methoxy-5-methylphenyl)-3-phenylprop-2-en-1-amine (6a). Yellow oil, yield: 93%. MS (IE 70 eV): m/z (relat. int.): 337 (11, M+), 237 (70), 221 (20), 178 (32), 165 (24), 126 (100), 115 (51), 91 (68). 1H-NMR (300 MHz, CDCl3) δ ppm 0.90 (d, J = 6.5 Hz, 12H), 2.20 (s, 3H), 3.00 (hep, J = 6.5 Hz, 2H), 3.22 (d, J = 6.4 Hz, 2H), 3.43 (s, 3H), 5.84 (t, J = 6.4 Hz, 1H), 6.64 (d, J = 8.9 Hz, 1H), 6.94 (d, J = 8.9 Hz, 1H), 6.95 (s, 1H), 7.05–7.24 (m, 5H). 13C-NMR (75 MHz, CDCl3) δ ppm 20.7; 20.9; 43.9; 49.3; 55.8; 115.5; 126.1; 127.1; 128.3; 128.7; 129.3; 131.1; 132.8; 138.4; 140.5; 154.6. HRMS: m/z calcd for C23H32NO (M + H+): 338.2484; found: 338.2474.
(E)-N,N-Diisopropyl-3-(4-methoxyphenyl)-3-phenylprop-2-en-1-amine (7a). Yellow oil, yield: 94%. IR (atr): ν 3056, 2970, 2919, 1491, 1379, 1022, 860, 768, 696 cm−1.1H-NMR (300 MHz, CDCl3) δ ppm 0.87 (d, J = 6.6 Hz, 12H), 2.97 (hep, J = 6.6 Hz, 2H), 3.07 (d, J = 6.5 Hz, 2H), 3.67 (s, 3H), 6.01 (t, J = 6.5 Hz, 1H), 6.70 (d, J = 8.9 Hz, 2H), 7.03–7.11 (m, 4H), 7.19–7.30 (m, 3H). 13C-NMR (75 MHz, CDCl3) δ ppm 20.7; 44.2; 48.7; 55.1; 113.3; 126.9; 127.9; 128.2; 129.7; 135.0; 140.0; 140.4; 158.6. HRMS: m/z calcd for C22H30NO (M + H+): 324.2327; found: 324.2338.
N,N-Diisopropyl-3,3-diphenylprop-2-en-1-amine (8a). Yellow oil, yield: 81%. IR (atr): ν 3058, 2965, 2830, 1662, 1592, 1345, 1125, 768, 699 cm−1. MS (EI 70 eV): m/z (relat. int.): 293 (9), 278 (13), 250 (5), 193 (100), 178 (23), 165 (11), 126 (50), 115 (5), 91 (23). 1H-NMR (300 MHz, CDCl3) δ ppm 0.88 (d, J = 6.6 Hz, 12H), 2.97 (hep, J = 6.6 Hz, 2H), 3.09 (d, J = 6.4 Hz, 2H), 6.10 (t, J = 6.4 Hz, 1H), 6.98–7.46 (m, 10H). 13C-NMR (75 MHz, CDCl3) δ ppm 20.7; 44.2; 48.6; 126.8; 127.1; 127.9; 129.7; 129.9; 131.6; 131.8; 139.9; 140.7; 142.4. HRMS: m/z calcd for C21H28N (M + H+): 294.2222; found: 294.2212.
(E)-3-(4-(Trifluoromethyl)phenyl)-N,N-diisopropyl-3-phenylprop-2-en-1-amine (9a). Yellow oil, yield: 83%. IR (atr): ν 3057, 3027, 2969, 1668, 1616, 1325, 1167, 1125, 1067, 840, 701 cm−1. MS (EI 70 eV): m/z (relat. int.): 361 (9), 346 (24), 318 (4), 261 (100), 246 (8), 183 (29), 126 (30), 115 (27), 91 (13), 361 (9), 346 (24), 318 (4), 261 (100), 246 (8), 183 (29), 126 (30), 115 (27), 91 (13). 1H-NMR (300 MHz, CDCl3) δ ppm 0.95 (d, J = 6.5 Hz, 12H), 3.03 (hep, J = 6.5 Hz, 2H), 3.17 (d, J = 6.3 Hz, 2H), 6.24 (t, J = 6.3 Hz, 1H), 7.14 (d, J = 8.0 Hz, 2H), 7.29–7.46 (m, 5H), 7.50 (d, J = 8.0 Hz, 2H). 13C-NMR (75 MHz, CDCl3) δ 20.7; 44.4; 48.9; 118.9; 122.4; 124.9; 124.9; 125.0; 125.1; 126.0; 127.4; 128.3; 128.9; 129.7; 139.0; 139.7; 145.9. HRMS: m/z calcd for C22H27F3N (M + H+): 362.4583; found: 362.4593.
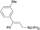
(E)-N,N-Diisopropyl-3-phenyl-3-m-toluylprop-2-en-1-amine (10a). Yellow oil, yield: 92%. IR (atr): ν 3021, 2966, 2924, 1665, 1599, 1318, 1175, 785, 701 cm−1. MS (EI 70 eV): m/z (relat. int.): 307 (12), 306 (5), 292 (10), 264 (6), 207 (100), 196 (14), 165 (8), 129 (37), 126 (64), 115 (53), 91 (14). 1H-NMR (300 MHz, CDCl3) δ ppm 0.88 (d, J = 6.6 Hz, 12H), 2.23 (s, 3H), 2.97 (hep, J = 6.6 Hz, 2H), 3.07 (d, J = 6.4 Hz, 2H), 6.07 (t, J = 6.4 Hz, 1H), 6.91–7.12 (m, 5H), 7.17–7.34 (m, 4H). 13C-NMR (75 MHz, CDCl3) δ ppm 20.6; 21.3; 44.2; 48.6; 124.4; 126.8; 127.5; 127.7; 127.8; 129.7; 131.4; 137.4; 140.0; 140.8; 142.4. HRMS: m/z calcd for C22H30N (M + H+): 308.2378; found: 308.2366.
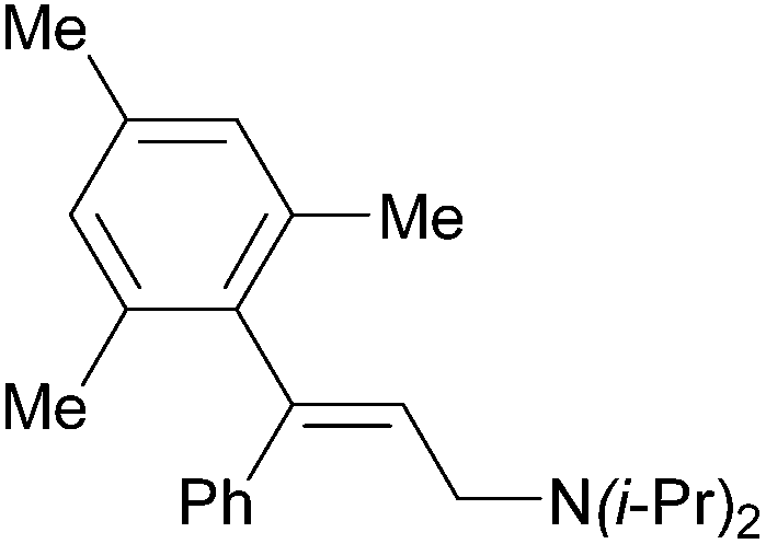
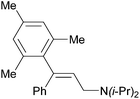
(E)-N,N-Diisopropyl-3-mesityl-3-phenylprop-2-en-1-amine (11a). White solid, mp: 80 °C, yield: 84%. IR (atr): ν 2970, 1611, 1491, 1379, 1287, 1201, 1180, 1023, 696 cm−1. MS (EI 70 eV): m/z (relat. int.): 335 (26), 334 (16), 292 (6), 235 (100), 220 (12), 205 (10), 157 (21), 129 (13), 115 (41), 91 (27). 1H-NMR (300 MHz, CDCl3) δ ppm 0.97 (d, J = 6.5 Hz, 12H), 2.17 (s, 6H), 2.28 (s, 3H), 3.05 (hep, J = 6.5 Hz, 2H), 3.44 (d, J = 6.3 Hz, 2H), 5.61 (t, J = 6.3 Hz, 1H), 6.86 (s, 2H), 7.14–7.31 (m, 5H). 13C-NMR (75 MHz, CDCl3) δ ppm 20.6; 20.8; 21.0; 43.8; 48.5; 126.5; 127.7; 128.2; 129.1; 134.1; 136.0; 136.2; 138.5; 139.3; 140.6. HRMS: m/z calcd for C24H34N (M + H+): 336.2691; found: 336.2678.
(E)-N,N-Diisopropyl-3-(4-(methylsulfonil)phenyl)-3-phenylprop-2-en-1-amine (12a). White solid, mp: 91 °C yield: 71%. IR (atr): ν 3057, 2963, 1594, 1378, 1303, 1148, 952, 771, 702 cm−1. 1H-NMR (400 MHz, CDCl3) δ 0.95 (d, J = 6.6 Hz, 12H), 2.95–3.08 (m, 5H, hep + s), 3.16 (d, J = 6.4 Hz, 2H), 6.29 (t, J = 6.4 Hz, 1H), 7.07–7.18 (m, 2H), 7.30–7.46 (m, 5H), 7.81 (d, J = 8.6 Hz, 2H). 13C-NMR (100 MHz, CDCl3) δ 20.6; 44.2; 44.4; 48.8; 127.0; 127.4; 127.7; 128.2; 129.5; 135.5; 138.3; 138.5; 139.0; 147.7. HRMS: m/z calcd for C22H30NO2S (M + H+): 372.1997; found: 372.2007.
(E)-N-Benzyl-N-methyl-3-(4-(methylsulfonil)phenyl)-3-phenylprop-2-en-1-amine (6b). Viscous brown oil, yield: 74%. IR (atr): ν 3057, 3025, 2836, 1661, 1592, 1452, 1311, 1144, 1092, 1023, 772, 701 cm−1. 1H-NMR (400 MHz, CDCl3) δ 2.23 (s, 3H), 3.07 (s, 3H), 3.16 (d, J = 6.7 Hz, 2H), 3.49 (s, 2H), 6.39 (t, J = 6.7 Hz, 1H), 7.11–7.18 (m, 2H), 7.26–7.44 (m, 10H), 7.84 (d, J = 8.5 Hz, 2H). 13C-NMR (75 MHz, CDCl3) δ 42.6; 44.5; 56.2; 62.0; 127.0; 127.2; 127.6; 128.0; 128.2; 128.4; 128.9; 129.6; 130.8; 138.4; 138.8; 142.0; 147.6. HRMS: m/z calcd for C24H26NO2S (M + H+): 392.5419; found: 392.5422.
(E)-3-(4-Methoxyphenyl)-3-phenylprop-2-en-1-ol (6c). White wax, yield: 93%. IR (atr): ν 3310, 3048, 2946, 2834, 1605, 1508, 1441, 1247, 1177, 1016, 816, 646 cm−1. MS (IE 70 eV): m/z (int. relat): 240 (10), 222 (100), 207(79), 197 (40), 178 (65), 165 (22), 152 (27), 111 (12), 89 (18), 51 (21). 1H-NMR (300 MHz, CDCl3) δ ppm 1.57 (s, 1H), 3.80 (s, 3H), 4.19 (d, J = 6.9 Hz, 2H), 6.17 (t, J = 6.9 Hz, 1H), 6.82 (d, J = 8.9 Hz, 2H), 7.14–7.22 (m, 4H), 7.32–7.41 (m, 3H). 13C-NMR (75 MHz, CDCl3) δ ppm 55.3; 60.8; 113.5; 125.6; 127.5; 128.2; 128.7; 129.7; 134.3; 139.2; 143.8; 159.2. HRMS: m/z calcd for C16H17O2 (M + H+): 241.1229; found: 241.1237.
(E)-3-(4-(Methylsulfonil)fenil)-3-fenilprop-2-en-1-ol (7c). White crystals, mp: 89 °C yield: 77%. IR (atr): ν 3496, 3062, 3021, 2981, 1591, 1292, 1140, 1036, 816, 774, 701 cm−1. 1H-NMR (400 MHz, CDCl3) δ 1.63 (s, 1H, OH), 3.05 (s, 3H), 4.26 (d, J = 6.6 Hz, 2H), 6.35 (t, J = 6.6 Hz, 1H), 7.09–7.19 (m, 2H), 7.39 (t, J = 6.2 Hz, 3H), 7.43 (d, J = 8.4 Hz, 2H), 7.84 (d, J = 8.4 Hz, 2H). 13C-NMR (100 MHz, CDCl3) δ 44.5; 60.5; 127.3; 128.1; 128.4; 128.6; 129.6; 130.8; 137.8; 139.1; 142.3; 147.3. HRMS: m/z calcd for C16H17O3S (M + H+): 289.3751; found: 289.3752.
1-(4-((E)-3-Hydroxy-1-phenylprop-1-enyl)phenyl)ethanone (8c). White solid, yield: 86%. 1H-NMR (400 MHz, CDCl3) δ 1.56 (s, 1H, OH), 2.59 (s, 3H), 4.25 (d, J = 6.7 Hz, 2H), 6.35 (t, J = 6.7 Hz, 1H), 7.11–7.18 (m, 2H), 7.34 (d, J = 8.5 Hz, 2H), 7.36–7.44 (m, 3H), 7.88 (d, J = 8.5 Hz, 2H). 13C-NMR (100 MHz, CDCl3) δ 26.6; 60.6; 127.7; 127.9; 128.3; 128.4; 129.6; 129.7; 136.0; 138.3; 143.1; 146.3; 197.7. HRMS: m/z calcd for C17H17O2 (M + H+): 253.1229; found: 253.1232.
3,3-Diphenylprop-2-en-1-ol35 (9c). Pale yellow solid, mp: 59 °C, yield: 82% IR (atr): ν 3316, 3052, 3023, 2918, 1598, 1441, 1017, 759, 699 cm−1. 1H-NMR (400 MHz, CDCl3) δ 1.53 (s, 1H, OH), 4.14 (d, J = 6.8 Hz, 2H), 6.17 (t, J = 6.8 Hz, 2H), 7.09 (dd, J = 7.8, 1.6 Hz, 2H), 7.13–7.33 (m, 8H). 13C-NMR (100 MHz, CDCl3) δ 60.7; 127.4; 127.5; 127.6; 128.1; 128.2; 129.7; 139.0; 141.7; 144.2.
Copper-catalyzed Ullmann-type vinylation of phenols with 5b and 5c
An oven-dried resealable Schlenk flask charged with 5b or 5c (2.0 mmol), phenol (3.0 mmol), 1,10-phenanthroline (36 mg, 0.2 mmol), CuI (38 mg, 0.2 mmol) and K3PO4·H2O (4.0 mmol, 920 mg), was evacuated and back-filled with argon. Then, dioxane (8 mL) was added and the reaction mixture was stirred at 100 °C for 16 h. Next, the reaction mixture was cooled, filtered and analysed by GC and GC-MS. After, the solution was taken up in CH2Cl2 (30 mL) and the organic layer was washed with aq. 1.0 M NaOH (to remove the phenol excess) and brine (2 × 5 mL), and then dried over MgSO4. Finally, the solvent was evaporated and the product purified by column chromatography (silica gel in hexane/ethylacetate) and analysed by 1H-NMR and 13C-NMR. The E-configuration of the products was assigned by 2D-NOESY of selected compounds.
(E)-3-(4-Methoxyphenoxy)-N-benzyl-N-methyl-3-phenylprop-2-en-1-amine (8b). Pale yellow oil, yield: 86%. MS (EI 70 eV): m/z (relat. int.): 359 (7), 358 (17), 268 (11), 251 (26), 239 (15), 161 (33), 146 (49), 134 (22), 105 (56), 91 (100). 1H-NMR (300 MHz, CDCl3) δ ppm 2.08 (s, 3H), 3.09 (d, J = 7.3 Hz, 2H), 3.36 (s, 2H), 3.68 (s, 3H), 5.18 (t, J = 7.3 Hz, 1H), 6.74 (d, J = 9.0 Hz, 2H), 6.89 (d, J = 9.0 Hz, 2H), 7.15–7.32 (m, 8H), 7.40–7.45 (m, 2H). 13C-NMR (75 MHz, CDCl3) δ ppm 41.9; 54.1; 55.5; 61.4; 108.3; 114.6; 120.3; 126.9; 128.0; 128.1; 128.5; 128.8; 129.1; 134.5; 138.6; 149.8; 155.3; 155.8. HRMS: m/z calcd for C24H26NO2 (M + H+): 360.1964; found: 360.1967.
(E)-3-(o-Toluyloxy)-N-benzyl-N-methyl-3-phenylprop-2-en-1-amine (9b). Pale yellow oil, yield: 86%. IR (atr): ν 3059, 3027, 2956, 1655, 1597, 1491, 1228, 1183, 1115, 845, 751, 699 cm−1 MS (EI 70 eV): m/z (relat. int.): 343 (7), 342 (12), 252 (16), 236 (12), 223 (12), 146 (26), 115 (32), 105 (55), 91 (100). 1H-NMR (300 MHz, CDCl3) δ ppm 2.01 (s, 3H), 2.21 (s, 3H), 3.03 (d, J = 7.3 Hz, 2H) 3.30 (s, 2H), 4.97 (t, J = 7.3 Hz, 1H), 6.85–6.89 (m, 2H), 6.94–7.31 (m, 10H), 7.44–7.47 (m, 2H). 13C-NMR (100 MHz, CDCl3) δ 16.2; 41.9; 54.2; 61.4; 106.7; 119.6; 123.6; 127.0; 128.1; 128.2; 128.6; 128.7; 129.1; 129.5; 131.2; 134.7; 153.9; 155.2. HRMS: m/z calcd for C24H26NO (M + H+): 344.2014; found: 344.2021.
1-(4-(E)-3-(N-Benzyl-N-methylamine)-1-phenylprop-1-enyloxy)phenyl)ethanone (10b). Yellow oil, yield: 43%. IR (atr): ν 3058, 2933, 1716, 1589, 1503, 1207, 1031, 700 cm−1. 1H-NMR (400 MHz, CDCl3) δ ppm 2.16 (s, 3H), 2.45 (s, 3H), 3.20 (d, J = 7.3 Hz, 2H), 3.44 (s, 2H), 5.63 (t, J = 7.3 Hz, 1H), 6.94 (d, J = 8.9 Hz, 2H), 7.16–7.30 (m, 8H), 7.37–7.46 (m, 2H), 7.79 (d, J = 8.9 Hz, 2H). 13C-NMR (75 MHz, CDCl3) δ ppm 26.3; 42.1; 53.7; 61.6; 114.9; 117.0; 127.0; 128.1; 128.2; 128.6; 128.8; 129.0; 130.3; 131.3; 133.5; 138.6; 152.1; 161.2; 196.6. HRMS: m/z calcd for C25H26NO2 (M + H+): 372.1964; found: 372.1954.
1-(4-((E)-3-Hydroxy-1-phenylprop-1-enyloxy)phenyl)ethanone (10c). Brown oil, yield: 51%. IR (atr): ν 3345, 3057, 3027, 1681, 1601, 1359, 1267, 1023, 957, 702, cm−1. 1H-NMR (400 MHz, CDCl3) δ ppm 2.50 (s, 3H), 4.33 (d, J = 7.6 Hz, 2H), 5.65 (t, J = 7.6 Hz, 1H), 7.01 (d, J = 8.9 Hz, 2H), 7.29–7.39 (m, 3H), 7.42–7.48 (m, 2H), 7.85 (d, J = 8.9 Hz, 2H). 13C-NMR (100 MHz, CDCl3) δ ppm 26.4; 58.8; 114.7; 117.6; 128.4; 128.6; 129.3; 130.4; 131.7; 133.0; 153.8; 160.7; 196.9. HRMS: m/z calcd for C17H17O3 (M + H+): 269.1178; found: 269.1155.
(E)-3-(4-Methoxyphenoxy)-3-phenylprop-2-en-1-ol (11c). White solid, yield: 74% mp: 54 °C IR (atr): ν 3380, 3054, 2933, 1650, 1504, 1260, 1096, 982, 832, 780, 704 cm−1. 1H-NMR (400 MHz, CDCl3) δ 3.79 (s, 3H), 4.21 (d, J = 7.8 Hz, 2H), 5.19 (t, J = 7.8 Hz, 1H) 6.85 (d, J = 9.0 Hz, 2H), 7.01 (d, J = 9.0 Hz, 2H), 7.36–7.45 (m, 3H), 7.51–7.57 (m, 2H). 13C-NMR (100 MHz, CDCl3) δ 55.6; 59.3; 107.5; 114.7; 121.1; 128.2; 128.7; 129.06; 134.1; 149.1; 155.8; 158.1. HRMS: m/z calcd for C17H17O3 (M + H+): 257.1178; found: 257.1182.
Notes and references
- K. Itami and J. Yoshida, Chem.–Eur. J., 2006, 12, 3966–3974 CrossRef CAS PubMed.
- K. Itami, T. Kamei and J. Yoshida, J. Am. Chem. Soc., 2003, 125, 14670–14671 CrossRef CAS PubMed.
- C. X. Zhou, D. E. Emrich and R. C. Larock, Org. Lett., 2003, 5, 1579–1582 CrossRef CAS PubMed.
- A. B. Flynn and W. W. Ogilvie, Chem. Rev., 2007, 107, 4698–4745 CrossRef CAS PubMed.
- R. A. Pilli and L. G. Robello, J. Braz. Chem. Soc., 2004, 15, 938–944 CrossRef CAS PubMed.
- C. M. Nunes, J. Limberger, S. Poersch, M. Seferin and A. L. Monteiro, Synthesis, 2009, 2761–2765 CAS.
- P. E. Tessier, A. J. Penwell, F. E. S. Souza and A. G. Fallis, Org. Lett., 2003, 5, 2989–2992 CrossRef CAS PubMed.
- J. C. Pastre and C. R. D. Correia, Adv. Synth. Catal., 2009, 351, 1217–1223 CrossRef CAS.
- F. Ulgheri, M. Marchetti and O. Piccolo, J. Org. Chem., 2007, 72, 6056–6059 CrossRef CAS PubMed.
- K. Gaukroger, J. A. Hadfield, L. A. Hepworth, N. J. Lawrence and A. T. McGown, J. Org. Chem., 2001, 66, 8135–8138 CrossRef CAS PubMed.
- T. J. N. Watson, S. W. Horgan, R. S. Shah, R. A. Farr, R. A. Schnettler, C. R. Nevill, F. J. Weiberth, E. W. Huber, B. M. Baron, M. E. Webster, R. K. Mishra, B. L. Harrison, P. L. Nyce, C. L. Rand and C. T. Goralski, Org. Process Res. Dev., 2000, 4, 477–487 CrossRef CAS.
- S. M. Nobre, M. N. Muniz, M. Seferin, W. M. da Silva and A. L. Monteiro, Appl. Organomet. Chem., 2011, 25, 289–293 CrossRef CAS.
- C. Gurtler and S. L. Buchwald, Chem.–Eur. J., 1999, 5, 3107–3112 CrossRef CAS.
- M. Ohff, A. Ohff and D. Milstein, Chem. Commun., 1999, 357–358 RSC.
- A. F. Littke and G. C. Fu, J. Am. Chem. Soc., 2001, 123, 6989–7000 CrossRef CAS PubMed.
- I. Kondolff, H. Doucet and M. Santelli, Tetrahedron Lett., 2003, 44, 8487–8491 CrossRef CAS PubMed.
- A. Nejjar, C. Pinel and L. Djakovitch, Adv. Synth. Catal., 2003, 345, 612–619 CrossRef CAS.
- M. MorenoManas, R. Pleixats and A. Roglans, Synlett, 1997, 1157–1158 CrossRef CAS PubMed.
- J. Masllorens, M. Moreno-Manas, A. Pla-Quintana, R. Pleixats and A. Roglans, Synthesis, 2002, 1903–1911 CAS.
- L. Bagnell, U. Kreher and C. R. Strauss, Chem. Commun., 2001, 29–30 RSC.
- S. Fleischer, S. Zhou, K. Junge and M. Beller, Angew. Chem., Int. Ed., 2013, 52, 5120–5124 CrossRef CAS PubMed.
- G. Wienhöfer, F. A. Westerhaus, K. Junge and M. Beller, J. Organomet. Chem., 2013, 744, 156–159 CrossRef PubMed.
- P. c. Prediger, L. s. F. Barbosa, Y. Génisson and C. R. D. Correia, New J. Chem., 2011, 76, 7737–7749 CrossRef CAS PubMed.
- P. Prediger, A. R. da Silva and C. R. D. Correia, Tetrahedron, 2014, 70, 3333–3341 CrossRef CAS PubMed.
- V. R. Lando and A. L. Monteiro, Org. Lett., 2003, 5, 2891–2894 CrossRef CAS PubMed.
- P. B. Silveira and A. L. Monteiro, J. Mol. Catal. A: Chem., 2006, 247, 1–6 CrossRef CAS PubMed.
- B. C. Ranu and R. Jana, J. Org. Chem., 2005, 70, 8621–8624 CrossRef CAS PubMed.
- B. C. Ranu, S. K. Guchhait and A. Sarkar, Chem. Commun., 1998, 2113–2114 RSC.
- J. Avraamides and A. Parker, Aust. J. Chem., 1983, 36, 1705–1717 CrossRef CAS.
- C. M. Nunes, D. Steffens and A. L. Monteiro, Synlett, 2007, 103–106 CAS.
- J. Limberger, B. C. Leal, D. F. Back, J. Dupont and A. L. Monteiro, Adv. Synth. Catal., 2012, 354, 1429–1436 CrossRef CAS.
- F. Monnier and M. Taillefer, Angew. Chem., Int. Ed., 2009, 48, 6954–6971 CrossRef CAS PubMed.
- A. Ouali, J. F. Spindler, A. Jutand and M. Taillefer, Adv. Synth. Catal., 2007, 349, 1906–1916 CrossRef CAS.
- M. Zhu, S. Lin, G.-L. Zhao, J. Sun and A. Córdova, Tetrahedron Lett., 2010, 51, 2708–2712 CrossRef CAS PubMed.
- H. Zheng, M. Lejkowski and D. G. Hall, Chem. Sci., 2011, 2, 1305–1310 RSC.
Footnote |
| † Electronic supplementary information (ESI) available: Dehydrobromination optimisation, NMR spectra and NOE-stereochemistry characterisation. See DOI: 10.1039/c4ra08036j |
|
| This journal is © The Royal Society of Chemistry 2014 |
Click here to see how this site uses Cookies. View our privacy policy here.