Probing the evolution of an Ar-BINMOL-derived salen–Co(III) complex for asymmetric Henry reactions of aromatic aldehydes: salan–Cu(II) versus salen–Co(III) catalysis

Yun-Long Wei a, Ke-Fang Yanga, Fei Lia, Zhan-Jiang Zhenga, Zheng Xua and Li-Wen Xu*ab
aKey Laboratory of Organosilicon Chemistry and Material Technology of Ministry of Education (MOE), Hangzhou Normal University, Hangzhou 311121, P. R. China. E-mail: liwenxu@hznu.edu.cn; licpxulw@yahoo.com; Fax: +86-571-28867756
bKey Laboratory of Applied Surface and Colloid Chemistry, Ministry of Education (MOE) and School of Chemistry and Chemical Engineering, Shaanxi Normal University, Xi'an 710062, P. R. China

Received 21st June 2014 , Accepted 12th August 2014

First published on 14th August 2014


Abstract

A new type of chiral salen–Co catalyst that features aromatic π-walls and an active Co(III) center has been developed for enantioselective Henry/nitroaldol reactions on the basis of salen–Cu catalysis. The asymmetric Henry reaction of aromatic aldehydes and nitromethane catalyzed by an Ar-BINMOL-derived salen–Co(III) complex was achieved with high yields (up to 93%) and excellent enantioselectivities (up to 98% ee). And more interestingly, it was supposed that either salan–Cu(II) or salen–Co(III) complex-catalyzed Henry reaction was an ideal model reaction for providing direct evidence of noncovalent interaction due to the distinguishable ortho-substituted aromatic aldehydes from meta- or para-substituted benzaldehydes in terms of enantioselectivities and yields.


Introduction

The Henry (nitroaldol) reaction is one of the most atom-economic and convenient carbon–carbon bond-forming reactions, and the resulting β-hydroxy nitroalkanes can be further converted to β-amino alcohol by reduction as well as chiral carboxylic acid and primary amines.1 The diversity of the transformations of the Henry adducts provides potential interest and application of this process. Since the breakthrough in the catalytic asymmetric Henry reaction came from Shibasaki's group in 1992,2 much effort has been devoted toward the development of metallic and organic catalysts as well as biocatalysts for this reaction.3,4 And the most prominent results have been obtained in this area is zinc and copper-based catalyst system with nitrogen-centered ligands.4–6 For example, dinuclear zinc-amino alcohol and copper-bis(oxazoline) are two classical and representative catalytic systems,5–7 which developed by Trost5 and Evans6 respectively. Although great progress has been hitherto achieved, the development of novel chiral ligands and organometallic catalysis with new concept or strategy still a valuable approach to highly efficient and enantioselective Henry reaction. Herein, we described for the first time an interesting finding of aromatic-interaction-enhanced catalytic transformation with the dramatic effect of aromatic interactions between aromatic aldehydes and chiral salan–copper(II), which led to the finding of benzaldehyde and other aromatic compounds containing one phenyl ring as a key activator to assist the Henry reaction of various nonreactive aldehydes. And on the basis of these work, we report new results of our studies on the evolution of salan–Co(III) complex bearing crowed aromatic rings upon catalytic performances in the Henry reaction.

The weak non-covalent interactions such as hydrogen-bonding, π–π stacking, CH–π, cation– or anion–π, and van der Waals interaction, are the most important structural phenomena for the understanding of molecular recognition, conformational equilibria, molecular self-assembly, protein–ligand binding, molecular aggregates, and artificial metalloenzymes.8 Especially, the importance of aromatic interactions (π–π stacking, CH–π, cation–π and anion–π interactions) in supramolecular chemistry and homogeneous catalysis has also been recognized very early and received much attention in the fields of molecule based materials and synthetic chemistry in the past decades.9 Numerous synthetic literatures have showed that stereoselectivities of asymmetric reactions changed unexpectedly upon replacement of an alkyl moiety by an aromatic group,10 and recent development in theory have proved that the quantum mechanical modeling or methodology could provide accurate insights into the roles of these aromatic interactions at a level of detail not previously accessible for the transition states of catalytic asymmetric chemical reactions.11 Accordingly, considerable efforts for the development of aromatic-interaction-enhanced catalytic transformations recently have been directed toward the positive and effects explanations of aromatic interactions in asymmetric catalysis.12 Thus, wise modulation and tuning of the complementary moieties of catalyst responsible for the aromatic interactions can lead to its enantioselectivity enhancement in asymmetric reactions. However, it is difficult to develop an aromatic interactions or molecular recognition-oriented enantioselective catalysis, and there are few studies focused on the direct experimental and reaction investigation for the establishment of the crucial role of aromatic interactions in catalytic asymmetric reactions.11,12 In this work, we want to advance the aromatic interactions as well as salan/salen–metal complex to establish a practical procedure with operationally simple and high efficiently for the metal-catalyzed Henry reactions.

Results and discussion

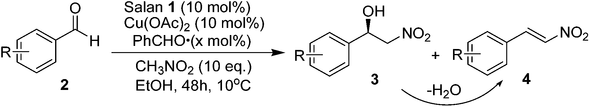
Very recently, we synthesized a novel chiral 1,1′-binaphthalene-2-α-arylmethanol-2′-ols (Ar-BINMOLs) that derived from BINOL through [1,2]-Wittig rearrangement.13 The Ar-BINMOL ligands have rigid structures with C2-axial and sp3 carbon-central chirality, and could be acted as a supramolecular backbone due to the existence of hydrogen bonding and aromatic interactions of rotatable aromatic rings, thus we expected a high potential for the creation of a rotatable π-wall in the designed salan ligand prepared from Ar-BINMOL via six-step transformations.14 Interestingly, in this case, the (S,R)-Ar-BINMOL and (S,S)-cyclohexane-1,2-diamine-derived salan ligand exhibited unusual and high level of catalytic efficiency in asymmetric Henry reaction of aldehydes in terms of enantioselectivities and conversions. As shown in Scheme 1, the salan (1)–copper complex exhibited good catalytic performance for non-substituted and halogen-substituted aromatic aldehydes in term of conversion and enantioselectivity. However, methyl-, methoxy-, hydroxyl-, and nitro-substituted benzaldehydes resulted in poor or no conversion.
image file: c4ra06056c-s1.tif
Scheme 1 Ar-BINMOL-derived salan–Cu complex-catalyzed Henry reactions.14

Based on the experimental results in this Henry reaction, we suggested that such unique salan ligand (1) bearing large aromatic π-wall led to interesting and remarkable discrimination of different aldehydes. Although the catalytic systems are highly complex and multiple parameters can have an impact on the reaction outcomes, and the reasonable mechanism is not clear at present, we can concluded the existence of aromatic π–π stacking interaction between copper ligand and substituted aromatic aldehydes was not favorable for the activation of methyl-, methoxy-, hydroxyl-, and nitro-substituted benzaldehydes by catalytic copper center. We also deduced that free benzaldehyde has the right size, shape, and functionality to interact with catalytic copper center in the salan–Cu complex and could react with nitromethane completely. On the other hand, the salan(1)–Cu catalyzed Henry reaction of benzaldehyde resulted in excellent enantioselectivity (91% ee) and yield (95%). On the basis of these direct findings, we hypothesized that the rational application of aromatic interaction between salan/salen–metal complex and substrate could be applied to promote the Henry reaction of methyl-, methoxy-, and other aromatic aldehydes, which encouraged us to utility the benzaldehyde as a π-molecule to initiate the Henry reaction of various nonreactive aldehydes.

To gain direct experimental information about the benzaldehyde-assisted catalytic transformations of substituted aromatic aldehydes, our investigations then focused on the effect of benzaldehyde as an activator in the Henry reaction of nonreactive aromatic aldehydes that for the salan(1)–copper catalyst system. We chose 2-MeO-, 3-MeO-, 4-MeO-, 2-Me, and 4-Me-substituted aromatic aldehydes for the slan(1)–Cu catalyzed Henry reaction under the following reactions: 10 mol% of catalyst, in ethanol, at 10 °C for 48 hours. The benzaldehyde was used with different amounts with 5 mol%, 10 mol%, and 20 mol% to provide possible regular effect on the catalytic performance of salan–Cu system.

As shown in Table 1, the catalytic activity of copper-catalyzed Henry reactions was found to be improved dramatically by benzaldehyde. For example, in contrast to the catalytic Henry reaction of 2-methoxybenzaldehyde in the absence of benzaldehyde (Entry 1), the addition of 5 mol% of benzaldehyde accelerated the reaction to give the corresponding product in 69% of total yield (Entry 2). The major product is the Henry adduct with moderate enantiomeric excess (58% ee). When the amount of benzaldehyde was increased to 10 or 20 mol%, the benzaldehyde still had positive effect on the catalytic performance of salan–Cu, while the enantioselectivity of Henry reaction was decreased largely with the addition of benzaldehyde (Entries 3 and 4). Under the similar conditions for other aromatic aldehydes, such as 3-MeO-, 4-MeO-, 2-Me, and 4-Me-substituted aromatic aldehydes (Entries 5–20), same trend that the conversion was increased obviously when larger amount of benzaldehyde was used as additive (see Fig. S1 of ESI). Except 4-methoxybenzaldehyde, all the aldehydes evaluated in this table resulted in good to excellent conversion when 20 mol% of benzaldehyde was used as a promoter. Notably, for most of substrates provided in Table 1, the major products were nitroolefins 4 but not Henry adducts 3. Thus, these experimental results supported that the effect of benzaldehyde on the salan–Cu catalyzed Henry reaction was distinctive, which was generally concordant with our hypothesis. This idea was also supported by subsequent exploring of the effect of aromatic compounds on the model Henry reaction of 4-methylbenzaldehyde and nitromethane.

Table 1 The effect of benzaldehyde on the catalytic Henry reaction of Me- or MeO-substituted aromatic aldehydesa

image file: c4ra06056c-u1.tif

Entry R x (mol%) Yieldb (%) 3/4 eec (%)
a All reactions were performed on a 1 mmol scale with 10 mol% of Cu salt and 10 mol % of salan ligand (1) at a 0.5 M concentration using 10 equiv. of nitromethane in EtOH. Reactions were run at 10 °C in a screw-capped vial for 48 h.b The total yield of product 3 and 4.c Enantiomeric excess was determined by HPLC using chiral columns, and the absolute configuration of the major isomer was determined to be (R) by comparison with literature data.4
1 2-MeO 0 <5
2 2-MeO 5 69 64[thin space (1/6-em)]:[thin space (1/6-em)]5 58
3 2-MeO 10 58 46[thin space (1/6-em)]:[thin space (1/6-em)]12 11
4 2-MeO 20 88 53[thin space (1/6-em)]:[thin space (1/6-em)]35 5
5 3-MeO 0 <5
6 3-MeO 5 16 6[thin space (1/6-em)]:[thin space (1/6-em)]10
7 3-MeO 10 32 17[thin space (1/6-em)]:[thin space (1/6-em)]15
8 3-MeO 20 88 11[thin space (1/6-em)]:[thin space (1/6-em)]77
9 4-MeO 0 <5
10 4-MeO 5 <5
11 4-MeO 10 10 0[thin space (1/6-em)]:[thin space (1/6-em)]10
12 4-MeO 20 44 0[thin space (1/6-em)]:[thin space (1/6-em)]44
13 2-Me 0 <5
14 2-Me 5 27 27[thin space (1/6-em)]:[thin space (1/6-em)]0 59
15 2-Me 10 52 28[thin space (1/6-em)]:[thin space (1/6-em)]24 11
16 2-Me 20 >99 16[thin space (1/6-em)]:[thin space (1/6-em)]84
17 4-Me 0 <5
18 4-Me 5 30 9[thin space (1/6-em)]:[thin space (1/6-em)]21
19 4-Me 10 39 16[thin space (1/6-em)]:[thin space (1/6-em)]23
20 4-Me 20 >99 0[thin space (1/6-em)]:[thin space (1/6-em)]100


As revealed in Scheme 2 and Table 2, the Henry reaction proceeded without any problem with as little as 10 mol% of chlorobenzene (Entry 1), chalcone (Entry 4), 1-(2-nitrovinyl)benzene (Entry 5), and PhOH (Entry 7) containing one phenyl ring, giving the corresponding in good conversion. Functional groups on phenyl ring of aromatic additives, such as amines (Entries 8–10), acid (Entry 11), retarded the Henry reaction. Larger substituent on phenyl ring (for example, entry 6) was also make against the occurring of Henry addition of nitromethane to 4-methylbenzaldehyde. It should be noted that these aromatic compounds played different effect on the stereoselective Henry reaction of 4-methylbenzaldehyde led to 0–40% ee of product. It was proposed that such an experimental phenomenon driven by the unexpected force of aromatic interactions, thus it was provided sight into the crucial role of aromatic additive in both the transformations and enantioselectivity of Henry reaction of aromatic aldehydes.


image file: c4ra06056c-s2.tif
Scheme 2 The effect of aromatic compounds with or without functional groups on the salan–Cu-catalyzed Henry reaction (compound a-6, CCDC 1009555).
Table 2 The effect of aromatic compounds on the catalytic Henry reaction of substituted aromatic aldehydesa
Entry Additive (10 mol%) Yieldb (%) 3/4 eec/%
a All reactions were carried out at −10 °C in a screw-capped vial for 48 h.b The yield was determined by GC-MS, and the catalytic level was divided as good (>70% yield, H), moderate (40–70% yield, M), and poor (<40% yield, L).c Enantiomeric excess was determined by HPLC using chiral columns.
1 a1 83 83[thin space (1/6-em)]:[thin space (1/6-em)]0 20
2 a2 48 0[thin space (1/6-em)]:[thin space (1/6-em)]48
3 a3 53 28[thin space (1/6-em)]:[thin space (1/6-em)]25 0
4 a4 88 14[thin space (1/6-em)]:[thin space (1/6-em)]74
5 a5 75 19[thin space (1/6-em)]:[thin space (1/6-em)]56
6 a6 25 25[thin space (1/6-em)]:[thin space (1/6-em)]0 40
7 a7 70 22[thin space (1/6-em)]:[thin space (1/6-em)]48 5
8 a8 46 46[thin space (1/6-em)]:[thin space (1/6-em)]0 16
9 a9 20 20[thin space (1/6-em)]:[thin space (1/6-em)]0 44
10 a10 46 46[thin space (1/6-em)]:[thin space (1/6-em)]0 32
11 a11 <10 5[thin space (1/6-em)]:[thin space (1/6-em)]0


To highlight the specific of Ar-BINMOL-derived salan-1 prepared from (1S,2S)-cyclohexane-1,2-diamine and (S)-BINOL in the Henry reaction, another type of salan ligand that derived from 1,2-diphenylethane-1,2-diamine and (S)-BINOL was then designed and synthesized for the Henry reaction. Two different salan ligands (Ar-BINMOL-derived salan-2 and salan-3) with both axial and sp3 center chirality, were prepared from (1S,2S)-1,2-diphenylethane-1,2-diamine (DPEN) and (1R,2R)-1,2-diphenylethane-1,2-diamine respectively in high yields (Scheme 3, also see ESI). The catalytic activity of corresponding salan–copper complex, in situ obtained by the reaction of salan-2 or salan-3 with Cu(OAc)2, was investigated in the model Henry reaction of benzaldehyde and nitromethane. The chirality matching can be also evaluated in this case. As shown in Scheme 4, the Henry reaction of benzaldehyde was relatively slow as evidenced by low conversion and isolated yields in the presence of salan-2 or salan-3. Unexpectedly, the enantioselectivity of the addition product was quite low (33% ee for salan-2 and 17% ee for salan-3). We interpret these results as follows: whereas the lower activity found in the case of (S,S,R,R)-salan-2 could be explained on the basis of the enhanced steric hindrance of diphenyl groups of DPEN and dibenzyl groups on binaphthyl backbone, this argument cannot be applied to (R,R,R,R)-salan-3 because of different steric conformer of DPEN moiety. Rather, the poorer results in term of enantioselectivity and conversion afforded by latter ligand are due to the unfavorable chirality matching with different chiral sources. Notably, the enantioselectivity of present Henry reaction is mainly relay on the effect of chiral binaphthyl fragment because the use of DPEN with different stereogenic configuration did not lead to stereoselectivity reversal of corresponding product. Thus for this particular reaction, the combination use of (S)-BINOL derived backbone and (1S,2S)-cyclohexane-1,2-diamine as two fragments ensures better control of stereoselectivity, because both the steric and electronic features of the rigid salan ligand 1 are acting in a cooperative manner combined with metal coordination and weak non-covalent aromatic interactions.


image file: c4ra06056c-s3.tif
Scheme 3 The synthesis of salan ligand (salan-2 and salan-3) from (1S,2S)-1,2-diphenylethane-1,2-diamine (DPEN) and (1R,2R)-1,2-diphenylethane-1,2-diamine respectively.

image file: c4ra06056c-s4.tif
Scheme 4 DPEN-derived salan–Cu-catalyzed Henry reaction.

On the basis of above work, it is clear that the salan (1)–copper complex resulted in a quite narrow substrate scope because of its complicated and multifunctional structure similarly to the behaviour of enzyme. Thus we expected to develop a highly efficient and enantioselective Henry reaction by changing of copper center to other metal center coordinated with our Ar-BINMOL-derived salan or salen ligand. Although cobalt–salen complex has been extensively tested in various catalytic asymmetric reactions, only Yamada and Hong reported that cobalt–salen complex could be employed for the Henry reaction.15,16 For example, an important progress reported by Hong and coworkers,16 in which it was found that both the binuclear Co(II)–salen and self-assembled Co(III)–salen featured with hydrogen-bonding gave excellent enantioselectivity and yield. In their work, it should be noted that monomeric Co(II) or Co(III)–salen complex gave the Henry product in poor yield (<11%) and only 55–64% ee in this reaction. Thus inspired by previous studies on cobalt catalysis17 and salan–Cu-catalyzed Henry reaction, it was expected that Ar-BINMOL-derived salen ligand featured with rotatable π-wall could be effective ligand for Co-catalyzed Henry reaction. Herein, we want to continue to disclose our new findings on the highly enantioselective Henry reaction catalyzed by monomeric salen–Co(III) complex derived from Ar-BINMOL with π-wall.

Starting from commercially available (1S,2S)-cyclohexane-1,2-diamine or (1R,2R)-cyclohexane-1,2-diamine with chiral Ar-BINMOL that derived from (S)-BINOL or (R)-BINOL (Ar = Ph, p-Me-Ph, or p-tBu-Ph), a new type of chiral Ar-BINMOL-derived salen ligands (5a–e) could be synthesized in good overall yields (see ESI). We hypothesized that the Ar-BINMOL-derived salen bearing rotatable π-wall is a highly attractive ligand in the construction of cobalt-centered π-pocket for the recognition and activation of aromatic aldehyde in this Henry reaction. Initially, we evaluated the performance of Ar-BINMOL-derived salen (5a) in the asymmetric cobalt-catalyzed Henry reaction of 2-fluorobenzaldehyde with nitromethane (Scheme 5) because the 2-fluorobenzaldehyde led to low enantioselectivity in salan–Cu catalyst system (2-F, only 59% ee in Scheme 1, line 2).


image file: c4ra06056c-s5.tif
Scheme 5 Ar-BINMOL-derived salen–Co catalyzed Henry reaction of 2-fluorobenzaldehyde (2f) with nitromethane.

Table 3 summarizes the optimal results of the initial studies on solvent effect. The data clearly demonstrates the superiority of toluene as a solvent in term of yield and ee value (Entry 9) compared to other solvents (Entries 1–8). The reaction conditions were then further optimized with regard to base and counterion. As shown in Table 3, it was found that TEA, TMEDA, and K2CO3 were not effective base to activate nitromethane because of low conversion and inferior enantioselectivity in this reaction (Entries 11–14). In addition, no addition of organic base and the use of phosphine led to almost no reaction (Entries 10 and 13). The metal oxidation state of cobalt proved to be pivotal, and a Co(III)–salen complex with counterion is crucial to the reaction yield. Both Co(II)-based salen complex and Co(III)–salen complex with acetate (OAc) were found to be ineffective catalysts in this Henry reaction (Entries 15 and 16). Although anion of camphorsulfonate (CSA) gave good enantioselectivity (90% ee, Entry 17), trifluoromethanesulfonate (OTf) was still the best choose in term of yield and enantioselectivity. Interestingly, the further modification and application of Ar-BINMOL-derived salens (5b and 5c) was not successfully in this reaction (Entries 18 and 19), whereas the introduction of Me and t-Bu to benzyl motif of Ar-BINMOL-derived salen resulted in only 87% ee and 73% ee respectively (5b and 5c, Entries 18–19). Thus notably, under the optimized conditions, excellent enantioselectivity (97% or 98% ee) and good isolated yield (71–73%) were achieved in the reaction between nitromethane and 2-fluorobenzaldehyde (Entry 9 and Entry 20). However, it should be noted that the reaction time is different largely (12 h in toluene and 72 h in toluene–Et2O).

Table 3 Salen–Co-catalyzed Henry reaction of 2-fluorobenzaldehyde (2f): optimization of reaction conditionsa
Entry Salen X Base Sol. Yieldb (%) eec (%)
a Reaction conditions: 0.5 mmol of aldehyde, 10 eq. MeNO2, 5 mol% of salen–Co catalyst, 1.0 eq. of DIPEA. And the reaction time is 12 hours except special note.b Isolated yields.c The ee value was determined by HPLC with chiral column and the absolute configuration of 3f was S-isomer except additional notes (see ESI).d The yield is very poor (<5%) or almost no product was detected, thus the ee value of trace product was not determined.e PhMe[thin space (1/6-em)]:[thin space (1/6-em)]Et2O is 2[thin space (1/6-em)]:[thin space (1/6-em)]1.f The reaction time is 72 h.g The absolute configuration of 3f was R-isomer.
1 5a OTf DIPEA DCM 80 87
2 5a OTf DIPEA Et2O 45 50
3 5a OTf DIPEA THF 36 88
4 5a OTf DIPEA PhCl 80 67
5 5a OTf DIPEA PhI 83 57
6 5a OTf DIPEA MeOH 40 14
7 5a OTf DIPEA EtOH 50 50
8 5a OTf DIPEA DCE 58 41
9 5a OTf DIPEA PhMe 73 97
10 5a OTf PhMe <5 d
11 5a OTf TEA PhMe 35 68
12 5a OTf TMEDA PhMe 80 81
13 5a OTf PPh3 PhMe <5 d
14 5a OTf K2CO3 PhMe 75 22
15 5a DIPEA PhMe <5 d
16 5a OAc DIPEA PhMe <5 d
17 5a CSA DIPEA PhMe 53 90
18 5b OTf DIPEA PhMe 66 87
19 5c OTf DIPEA PhMe 40 73
20e,f 5a OTf DIPEA PhMe/Et2O 71 98
21e,f 5d OTf DIPEA PhMe/Et2O 47 59
22e,f,g 5e OTf DIPEA PhMe/Et2O 70 −89


Notably and interestingly, (R,R,R,R)-salen–Co(III) (5d) and (S,S,R,R)-salen–Co(III) (5e) derived from (S)-BINOL-derived aldedyde with (R,R)-cyclohexane-1,2-diamine or (S,S)-cyclohexane-1,2-diamine respectively exhibited inferior activity in both catalytic activity and enantiomeric induction, being incapable of achieving good yield and high enantioselectivity even with 72 hours (only 59% ee and reversed absolute configuration of 89% ee respectively, Entries 21 and 22). This result showed that the stereochemistry of Ar-BINMOL backbone play crucial role in this salen–Co(III)-catalyzed Henry addition of nitromethane to aromatic aldehydes. Thus, the mismatching between different chiral sources, C2-axial binaphthol or Ar-BINMOL and sp3 central chiral phosphine, revealed that the geometric orientation of BINOL-derived cyclohexane-1,2-diamine was crucial to the enantioselective induction in this nitroaldol reaction.18

The (R,R,S,S)-salen (5a)–Co(III) catalyst was then applied to enantioselective Henry reactions of various aldehydes with nitromethane (Scheme 6). As shown in Scheme 6, the scope of the catalytic enantioselectivity in this Henry reactions was demonstrated by treatment of various aromatic aldehydes in the presence of 5 mol% of (R,R,S,S)-salen–Co(III) and 1 eq. DIPEA (N,N-diisopropylethylamine) at −20 °C for 12 h. In most of cases, the Henry reactions of various aromatic aldehydes were clean and proceeded in good yields with excellent enantioselectivities. It should be also noted that there are several interesting findings from these reaction results: (1) most of aromatic aldehydes led to good yields and enantioselectivities. It is clear that better yields and ees are recorded for substrates functionalized in the 2-position. And interestingly, aromatic aldehydes bearing electron-donating groups (such as OMe) and electron-withdrawing groups (such as NO2) at 3-position of aromatic ring also led to the same level of good yields and enantioselectivity. For example, 3-methoxybenzaldehyde could give the desired product in 92% ee, while 3-nitrobenzaldehyde (2p) resulted in 95% ee. However, the enantioselectivity in the Henry reaction of 2-nitrobenzaldehyde (2o) and 4-nitrobenzaldehyde (2q) was decreased largely to only 70–78% ee, which showed the electronic effect of substrate is obviously for aromatic aldehydes with strong electron-withdrawing group. In other words, the enantioseletive induction of Ar-BINMOL-derived salen–Co(III) was not good for aromatic aldehydes with strong electron-withdrawing group because of weak coordination and aromatic interaction between salen–Co(III) and electron-defect substrate (2o or 2q). (2) The position of substituent was proved to be sensitive and pivotal, in which the ortho-substituted groups significantly improved the reaction yield enantioselectivity. For example, fluorine-substituted benzaldehyde, the decreased order of enantioselective induction is 2-F > 3-F > 4-F. And similarly, for bromobenzaldehyde and methoxybenzaldehyde, the Henry reaction of ortho-substituted benzaldehyde led to better enantioselectivity and yield than that of meta- or para-substituted benzaldehyde correspondingly. These reaction results suggest that the selective recognition to ortho-substituted benzaldehydes is ascribe to the difference in the molecular size of aromatic aldehydes and possible aromatic-aromatic interaction between the phenyl rings of Ar-BINMOL-derived salen–Co(III) and the aromatic ring of aldehydes. Except 3-phenylpropanal (2t), the salen–Co(III) complex showed a significantly decreased activity in the Henry reaction of aliphatic aldehyde. Almost no yield and enantioselectivity was observed for cyclohexanecarbaldehyde (<5% yield). Similarly to previous report on salan–Cu(II)-catalyzed Henry reaction, these reaction results probably show acceleration of the Henry reaction by ortho-substituent-mediated weak coordination and π–π interaction between salen–Co(III) catalyst and aromatic aldehydes. Thus we examined the ability of the salen–Co(III) to discriminate aromatic aldehydes in a competitive reaction of 2-fluorobenzaldehyde and cyclohexanecarbaldehyde. In this case, the salen–Co(III) did more selectively catalyze the Henry reaction of 2-fluorobenzaldehyde than that of cyclohexanecarbaldehyde. The nitroaldol addition of nitromethane to cyclohexanecarbaldehyde was almost not occurred under this reaction conditions (<5% yield).


image file: c4ra06056c-s6.tif
Scheme 6 Ar-BINMOL-derived salen–Co(III)-catalyzed Henry reactions.

Thus in our case, the experimental results showed the Henry reaction was an ideal model reaction for distinguishing ortho-substituted aromatic aldehydes from meta- or para-substituted benzaldehydes (Fig. S2, see ESI). To obtain a better understanding of the unusual reactivity of aromatic aldehydes in this salen–Co(III)-catalyzed Henry reaction, theoretical calculations were performed using Gaussian 09 suite of programs.19 The HOMO and LUMO data of o-fluorobenzaldehyde, m-fluorobenzaldehyde, and p-fluorobenzaldehyde are shown in Fig. 1 (also see ESI). It is noteworthy that the general electrophilic activity of fluoro-substituted benzaldehydes with theoretical calculation would be different from that of experimental results (2-F> 3-F > 4-F).


image file: c4ra06056c-f1.tif
Fig. 1 The comparison of enantioselectivities and yields in the salen–Co (1a) catalyzed Henry reaction of F- or Br-substituted aromatic aldehydes.

Thus according to the specifically crowded structure of the present salen–Co(III) complex, the π-wall of phenyl substituent on salen ligand significantly influenced the weak coordination and aromatic π–π stacking interaction between salen–Co(III) complex and aldehydes, and the desired reaction environment can be affected by the rotatable π-wall to give optimal reaction model with high stereoselectivity. On the basis of present experimental results, a proposed transition state for the salen–Co(5a)-catalyzed Henry reaction as depicted in Fig. 2 may be envisioned, which could account for the observations.


image file: c4ra06056c-f2.tif
Fig. 2 Assumed transition state for the nanoscale salen–Co(III)-catalyzed Henry reaction.

For modelling purposes, the structure of o-fluorobenzaldehyde and (R,R,S,S)-salen (5a)–Co(III) catalyst were considered for the modular construction of transition state for the salen–Co(III)-catalyzed Henry reaction. As shown in Fig. S3 (see ESI), the optimized structure of the most reasonable catalyst–substructure complexes was provided on the basis of experimental results (Fig. 2). Because of asymmetric character of the Ar-BINMOL-derived backbone and substrate, the coordination of oxygen of aldehyde with cobalt center was impacted largely by two different naphthyl rings of salen ligand, therefore the orientations of o-fluorobenzaldehyde can occur within the catalyst–substrate complex, leading to highly enantioselective Henry addition. In other words, one of the naphthyl ring of salen ligand could also discriminate different molecular interaction between substituted-benzaldehyde and (R,R,S,S)-salen (5a)–Co(III) catalyst for the steric repulsion of naphthyl group: the aromatic interaction as well as coordination between catalyst and fluorobenzaldehyde could be weakened with the order of o-F > m-F > p-F substituted aldehyde, which is inconsistent with that of reaction results. Also notably, the nanoscale Ar-BINMOL-derived salen–Co(III) with rotatable π-wall is totally different from simple salen–Co(III) complex in shape, volume, and chirality, thus resulting in the larger difference in their activity and selectivity for Henry reaction.20

Conclusions

In summary, it was found firstly that the benzaldehyde or similar aromatic compounds could work as a π-molecule to enhance the catalytic activity of nanoscale Ar-BINMOL-derived salan(1)–Cu to initiate the Henry reaction of various nonreactive aldehydes, which led to the determination of aromatic interactions enhanced salan(1)–Cu-catalyzed Henry reaction of nonreactive aldehydes, and thus provided a indirect experimental evidence in the aromatic additive initiated enantioselective reaction. More importantly in this work, a new type of chiral salen–Co catalyst that features aromatic π-wall and active Co(III) center has been developed for highly enantioselective Henry/nitroaldol reactions. The asymmetric Henry reaction of aromatic aldehydes and nitromethane catalyzed by Ar-BINMOL-derived salen (5a)–Co(III) complex was achieved with high yields (up to 99%) and excellent enantioselectivities (up to 98% ee). And more interestingly, it was supposed that the salen–Co(III) complex-catalyzed Henry reaction was an ideal model reaction for providing direct evidence of noncovalent interaction due to the distinguishing ortho-substituted aromatic aldehydes from meta- or para-substituted benzaldehydes in term of enantioselectivities and yields. We believed that the attractive noncovalent interactions of aromatic rings with other groups can influence and control the stereoselectivity of various catalytic transformations. Further efforts will be devoted to apply such salen–Co(III) complex with chiral π-wall to noncovalent interaction-oriented asymmetric catalysis and enantioselective synthesis of functional organic molecules.

Experimental section

General

All reagents and solvents were used directly without purification. Flash column chromatography was performed over silica (200–300 mesh). Reactions were monitored by thin layer chromatography using silica gel. 1H NMR and 13C NMR (500 and 125 MHz, respectively) spectra were recorded in CDCl3, 1H NMR chemical shifts are reported in ppm relative to tetramethylsilane (TMS) with the solvent resonance employed as the internal standard (CDCl3 at 7.26 ppm, (CD3)2CO at 2.05 ppm). 13C NMR chemical shifts are reported in ppm from tetramethyl silane (TMS) with the solvent resonance as the internal standard (CDCl3 at 77.20 ppm). Thin layer chromatography was performed using silica gel; F254 TLC plates and visualized with ultraviolet light. HPLC was carried out with a Waters 2695 Millennium system equipped with a photodiode array detector. The ESI-MS analysis of the samples was operated on an LCQ advantage mass spectrometer (ThermoFisher Company, USA), equipped with an ESI ion source in the positive ionization mode, with data acquisition using the Xcalibur software (Version 1.4).

General procedure for the asymmetric salen–Co(III)-catalyzed Henry reaction

To a screw cap vial containing a stir bar, cobalt complex (26.5 mg, 0.025 mmol, 5% mmol) was added. And then 2 mL toluene, 2-fluorobenzaldehyde (53 μL, 0.5 mmol), and DIPEA (83 μL, 0.5 mmol) was added to the vial. The reaction mixture was cooled down to −20 °C, and then CH3NO2 (0.27 mL, 5 mmol) was added. The mixture was continued to stir at −20 °C for 12 h. The reaction mixture was purified by flash column chromatography on silica gel (n-hexane/EtOAc = 10/1) to give the nitroaldol adduct as a colorless oil. All these molecules have been confirmed by NMR, IR, and GC-MS or HRMS. The detailed experimental procedures and characteristics of corresponding products were provided in Supporting Information.

Acknowledgements

Financial support by the National Natural Science Foundation of China (NSFC Grant no. 21173064 and 51203037), Zhejiang Provincial Natural Science Foundation of China (LR14B030001), and Program for Excellent Young Teachers in Hangzhou Normal University (HNUEYT, JTAS 2011-01-014) is appreciated. XLW also thank Prof. Chun-Gu Xia (Lanzhou Institute of Chemical Physics, Chinese Academy of Sciences) and Prof. Yixin Lu (National University of Singapore) for their help.

Notes and references

  1. (a) The Nitro Group in Organic Synthesis, ed. N. Ono, Wiley-VCH, Weinheim, 2001 Search PubMed; (b) M. Shibasaki and H. Gröger, in Comprehensive Asymmetric Catalysis, ed. E. N. Jacobsen, A. Pfaltz and H. Yamamoto, Springer, Berlin, 1999, vol. III, p. 1075 Search PubMed; (c) M. Shibasaki, H. Gröger and M. Kanai, in Comprehensive Asymmetric Catalysis Supplement 1, ed. E. N. Jacobsen, A. Pfaltz and H. Yamamoto, Springer, Heidelberg, 2004, p. 131 Search PubMed; (d) G. Rosini, in Comprehensive Organic Synthesis, ed. B. M. Trost, I. Fleming and C. H. Heathcock, Pergamon Press, New York, 1991, vol. 2, pp. 321–340 Search PubMed; (e) F. A. Luzzio, Tetrahedron, 2001, 57, 915 CrossRef CAS; (f) C. Palomo, M. Oiarbide and A. Mielgo, Angew. Chem., Int. Ed., 2004, 43, 5442 CrossRef CAS PubMed; (g) J. Boruwa, N. Gogoi, P. P. Saikia and N. C. Barua, Tetrahedron: Asymmetry, 2006, 17, 3315 CrossRef CAS PubMed; (h) C. Palomo, M. Oiarbide and A. Laso, Eur. J. Org. Chem., 2007, 2561 CrossRef CAS PubMed; (i) K. K. Sharma, A. V. Biradar and T. Asefa, ChemCatChem, 2010, 2, 61 CrossRef CAS PubMed.
  2. H. Sasai, T. Suzuki, S. Arai, T. Arai and M. Shibasaki, J. Am. Chem. Soc., 1992, 114, 4418 CrossRef CAS.
  3. Selected reviews: (a) M. S. Holzwarth and B. Plietker, ChemCatChem, 2013, 5, 1650 CrossRef CAS PubMed; (b) X. F. Wu and H. Neumann, Adv. Synth. Catal., 2012, 354, 3141 CrossRef CAS PubMed; (c) E. Marques-Lopez, P. Merino, T. Tejero and R. P. Herrera, Eur. J. Org. Chem., 2009, 2401 CrossRef CAS PubMed; (d) C. Palomo, M. Oiarbide and A. Laso, Eur. J. Org. Chem., 2007, 2561 CrossRef CAS PubMed.
  4. For selected examples, see: (a) T. Ooi, K. Doda and K. Maruoka, J. Am. Chem. Soc., 2003, 125, 2054 CrossRef CAS PubMed; (b) B. M. Choudary, K. V. S. Ranganath, U. Pal, M. L. Kantam and B. Sreedhar, J. Am. Chem. Soc., 2005, 127, 13167 CrossRef CAS PubMed; (c) T. Arai, M. Watanabe, A. Fujiwara, N. Yokoyama and A. Yanagisawa, Angew. Chem., Int. Ed., 2006, 45, 5978 CrossRef CAS PubMed; (d) M. Bandini, F. Piccinelli, S. Tommasi, A. Umani-Ronchi and C. Ventrici, Chem. Commun., 2007, 616 RSC; (e) Y. Xiong, F. Wang, X. Huang, Y. Wen and X. Feng, Chem.–Eur. J., 2007, 13, 829 CrossRef CAS PubMed; (f) N. Sanjeevakumar and M. Periasamy, Tetrahedron: Asymmetry, 2009, 20, 1824 CrossRef PubMed; (g) W. Jin, X. Li, Y. Huang, F. Wu and B. Wan, Chem.–Eur. J., 2010, 16, 8259 CrossRef CAS PubMed; (h) K. Kodama, K. Sugawara and T. Hirose, Chem.–Eur. J., 2011, 17, 13584 CrossRef CAS PubMed; (i) B. V. S. Reddy and J. George, Tetrahedron: Asymmetry, 2011, 22, 1169 CrossRef PubMed; (j) G. Lai, F. Guo, Y. Zheng, Y. Fang, H. Song, K. Xu, S. Wang, Z. Zha and Z. Wang, Chem.–Eur. J., 2011, 17, 1114 CrossRef CAS PubMed; (k) S. Milner, T. S. Thomas and A. R. Maguire, Eur. J. Org. Chem., 2012, 3059 CrossRef CAS PubMed; (l) K. Xu, G. Y. Lai, Z. G. Zha, S. S. Pan, H. W. Chen and Z. Y. Wang, Chem.–Eur. J., 2012, 18, 12357 CrossRef CAS PubMed; (m) R. Boobalan, G. H. Lee and C. P. Chen, Adv. Synth. Catal., 2012, 354, 2511 CAS; (n) D. D. Qin, W. H. Lai, D. Hu, Z. Chen, A. A. Wu, Y. P. Ruan, Z. H. Zhou and H. B. Chen, Chem.–Eur. J., 2012, 18, 10515 CrossRef CAS PubMed; (o) T. Nitabaru, N. Kumagai and M. Shibasaki, Angew. Chem., Int. Ed., 2012, 51, 1644 CrossRef CAS PubMed; (p) H. Li, X. Zhang, X. Shi, N. Ji, W. He, S. Y. Zhang and B. L. Zhang, Adv. Synth. Catal., 2012, 354, 2264 CrossRef CAS PubMed; (q) D. D. Qin, W. Yu, J. D. Zhou, Y. C. Zhang, Y. P. Ruan and Z. H. Zhou, Chem.–Eur. J., 2013, 19, 16541 CrossRef CAS PubMed; (r) S. Kitagaki, T. Ueda and C. Mukai, Chem. Commun., 2013, 49, 4030 RSC; (s) H. X. He, W. Yang and D. M. Du, Adv. Synth. Catal., 2013, 355, 1137 CrossRef CAS PubMed.
  5. (a) B. M. Trost and V. S. C. Yeh, Angew. Chem., Int. Ed., 2002, 41, 861 CrossRef CAS; (b) B. M. Trost, V. S. C. Yeh, H. Ito and N. Bremeyer, Org. Lett., 2002, 4, 2621 CrossRef CAS PubMed; (c) B. M. Trost and D. W. Lupton, Org. Lett., 2007, 9, 2023 CrossRef CAS PubMed.
  6. D. A. Evans, D. Seidel, M. Rueping, H. W. Lam, J. T. Shaw and C. W. Downey, J. Am. Chem. Soc., 2003, 125, 12692 CrossRef CAS PubMed.
  7. For selected examples, see: (a) E. Wolinska, Tetrahedron, 2013, 69, 7269 CrossRef CAS PubMed; (b) A. Aydin and S. Yuksekdanaci, Tetrahedron: Asymmetry, 2013, 24, 14 CrossRef PubMed; (c) B. Angluo, J. I. García, C. I. Herrerias, J. A. Mayoral and A. C. Miñana, J. Org. Chem., 2012, 77, 5525 CrossRef PubMed; (d) B. Zheng, M. Wang, Z. Li, Q. Bian, J. Mao, S. Li, S. Liu, M. Wang, J. Zhong and H. Guo, Tetrahedron: Asymmetry, 2011, 22, 1156 CrossRef CAS PubMed; (e) D. Uraguchi, S. Nakamura and T. Ooi, Angew. Chem., Int. Ed., 2010, 49, 7562 CrossRef CAS PubMed.
  8. Selected books and examples: (a) J. M. Lehn, Supramolecular Chemistry: Concepts and Perspectives, VCH, Weinheim, 1995 Search PubMed; (b) R. E. Gillard, F. M. Raymo and J. F. Stoddart, Chem.–Eur. J., 1997, 3, 1933 CrossRef CAS PubMed; (c) K. M. Guckian, B. A. Schweitzer, R. X. F. Ren, C. J. Sheils, D. C. Tahmassebi and E. T. Kool, J. Am. Chem. Soc., 2000, 122, 2213 CrossRef CAS PubMed; (d) E. A. Meyer, R. K. Castellano and F. Diederich, Angew. Chem., Int. Ed., 2003, 42, 1210 CrossRef CAS PubMed; (e) M. L. Waters, Biopolym. Pept. Sci., 2004, 76, 435 CrossRef CAS PubMed; (f) A. Sygula, F. R. Fronczek, R. Sygula, P. W. Rabideau and M. M. Olmstead, J. Am. Chem. Soc., 2007, 129, 3842 CrossRef CAS PubMed; (g) J. Meeuwissen and J. N. H. Reek, Nat. Chem., 2010, 2, 615 CrossRef CAS PubMed; (h) P. J. Deuss, R. den Heeten, W. Laan and P. C. J. Kamer, Chem.–Eur. J., 2011, 17, 4680 CrossRef CAS PubMed; (i) J. L. Kellie, L. Navarro-Whyte, M. T. Carvey and S. D. Wetmore, J. Phys. Chem. B, 2012, 116, 2622 CrossRef CAS PubMed , and references cited therein.
  9. Selected examples: (a) E. J. Corey and M. C. Noe, J. Am. Chem. Soc., 1996, 118, 11038 CrossRef CAS; (b) J. A. Gladysz and B. J. Boone, Angew. Chem., Int. Ed., 1997, 36, 566 CrossRef PubMed; (c) M. Yamakawa, I. Yamada and R. Noyori, Angew. Chem., Int. Ed., 2001, 40, 2818 CrossRef CAS; (d) G. Ujaque, P. S. Lee, K. N. Houk, M. F. Hentemann and S. J. Danishefsky, Chem.–Eur. J., 2002, 8, 3423 CrossRef CAS; (e) R. van de Coevering, A. P. Alfers, J. D. Meeldijk, E. Martínez-Viviente, P. S. Pregosin, R. J. M. K. Gebbink and G. van Koten, J. Am. Chem. Soc., 2006, 128, 12700 CrossRef CAS PubMed; (f) T. Murase, S. Horiuchi and M. Fujita, J. Am. Chem. Soc., 2010, 132, 2866 CrossRef CAS PubMed; (g) R. R. Knowles and E. N. Jacobsen, Proc. Natl. Acad. Sci. U. S. A., 2010, 107, 20678 CrossRef CAS PubMed; (h) P. R. Schreiner, L. V. Chernish, P. A. Gunchenko, E. Y. Tikhonchuk, H. Hausmann, M. Serafin, S. Schlecht, J. E. P. Dahl, R. M. K. Carlson and A. A. Fokin, Nature, 2011, 477, 308 CrossRef CAS PubMed; (i) S. Horiuchi, T. Murase and M. Fujita, J. Am. Chem. Soc., 2011, 133, 12445 CrossRef CAS PubMed; (j) H. Nakajima, M. Yasuda, R. Takeda and A. Baba, Angew. Chem., Int. Ed., 2012, 51, 3867 CrossRef CAS PubMed.
  10. Selected book and reviews: (a) M. Nishio, M. Hirota and Y. Umezawa, The CH/π Interactions: Evidence, Nature, and Consequences, Wiley-VCH, New York, 1998 Search PubMed; (b) G. B. Jones, Tetrahedron, 2001, 57, 7999 CrossRef CAS; (c) M. Nishio, Tetrahedron, 2005, 61, 6923 CrossRef CAS PubMed.
  11. (a) E. H. Krenske and K. N. Houk, Acc. Chem. Res., 2013, 46, 979 CrossRef CAS PubMed , and references cited therein; (b) Q. Zhao, Y. H. Lam, M. Kheirabadi, C. Xu, K. N. Houk and C. E. Schafmeister, J. Org. Chem., 2012, 77, 4784 CrossRef CAS PubMed; (c) R. R. Knowles and E. N. Jacobsen, Proc. Natl. Acad. Sci. U. S. A., 2012, 107, 20678 CrossRef PubMed; (d) C. Uyeda and E. N. Jacobsen, J. Am. Chem. Soc., 2011, 133, 5062 CrossRef CAS PubMed; (e) S. Lin and E. N. Jacobsen, Nat. Chem., 2012, 4, 817 CrossRef CAS PubMed.
  12. (a) M. Bandini and M. Tragni, Org. Biomol. Chem., 2009, 7, 1501 RSC; (b) L. Kürtl, M. M. Blewett and E. J. Corey, Org. Lett., 2009, 11, 45925 Search PubMed; (c) S. E. Wheeler, A. J. McNeil, P. Müller, T. M. Swager and K. N. Houk, J. Am. Chem. Soc., 2010, 132, 3304 CrossRef CAS PubMed; (d) C. Uyeda and E. N. Jacobsen, J. Am. Chem. Soc., 2011, 133, 5062 CrossRef CAS PubMed; (e) C. F. R. A. C. Lima, M. A. A. Rocha, L. R. Gomes, J. N. Low, A. M. S. Silva and L. M. N. B. F. Santos, Chem.–Eur. J., 2012, 18, 8934 CrossRef CAS PubMed; (f) H. Lv, J. H. Zhan, Y. B. Cai, Y. Yu, B. Wang and J. L. Zhang, J. Am. Chem. Soc., 2012, 134, 16216 CrossRef CAS PubMed.
  13. (a) G. Gao, F. L. Gu, J. X. Jiang, K. Jiang, C. Q. Sheng, G. Q. Lai and L. W. Xu, Chem.–Eur. J., 2011, 17, 2698 CrossRef CAS PubMed; (b) L. S. Zheng, K. Z. Jiang, Y. Deng, X. F. Bai, G. Gao, F. L. Gu and L. W. Xu, Eur. J. Org. Chem., 2013, 748 CrossRef CAS PubMed; (c) L. S. Zheng, L. Li, K. F. Yang, Z. J. Zheng, X. Q. Xiao and L. W. Xu, Tetrahedron, 2013, 69, 8777 CrossRef CAS PubMed; (d) T. Song, L. S. Zheng, F. Ye, W. H. Deng, Y. L. Wei, K. Z. Jiang and L. W. Xu, Adv. Synth. Catal., 2014, 356, 1708 CrossRef CAS PubMed.
  14. (a) F. Li, Z. J. Zheng, J. Y. Shang, K. Z. Jiang, G. Q. Lai, J. X. Jiang and L. W. Xu, Chem.–Asian J., 2012, 7, 2008 CrossRef CAS PubMed; (b) F. Li, L. Li, W. Yang, L. S. Zheng, Z. J. Zheng, K. Jiang, Y. Lu and L. W. Xu, Tetrahedron Lett., 2013, 54, 1584 CrossRef CAS PubMed.
  15. Co(ii)–salen complex: (a) Y. Kogami, T. Nakajima, T. Ikeno and T. Yamada, Synthesis, 2004, 1947 CAS; (b) F. Ibrahim, N. Jaber, V. Guérineau, A. Hachem, G. Ibrahim, M. Mellah and E. Schulz, Tetrahedron: Asymmetry, 2013, 24, 1395 CrossRef CAS PubMed; (c) Ketoiminatocobalt complexes: Y. Kogami, T. Nakajima, T. Ashizawa, T. Ikeno and T. Yamada, Chem. Lett., 2004, 33, 614 CrossRef CAS.
  16. (a) J. Park, K. Lang, K. A. Abboud and S. Hong, J. Am. Chem. Soc., 2008, 130, 16484 CrossRef CAS PubMed; (b) K. Lang, J. Park and S. Hong, Angew. Chem., Int. Ed., 2012, 51, 1620 CrossRef CAS PubMed.
  17. H. Pellissier and H. Clavier, Chem. Rev., 2014, 114, 2775 CrossRef CAS PubMed.
  18. For chiral ligands with multistereogenic centers, the chirality matching is very important in various reactions, see recent examples: (a) F. Ye, Z. J. Zheng, W. H. Deng, L. S. Zheng, Y. Deng, C. G. Xia and L. W. Xu, Chem.–Asian. J., 2013, 8, 2242 CrossRef CAS PubMed; (b) M. Kumar, R. I. Kureshy, D. Ghosh, N. U. H. Khan, S. H. R. Abdi and H. C. Bajaj, ChemCatChem, 2013, 5, 2336 CrossRef CAS PubMed; (c) F. Ye, Z. J. Zheng, L. Li, K. F. Yang, C. G. Xia and L. W. Xu, Chem.–Eur. J., 2013, 19, 14452 Search PubMed.
  19. M. J. Frisch, et al., Gaussian 09, Revision C. 01, Gaussian, Wallingford, 2010 Search PubMed.
  20. Zecchina and coworkers have ever described selective catalysis and nanoscience were an inseparble pair, in which many enzyme-like artificial catalysts displaying high activity and selectivity were nanomachines and tunable complex with nanometric dimensions. About the concept, see: A. Zecchina, E. Groppo and S. Bordiga, Chem.–Eur. J., 2007, 13, 2440 CrossRef CAS PubMed.

Footnotes

Electronic supplementary information (ESI) available. CCDC 1009555. For ESI and crystallographic data in CIF or other electronic format see DOI: 10.1039/c4ra06056c
Mr Y. L. Wei and Dr K. F. Yang contributed equally to this work (co-first authors).

This journal is © The Royal Society of Chemistry 2014
Click here to see how this site uses Cookies. View our privacy policy here.