Issue 51, 2014

Redox properties of LDH microcrystals coated with a catechol-bearing phosphonate derived from dopamine

Abstract

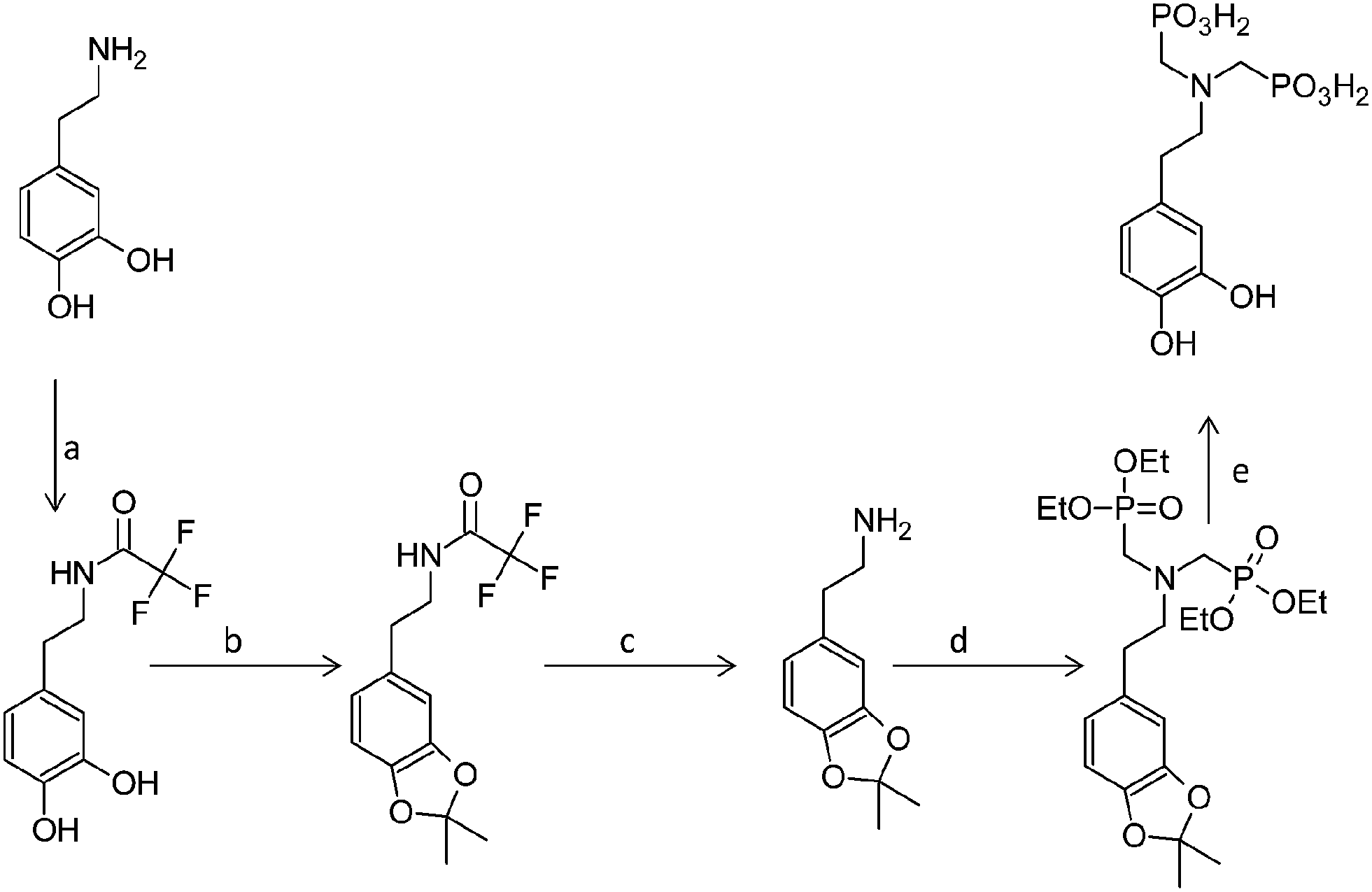
The surface of Zn–Al-chloride LDH microcrystals (LDH = Layered Double Hydroxides) was activated by grafting a redox active catechol bearing bis-phosphonate obtained by dopamine derivatization. The obtained phosphonate uniformly coats the LDH crystals surface and the catechol groups are exposed. The redox activity of the catechol was employed for the quick and easy synthesis of Gold NPs, which are supported onto the LDH microcrystal surface. The synthetic procedures and the complete characterization of the hybrid system are reported.

Graphical abstract: Redox properties of LDH microcrystals coated with a catechol-bearing phosphonate derived from dopamine

Supplementary files

Article information

Article type
Paper
Submitted
22 Apr 2014
Accepted
10 Jun 2014
First published
11 Jun 2014

RSC Adv., 2014,4, 26912-26917

Author version available

Redox properties of LDH microcrystals coated with a catechol-bearing phosphonate derived from dopamine

M. de Victoria Rodríguez, E. Brunet, M. Nocchetti, F. Presciutti and F. Costantino, RSC Adv., 2014, 4, 26912 DOI: 10.1039/C4RA03660C

To request permission to reproduce material from this article, please go to the Copyright Clearance Center request page.

If you are an author contributing to an RSC publication, you do not need to request permission provided correct acknowledgement is given.

If you are the author of this article, you do not need to request permission to reproduce figures and diagrams provided correct acknowledgement is given. If you want to reproduce the whole article in a third-party publication (excluding your thesis/dissertation for which permission is not required) please go to the Copyright Clearance Center request page.

Read more about how to correctly acknowledge RSC content.

Social activity

Spotlight

Advertisements