Tom Lindfors*ab, 
Zhanna A. Boevaac and 
Rose-Marie Latonena
aÅbo Akademi University, Process Chemistry Centre, Department of Chemical Engineering, Laboratory of Analytical Chemistry, Biskopsgatan 8, FIN-20500 Turku, Finland. E-mail: Tom.Lindfors@abo.fi;   Tel: +358 2 2154419
bAcademy of Finland, Helsinki, Finland
cM.V. Lomonosov Moscow State University, Chemistry Department, Polymer Division, Leninskie gory 1, build. 3, Moscow, Russian Federation
First published on 28th May 2014
We report here the one-step electrochemical synthesis of poly(3,4-ethylenedioxythiophene) (PEDOT) in an aqueous dispersion of reduced graphene oxide (rGO). The electrochemical polymerization is carried out at 1.05 V in aqueous media in the presence of 10−2 M 3,4-ethylenedioxythiophene and 1 g L−1 rGO. Unlike composites of PEDOT and graphene oxide or poly(styrene sulfonate) which have rather smooth and non-porous surface morphologies, the scanning electron microscopy images reveal that the PEDOT composite films obtained in this work have uniformly porous and open surface morphology. X-ray photoelectron spectroscopy (XPS) showed that rGO had initially a low concentration of oxygen-containing surface groups (C![[thin space (1/6-em)]](https://www.rsc.org/images/entities/char_2009.gif) :
:![[thin space (1/6-em)]](https://www.rsc.org/images/entities/char_2009.gif) O ratio = 6.5), but both FTIR spectroscopy and XPS showed that the electropolymerization resulted in the formation of OH groups in the composite film. Characterization with cyclic voltammetry and electrochemical impedance spectroscopy demonstrates that the composite films behave almost like ideal capacitors having an areal capacitance of 12.2 mF cm−2. The composite films had a very good potential cycling stability in 0.1 M KCl with only 12.4% degradation of the capacitance in a three-electrode cell after 3000 cycles between −0.5 and 0.5 V. The degradation was higher (32.8%) in the broader potential range of −0.8 and 0.7 V.
O ratio = 6.5), but both FTIR spectroscopy and XPS showed that the electropolymerization resulted in the formation of OH groups in the composite film. Characterization with cyclic voltammetry and electrochemical impedance spectroscopy demonstrates that the composite films behave almost like ideal capacitors having an areal capacitance of 12.2 mF cm−2. The composite films had a very good potential cycling stability in 0.1 M KCl with only 12.4% degradation of the capacitance in a three-electrode cell after 3000 cycles between −0.5 and 0.5 V. The degradation was higher (32.8%) in the broader potential range of −0.8 and 0.7 V.
Composite materials of electrically conducting polymers (ECP) and graphene or rGO have a synergetic effect which improves, for example, the capacitance of the composite materials compared to the ECPs and graphene or rGO alone.13 In the ECP–graphene and ECP–rGO composites, the graphene and rGO which are electrical double layer capacitors add mechanical strength to the ECP matrix and increase its electrical conductivity while the ECPs are redox capacitors (pseudocapacitors) improving the relatively low capacitance of graphene and rGO. This synergetic effect was reflected in the high capacitance of 1126 F g−1 obtained for the PANI–rGO composite,14 in comparison to the much lower capacitance of the graphene ultracapacitors, 135 F g−1,15 and polyaniline (PANI) with a nanowire structure, 724 F g−1.16 It was also recently shown that the electrochemical reduction of PANI–GO to PANI–rGO improved the electroactivity with 30% and increased the areal capacitance with 15% from 67 mF cm−2 to 77 mF cm−2.13 Moreover, the PANI–GO composite film had an outstanding potential cycling stability in 0.1 M KCl for 10![[thin space (1/6-em)]](https://www.rsc.org/images/entities/char_2009.gif) 000 cycles between −0.5 to 0.5 V with no degradation of the anodic charge showing the beneficial effect of incorporating GO in the ECP matrix.
000 cycles between −0.5 to 0.5 V with no degradation of the anodic charge showing the beneficial effect of incorporating GO in the ECP matrix.
Among the ECPs, the poly(3,4-ethylenedioxythiophene) (PEDOT) has a very good environmental stability. It is difficult to reduce PEDOT to its electrically non-conducting form and it retains its electrical conductivity in a relatively wide potential window (ca. 1.0 V). Especially in supercapacitors, it is desirable to maximize the potential window because the energy (E) storage capacity in capacitors is proportional to the second power of the potential window (E = 0.5 × C × U2; C and U are the capacitance and potential window, respectively). Therefore, most capacitors are operated in organic solvents to maximize the potential window and thus, the energy storage capacity. However, it is desirable to replace the organic solvents with more environmentally friendly alternatives. Moreover, compared to PANI, the specific capacitance of PEDOT is much lower varying between 30 to 170 F g−1 (ref. 17–21) but it maintains its electroactivity at neutral pH allowing the use of environmentally friendly and non-hazardous aqueous solvents. Very recently, it was reported that PEDOT synthesized in an ionic liquid (1-ethyl-3-methyl-imidazolium bis(trifluoromethylsulfonylimide, EMI-BTI)) with 0.36 C cm−2 had a relatively high areal capacitance of 10.5 ± 1 mF cm−2 in a two-electrode cell and showed high stability over hundreds of thousands of potential cycles in EMI-BTI.22 This is considerably higher than 26–52 μF cm−2 which was reported for graphene nanosheets in the three-electrode cell.23 By combining PEDOT and CNTs, the areal capacitance was improved to ca. 80 mF cm−2 for the composite film of PEDOT–CNT (prepared from an acetonitrile-aqueous mixture with 0.5 C cm−2) demonstrating the synergistic effect of these two materials.24
Different variations of chemical oxidative polymerization have been usually used to synthesize PEDOT–GO and PEDOT–rGO resulting often in intractable and non-dispersible composite materials which hampers the further processing of these composites.25–27 Electrochemical synthesis of PEDOT–GO was carried out only in a few cases. Recently, PEDOT was electrochemically polymerized from an aqueous solution with GO as the only charge compensating counter ion.28,29 During the electropolymerization, the incorporation of GO in the positively charged PEDOT matrix is possible mainly due to the polar epoxy and hydroxyl groups making the GO surface negatively charged. The electropolymerization of PEDOT–rGO is even less studied than for PEDOT–GO. PEDOT has been either electropolymerized on the surface of rGO30 or GO has been electrochemically reduced to rGO on top of the electrochemically prepared PEDOT layer.31 Electropolymerization of PEDOT–rGO composites have been reported from a colloidal ethanol dispersion of rGO.32 However, the atomic composition of rGO was 58.85% carbon and 41.15% oxygen (C![[thin space (1/6-em)]](https://www.rsc.org/images/entities/char_2009.gif) : O = 1.4), thus having a C
: O = 1.4), thus having a C![[thin space (1/6-em)]](https://www.rsc.org/images/entities/char_2009.gif) :
:![[thin space (1/6-em)]](https://www.rsc.org/images/entities/char_2009.gif) O ratio characteristic for GO (2.1–4.1).5
O ratio characteristic for GO (2.1–4.1).5
In this work, we report the electropolymerization of PEDOT in an aqueous dispersion of high porosity rGO having the C![[thin space (1/6-em)]](https://www.rsc.org/images/entities/char_2009.gif) :
:![[thin space (1/6-em)]](https://www.rsc.org/images/entities/char_2009.gif) O ratio 6.5. Unlike PEDOT–GO and PEDOT–PSS (poly(styrene sulfonate)), we show that the PEDOT composite films obtained in this work have porous and open surface morphology. X-ray photoelectron (XPS) and FTIR spectroscopy showed that the electropolymerization selectively enhanced the formation of OH groups in the composite film due to re-oxidation of rGO. The PEDOT composite films had good potential cycling stability in a three-electrode cell for 3000 cycles. Moreover, the redox capacitances calculated from the cyclic voltammograms (CV) of the composite films indicate that their behavior closely resembles ideal capacitors with no scan rate dependence.
O ratio 6.5. Unlike PEDOT–GO and PEDOT–PSS (poly(styrene sulfonate)), we show that the PEDOT composite films obtained in this work have porous and open surface morphology. X-ray photoelectron (XPS) and FTIR spectroscopy showed that the electropolymerization selectively enhanced the formation of OH groups in the composite film due to re-oxidation of rGO. The PEDOT composite films had good potential cycling stability in a three-electrode cell for 3000 cycles. Moreover, the redox capacitances calculated from the cyclic voltammograms (CV) of the composite films indicate that their behavior closely resembles ideal capacitors with no scan rate dependence.
|  | ||
| Fig. 1 Cyclic voltammograms of the PEDOT composite film in 0.1 M KCl measured with the scan rates of 10, 20, 50, 100, 200 and 500 mV s−1. The potentials are given vs. Ag/AgCl/4 M KCl. | ||
The reason for the capacitor-like behavior is most likely the uniformly porous surface morphology of the PEDOT composite film induced by the wrinkled structure of the high porosity rGO (Fig. 2a–c). In contrast to the relatively smooth surface of the composite films of PEDOT–GO (Fig. 2d) and PEDOT–PSS (Fig. 2e), the surface of the PEDOT composite film electrochemically polymerized in the presence of rGO has an open morphology with the grain size of ca. 200–800 nm (Fig. 2b and c). The open structure makes it easier for charge compensating counter ions to diffuse to the film surface and into the bulk of the composite film which improves the charging/discharging properties of the composite film. The capacitor-like behavior of the PEDOT composite film was further confirmed by the electrochemical impedance spectroscopic (EIS) measurement at 0.25 V. In Fig. 3a, the almost vertical shape of the impedance spectra obtained at low frequencies (10–100 mHz) indicate that the composite films have nearly a pure capacitive behavior. The line fitting28 in Fig. 3b show that the PEDOT composite film measured at 0.25 V had the areal redox capacitance of 12.2 mF cm−2 (r2 = 0.9999) which is in rather good accordance with the areal redox capacitance of PEDOT–GO films electropolymerized at 0.94 V (14.3 mF cm−2) and 0.97 V (14.7 mF cm−2), but considerably higher than for PEDOT–GO prepared at 1.05 V (5.3 mF cm−2).29
|  | ||
| Fig. 2  SEM images of the (a) rGO powder, (b and c) PEDOT composite, (d) PEDOT–GO and (e) PEDOT–PSS films. Magnification: 10 ![[thin space (1/6-em)]](https://www.rsc.org/images/entities/char_2009.gif) 000× except of (c) which is measured with 50 ![[thin space (1/6-em)]](https://www.rsc.org/images/entities/char_2009.gif) 000×. | ||
In Fig. 4a, the Raman spectrum of rGO is shown with the D and G bands at 1346 and 1588 cm−1, respectively. The Raman spectra of the PEDOT–PSS and the PEDOT composite films are almost identical verifying that the electropolymerization of (3,4-ethylenedioxythiophene) (EDOT) in the presence of rGO results in the formation of PEDOT (Fig. 4b and c). The main bands in the Raman spectra of PEDOT–PSS and the PEDOT composite film are assigned to the asymmetric (1504/1499 cm−1) and symmetric (1430/1435) C![[double bond, length as m-dash]](https://www.rsc.org/images/entities/char_e001.gif) C stretching, Cβ–Cβ stretching (1363/1366), Cα–Cα′ inter-ring stretch (1259/1268), C–O–C deformation (1101/1098) and oxyethylene ring deformation (985/989).33,34 ECPs typically show strong Raman bands in the wavenumber region of the D and G bands which makes it difficult to verify the presence of these bands in the composite material.28 However, the small shoulders at ca. 1315 and 1605 cm−1 in the Raman spectrum of the PEDOT composite film indicate that the high porosity rGO was incorporated into the PEDOT matrix during the electropolymerization (Fig. 4c). Similar shoulders in the Raman spectra was previously observed for PEDOT–GO which was interpreted as originating from incorporation of GO in the PEDOT matrix.28
C stretching, Cβ–Cβ stretching (1363/1366), Cα–Cα′ inter-ring stretch (1259/1268), C–O–C deformation (1101/1098) and oxyethylene ring deformation (985/989).33,34 ECPs typically show strong Raman bands in the wavenumber region of the D and G bands which makes it difficult to verify the presence of these bands in the composite material.28 However, the small shoulders at ca. 1315 and 1605 cm−1 in the Raman spectrum of the PEDOT composite film indicate that the high porosity rGO was incorporated into the PEDOT matrix during the electropolymerization (Fig. 4c). Similar shoulders in the Raman spectra was previously observed for PEDOT–GO which was interpreted as originating from incorporation of GO in the PEDOT matrix.28
|  | ||
| Fig. 4 The Raman spectra of (a) the rGO powder, (b) the PEDOT–PSS and (c) the PEDOT composite films. Laser excitation wavelength: 514 nm. | ||
To gain a deeper understanding of the PEDOT composite material, we measured the XPS spectra of rGO and the composite film (Fig. 5). Except of the C–C/C![[double bond, length as m-dash]](https://www.rsc.org/images/entities/char_e001.gif) C band at 284.8 eV,6,9,35 the C 1s spectra of rGO revealed that it contained low amounts of hydroxyl and epoxy (286.5 eV),9,35 carbonyl (287.6 eV)6,9,35 and carboxyl (288.9 eV)6,35 groups (Fig. 5a). The XPS fitting gave the following atomic composition of rGO: 83.4% carbon, 12.8% oxygen, 3.6% nitrogen and 0.2% sulfur which gives a C
C band at 284.8 eV,6,9,35 the C 1s spectra of rGO revealed that it contained low amounts of hydroxyl and epoxy (286.5 eV),9,35 carbonyl (287.6 eV)6,9,35 and carboxyl (288.9 eV)6,35 groups (Fig. 5a). The XPS fitting gave the following atomic composition of rGO: 83.4% carbon, 12.8% oxygen, 3.6% nitrogen and 0.2% sulfur which gives a C![[thin space (1/6-em)]](https://www.rsc.org/images/entities/char_2009.gif) :
:![[thin space (1/6-em)]](https://www.rsc.org/images/entities/char_2009.gif) O ratio of 6.5. It has been shown that reduction of GO with hydrazine results in the formation of C–N groups on the rGO surface.7 According to ref. 7, the reduction of GO with 50 mM hydrazine resulted in the C
O ratio of 6.5. It has been shown that reduction of GO with hydrazine results in the formation of C–N groups on the rGO surface.7 According to ref. 7, the reduction of GO with 50 mM hydrazine resulted in the C![[thin space (1/6-em)]](https://www.rsc.org/images/entities/char_2009.gif) :
:![[thin space (1/6-em)]](https://www.rsc.org/images/entities/char_2009.gif) O ratio of 6.2 and the nitrogen content of 2.4%. It is therefore likely that the nitrogen in the high porosity rGO originates from reduction with hydrazine which can be seen as a C–N band at 285.7 eV in the C 1s XPS spectrum of rGO28,35 (Fig. 5a). In addition to the C 1s spectrum, the O 1s spectrum confirm the presence of carbonyl and carboxyl (531.3 eV), and hydroxyl and epoxy (532.1 eV) groups on the rGO surface, but also that some amounts of carbonyl and epoxy oxygens are bound to ester groups (533.5 eV)36 (Fig. 5b).
O ratio of 6.2 and the nitrogen content of 2.4%. It is therefore likely that the nitrogen in the high porosity rGO originates from reduction with hydrazine which can be seen as a C–N band at 285.7 eV in the C 1s XPS spectrum of rGO28,35 (Fig. 5a). In addition to the C 1s spectrum, the O 1s spectrum confirm the presence of carbonyl and carboxyl (531.3 eV), and hydroxyl and epoxy (532.1 eV) groups on the rGO surface, but also that some amounts of carbonyl and epoxy oxygens are bound to ester groups (533.5 eV)36 (Fig. 5b).
The XPS spectrum of the PEDOT composite shows a relatively intense hydroxyl/epoxy/ether band at 286.1 eV except of the C–C/C![[double bond, length as m-dash]](https://www.rsc.org/images/entities/char_e001.gif) C (284.5 eV), C–N/C–S (285.2 eV), carbonyl (287.4 eV) and carboxyl (288.7 eV) bands (Fig. 5c). Also, the intensity of the hydroxyl/epoxy/ether band at 532.8 eV in the O 1s spectrum of the composite increased in relation to the carbonyl and carboxyl band (531.3 eV) and the band assigned to the carbonyl and ether oxygens in ester groups (534.1 eV) (Fig. 5d). It is expected that the C–O–C band of the PEDOT composite material has a higher intensity than rGO due to the ether groups in the PEDOT structure. However, compared to the intensity of the C–O–C band in the XPS spectrum of PEDOT–PSS (Fig. S1b†) which is much lower than for the PEDOT composite film prepared from the rGO dispersion, the increase of the intensity of the C 1s band at 286.1 eV of the composite film cannot only be explained by the increase of the ether bonds originating from PEDOT. It can therefore be speculated that the electropolymerization which is carried out under nitrogen at the relatively high potential of 1.05 V and slightly alkaline conditions (pH = 8.9) will result in formation of peroxide and hydroxyl radicals due to partial electrolysis of water. Consequently, this can favor re-oxidation of the rGO and the formation of OH groups on its surface. For comparison in PEDOT–GO (Fig. S1a†), the high content of hydroxyl and epoxy groups are seen as a strong band in the XPS spectrum at 286.9 eV.28 The XPS fitting unveil that PEDOT–GO and the PEDOT composite in this work have almost similar carbon (68.1/65.8%) and oxygen (28.8/25.8%) contents which corresponds to the C
C (284.5 eV), C–N/C–S (285.2 eV), carbonyl (287.4 eV) and carboxyl (288.7 eV) bands (Fig. 5c). Also, the intensity of the hydroxyl/epoxy/ether band at 532.8 eV in the O 1s spectrum of the composite increased in relation to the carbonyl and carboxyl band (531.3 eV) and the band assigned to the carbonyl and ether oxygens in ester groups (534.1 eV) (Fig. 5d). It is expected that the C–O–C band of the PEDOT composite material has a higher intensity than rGO due to the ether groups in the PEDOT structure. However, compared to the intensity of the C–O–C band in the XPS spectrum of PEDOT–PSS (Fig. S1b†) which is much lower than for the PEDOT composite film prepared from the rGO dispersion, the increase of the intensity of the C 1s band at 286.1 eV of the composite film cannot only be explained by the increase of the ether bonds originating from PEDOT. It can therefore be speculated that the electropolymerization which is carried out under nitrogen at the relatively high potential of 1.05 V and slightly alkaline conditions (pH = 8.9) will result in formation of peroxide and hydroxyl radicals due to partial electrolysis of water. Consequently, this can favor re-oxidation of the rGO and the formation of OH groups on its surface. For comparison in PEDOT–GO (Fig. S1a†), the high content of hydroxyl and epoxy groups are seen as a strong band in the XPS spectrum at 286.9 eV.28 The XPS fitting unveil that PEDOT–GO and the PEDOT composite in this work have almost similar carbon (68.1/65.8%) and oxygen (28.8/25.8%) contents which corresponds to the C![[thin space (1/6-em)]](https://www.rsc.org/images/entities/char_2009.gif) :
:![[thin space (1/6-em)]](https://www.rsc.org/images/entities/char_2009.gif) O ratios of 2.4 (PEDOT–GO) and 2.6 (PEDOT composite) further supporting the assumption of re-oxidation of the rGO surface during the electropolymerization. The electrosynthesis of the PEDOT composite film (0.5 C cm−2) takes ca. 50 min (on glassy carbon (GC) electrodes with d = 1.6 mm) which provides enough time for the surface reactions to take place. If the increased oxygen content of the PEDOT composite film would originate from overoxidation of the PEDOT matrix, this would be seen as an increase in the C
O ratios of 2.4 (PEDOT–GO) and 2.6 (PEDOT composite) further supporting the assumption of re-oxidation of the rGO surface during the electropolymerization. The electrosynthesis of the PEDOT composite film (0.5 C cm−2) takes ca. 50 min (on glassy carbon (GC) electrodes with d = 1.6 mm) which provides enough time for the surface reactions to take place. If the increased oxygen content of the PEDOT composite film would originate from overoxidation of the PEDOT matrix, this would be seen as an increase in the C![[double bond, length as m-dash]](https://www.rsc.org/images/entities/char_e001.gif) O band intensity in both the C 1s and O 1s spectra.37 Hence, since this is not the case, the re-oxidation of the rGO seems as the most plausible explanation to the increased oxygen content in the PEDOT composite film. Nevertheless, the combination of EDOT and the high porosity rGO as starting materials, and the re-oxidation of rGO creates a PEDOT composite film with completely open surface morphology, ideal capacitor-like behavior and fast charging/discharging properties.
O band intensity in both the C 1s and O 1s spectra.37 Hence, since this is not the case, the re-oxidation of the rGO seems as the most plausible explanation to the increased oxygen content in the PEDOT composite film. Nevertheless, the combination of EDOT and the high porosity rGO as starting materials, and the re-oxidation of rGO creates a PEDOT composite film with completely open surface morphology, ideal capacitor-like behavior and fast charging/discharging properties.
The FTIR spectra of rGO in Fig. 6 (spectrum a) is almost featureless except of the bands related to the absorption of crystal water at 532 cm−1 and 631 cm−1, and the vibrational bands at 777, 1065 and 1163 cm−1 bands originating from the carbon-hydroxo complexes of rGO and coordinated water.38 This is in good accordance with the XPS spectrum of rGO in Fig. 5a and b confirming the low amount of hydroxyl, epoxy, carbonyl and carboxylic groups in rGO. In Fig. 6 (spectrum b), the FTIR spectrum of the PEDOT composite shows bands originating from OH stretching and absorbed water (3320 cm−1), –C![[double bond, length as m-dash]](https://www.rsc.org/images/entities/char_e001.gif) O stretching of carboxylic and carbonyl groups (1730 cm−1),39,40 C–OH deformation (1409 cm−1), C–O–C (1205 cm−1) and C–O groups (1046 cm−1).41,42 The rather broad band at 1643 cm−1 is most likely related to skeletal vibrations of graphitic (sp2) domains or bending vibrations of water molecules.38,41 The main IR bands of PEDOT are usually located below 1550 cm−1 and are so called doping induced bands (983, 1085, 1281, 1338 cm−1).43–45 A more thorough discussion of the FTIR bands of PEDOT–GO is given in ref. 25. It can be concluded from the FTIR spectrum b in Fig. 6 that the electropolymerization process results in formation of PEDOT and the bands at 1046, 1409 and 3320 cm−1 indicate that OH groups are formed on the re-oxidized rGO surface. Moreover, the band at 1730 cm−1 assigned to carboxyl and carbonyl stretching may indicate a certain degree of overoxidation of the PEDOT matrix.
O stretching of carboxylic and carbonyl groups (1730 cm−1),39,40 C–OH deformation (1409 cm−1), C–O–C (1205 cm−1) and C–O groups (1046 cm−1).41,42 The rather broad band at 1643 cm−1 is most likely related to skeletal vibrations of graphitic (sp2) domains or bending vibrations of water molecules.38,41 The main IR bands of PEDOT are usually located below 1550 cm−1 and are so called doping induced bands (983, 1085, 1281, 1338 cm−1).43–45 A more thorough discussion of the FTIR bands of PEDOT–GO is given in ref. 25. It can be concluded from the FTIR spectrum b in Fig. 6 that the electropolymerization process results in formation of PEDOT and the bands at 1046, 1409 and 3320 cm−1 indicate that OH groups are formed on the re-oxidized rGO surface. Moreover, the band at 1730 cm−1 assigned to carboxyl and carbonyl stretching may indicate a certain degree of overoxidation of the PEDOT matrix.
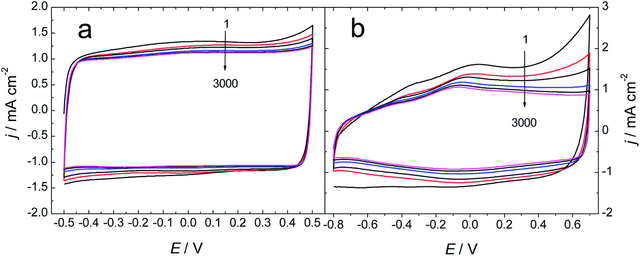
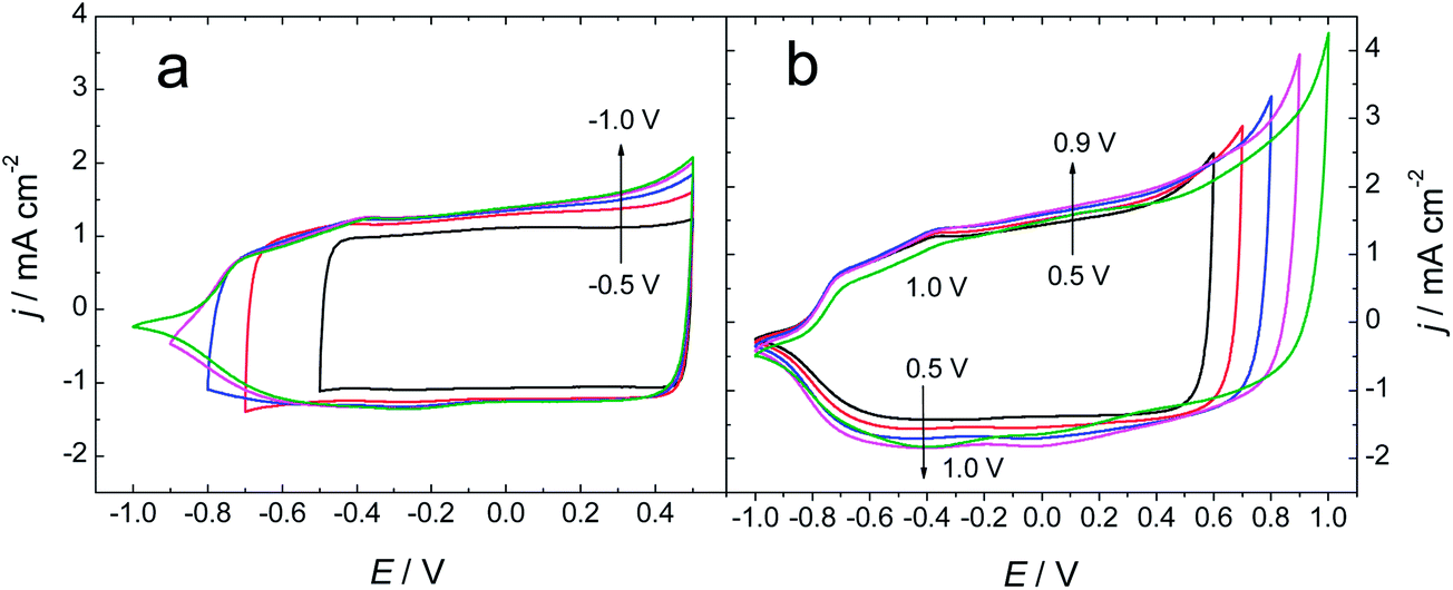
The results of the potential cycling stability tests are presented in Fig. 8a and b. As shown in Fig. 8a, the potential cycling stability of the PEDOT composite film is very good for at least 3000 cycles between −0.5–0.5 V in 0.1 M KCl with only 12.4% decrease of the areal capacitance from 12.1 mF cm−2 to 10.6 mF cm−2 (Fig. 9). The stability against degradation was even better between 200–3000th cycles (capacitance decrease: 7.8%), if the initial conditioning and structural re-orientation effects of the composite film are neglected during the first 200 potential cycles. After the stability test, the film relaxation was allowed to take place at the open circuit potential before recording the EIS spectra at 0.25 V. The obtained areal capacitance of 11.8 mF cm−2 (3.3% decrease of its initial value; r2 = 1) further confirmed the good stability against degradation of the PEDOT composite film (Fig. 3). It must be stressed that the CV of the PEDOT composite film in Fig. 8a shows almost a rectangular shape characteristic of ideal capacitors. Most likely the re-oxidized rGO surface can act as charge compensating counter ions during the oxidation and reduction process of the composite film which decreases the diffusion pathway of the counter ions to the PEDOT matrix, thus ensuring a quick charging/discharging of the material. This effect is probably enhanced by the fully open film structure facilitating the diffusion of the chloride ions from the electrolyte solution into the entire bulk of the polymer matrix.
|  | ||
| Fig. 9 The areal capacitance vs. the number of potential cycles for the PEDOT composite film recorded during the potential cycling stability test shown in Fig. 8. Potential interval: (●) −0.5 V to 0.5 V, (○) −0.8 V to 0.7 V. | ||
The areal capacitance of the PEDOT composite film was improved when the potential cycling was done between −0.8 – 0.7 V (Fig. 8b and 9). In the beginning of the potential cycling stability test, the areal capacitance was 17.7 mF cm−2 which is ca. 46% higher than the capacitance value obtained in the potential interval of −0.5–0.5 V (Fig. 9). However, the areal capacitance decreases quickly especially during the first 200 potential cycles which is reflected as a decrease in the oxidation and reduction currents in the CV of the composite film (Fig. 8b). By neglecting the initial capacitance decrease for the first 200 potential cycles, the areal capacitance decreases with 21.7% during the rest of the stability test (200–3000th cycles). It can be speculated that the continuous potential cycling of the PEDOT composite film to 0.7 V partially overoxidizes the polymer which results in the decrease of the oxidation and reduction currents observed in the CV in Fig. 8b, and consequently, in a lower areal capacitance. However, the composite film showed still a reasonably good areal capacitance of 11.9 mF cm−2 after 3000 potential cycles between −0.8–0.7 V (Fig. 9).
All Raman measurements were carried out with the 514 nm laser (LaserPhysics, Ar ion laser) connected to a Leica DMLM and Renishaw Raman imaging microscope (equipped with the Wire™ v1.3 Raman software). The spectrometer was calibrated against a Si-standard (520.0 cm−1) before measuring the Raman spectra of each composite film with 1% of the maximum laser power (20 mW) by accumulating 10 spectra.
| Footnote | 
| † Electronic supplementary information (ESI) available. See DOI: 10.1039/c4ra03423f | 
| This journal is © The Royal Society of Chemistry 2014 |