DOI:
10.1039/C3RA47227B
(Paper)
RSC Adv., 2014,
4, 7041-7051
Synthesis of nitrogen-rich imidazole, 1,2,4-triazole and tetrazole-based compounds†
Received
2nd December 2013
, Accepted 16th December 2013
First published on 18th December 2013
Abstract
Imidazole, 1,2,4-triazole and tetrazole based molecules were prepared for their possible applications in nitrogen-rich gas generators. The energetic salts of 1-(1H-1,2,4-triazol-3-yl)-1H-tetrazole (9), 5-(1H-tetrazol-1-yl)-1H-1,2,4-triazol-3-amine (10), 1-(3-azido-1H-1,2,4-triazol-5-yl)-1H-tetrazole (11) and 3-azido-1H-1,2,4-triazol-5-amine (12) were prepared with various cationic moieties. Their densities, heats of formation, chemical energy of detonation, detonation velocities and pressures were calculated. All of the compounds possessed high positive heats of formation due to high energy contribution from the molecular backbone of the corresponding compounds. The effect of the azole rings and nitro, amino, and azido groups on their physicochemical properties was examined and discussed.
Introduction
In recent years, the development of heterocyclic based energetic compounds has attracted much attention, since these compounds offer a high positive heat of formation, density and better oxygen balance than their hydrocarbon analogs.1 Apart from high heats of formation, nitrogen-rich compounds mainly generate environmentally friendly molecular nitrogen as a major end-product of combustion or explosion. Performance and safety during handling and usage are the most important concern in the development of energetic materials, but there is an essential contradiction between them. For example, the well-known cage and strained energetic material, CL-20 exhibit very high density (ρ = 2.04 g cm−3) and detonation performance (D = 9.5 km s−1 and P = 45 GPa), however tend to be sensitive towards impact or friction or external stimuli, whereas the less energetic materials like TNT or TATB show the opposite trend. The power of energetic materials is strongly dependent on its molecular structure and chemical substituents on it. But their safety mechanism is much more complicated and controlled by many factors. Five-membered nitrogen-containing heterocycles such as imidazole, pyrazole, triazole and tetrazole are known as traditional source of energetic materials. They are at the forefront of high energy materials research and expected to achieve increasing performance requirements with reasonable safety.2
Among these heterocyclic compounds, tetrazole is a powerful building block for high energy density materials (HEDMs) due to its high nitrogen content (∼80%), high positive heat of formation (320 kJ mol−1), low sensitivity towards impact and good thermal stability due to its aromatic ring system.3 This allows substitution of various energetic groups or designing of compounds with varying performance and sensitivity. Due to its significant energetic properties, a variety of tetrazole-based energetic compounds have already been synthesized. Moreover, introduction of nitro, azido or azo groups, salt formation and N-oxidation in tetrazole have been developed to improve the properties of tetrazole-based energetic materials. Due to high nitrogen content and consequently high average two electron bond energy associated with the N–N triple bond formation, these compounds have variety of applications as low-smoke producing pyrotechnic compositions,4 gas generators,5 propellants,6 and high explosives.7 Gas generators are used to generate large amount of gas, as for turbopumps, to inflate balloons, especially airbags, to eject parachutes, and for similar applications.
Herein, we report the synthesis of energetic salts based on the 1-(1H-1,2,4-triazol-3-yl)-1H-tetrazole (9), 5-(1H-tetrazol-1-yl)-1H-1,2,4-triazol-3-amine (10), 1-(3-azido-1H-1,2,4-triazol-5-yl)-1H-tetrazole (11) and 3-azido-1H-1,2,4-triazol-5-amine (12) anions. The presence of high nitrogen content and higher enthalpy of formation of molecules containing 1,2,3-triazoles and tetrazoles in their molecular structure would enable their use as high enthalpy modifiers in energetic materials. Further, in the recent literature, to the best of our knowledge, there is no report available exploring the synthesis of these molecules and their utility as possible nitrogen-rich energetic materials.
Results and discussion
The energy content associated with the five membered azole rings makes them more essential in design and synthesis of high energy materials. The hydrogen atoms in azole rings can be substituted by amino, nitro, or azide groups to enhance their energy content and detonation performance. In this work, we are reporting the synthesis of 5-aminotetrazole (1) from cyanamide in good yield (Scheme 1). Previously, 5-aminotetrazole was prepared from different starting materials and its derivatives were extensively studied for their applications in energetic materials due to their high nitrogen contents and better thermal stability.8 The cyanamide to 5-aminotetrazole conversion was carried out as described by Das et al.9 using sodium azide and iodine in DMF and subsequent treatment with HCl.
 |
| | Scheme 1 Synthesis of 5-aminotetrazole (1). | |
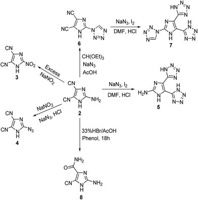
High performance and low sensitivity tend to be contradicting aspects; hence it is hard to fulfil all the requirements for new energetic materials. However, incorporation of azole rings into a compound is also a known strategy for increasing thermal stability and plays a very important role in designing new potential HEMs. As a result, we have synthesized different nitrogen-rich compounds. Scheme 2 represents the synthesis of various imidazole–tetrazole based compounds. The 2-nitro-1H-imidazole-4,5-dicarbonitrile (3) was obtained from 2-amino-1H-imidazole-4,5-dicarbonitrile (2) with excess treatment of sodium nitrite.10 Similarly, 2 was treated with sodium nitrite followed by sodium azide to get 2-azido-1H-imidazole-4,5-dicarbonitrile (4). The nitrile groups on imidazole backbone were converted easily to tetrazole rings in high yields using sodium azide and iodine in DMF to obtain 4,5-di(1H-tetrazol-5-yl)-1H-imidazol-2-amine (5) and 1-[4,5-di(1H-tetrazol-5-yl)-1H-imidazol-2-yl]-1H-tetrazole (7). 2 reacted with triethylorthoformate and sodium azide in acetic acid to produce 2-(1H-tetrazol-1-yl)-1H-imidazole-4,5-dicarbonitrile (6) in good yield. To understand the effect of amide group on energetic properties, we have converted nitrile group to amide in 2-amino-5-cyano-1H-imidazole-4-carboxamide (8). The nitrile group of 8 could not be converted to tetrazole using similar conditions of 5 and 7.
 |
| | Scheme 2 Synthesis of imidazole derivatives (3–8). | |
The presence of two or more azole rings is always desirable in energetic backbone to improve its thermal stability and energy content.11 Moving from imidazole to triazole to tetrazole, improves nitrogen content, heat of formation and oxygen balance. The heats of formation for imidazole, 1,2,4-triazole, and tetrazole are 129, 192 and 326 kJ mol−1, respectively12 and their corresponding nitrogen contents are 41, 61, and 80%. Thus, when 1H-1,2,4-triazol-3-amine and 1H-1,2,4-triazole-3,5-diamine were reacted with triethylorthoformate and sodium azide in acetic acid produced 1-(1H-1,2,4-triazol-3-yl)-1H-tetrazole (9) and 5-(1H-tetrazol-1-yl)-1H-1,2,4-triazol-3-amine (10), respectively (Schemes 3 and 4). The reaction of 1H-1,2,4-triazole-3,5-diamine with excess triethylorthoformate and sodium azide failed to convert both amino groups to tetrazole rings (13). 10 reacted with tert-butyl nitrite and azidotrimethylsilane to form 1-(3-azido-1H-1,2,4-triazol-5-yl)-1H-tetrazole (11). 3-Azido-1H-1,2,4-triazol-5-amine (12) was synthesized in excellent yield from 1H-1,2,4-triazole-3,5-diamine by following a procedure reported by Kofman and Namestnikov13 reported using sodium nitrite and sodium azide.
 |
| | Scheme 3 Synthesis of 1-(1H-1,2,4-triazol-3-yl)-1H-tetrazole (9) and structure of its anionic substrate. | |
 |
| | Scheme 4 Synthesis of nitrogen-rich triazole–tetrazole based compounds and structure of their respective anions. | |
Compounds 9, 10, 11, and 12 were subsequently deprotonated in alcoholic solution with concomitant formation of salts with various molecules like guanidine, carbohydrazide, 4-amino-4H-1,2,4-triazole, 3-amino-1,2,4-triazole, and 3,5-diamino-1,2,4-triazole. The selected cationic moieties are presented in Scheme 5. These cationic moieties are well-known due to their energetic properties and widely used in constructing the energetic salts. In our previous work,14 we presented the molecular electrostatic potential graphs to illustrate electrophilicity and nucleophilicity in the selective anionic and cationic moieties. All compounds were characterized by means of elemental analysis, mass spectrometry (MS), IR and NMR (1H and 13C) spectroscopy. As might be expected from the structural similarities between these nitrogen-rich compounds, the vibration modes were also very similar. In most of these azole compounds, the most-important vibrations are the N–H, C–N, C
C and N
N bond stretches. In these compounds, N–H stretching found as an intense absorption at 3100–3500 cm−1, C–N stretching observed in 1000–1300 cm−1, and C
C bond stretching in 1600–1700 cm−1 region. Compounds containing nitrile group (3, 4, 6, and 8) showed C
N stretching in the 2240–2260 cm−1 region. The amide linkage in 8 shows C
O stretching at 3096–3447 cm−1 and N–H bending at 1577–1616 cm−1 region. In the 1H NMR spectra, the proton signals of the anion 9 occurred at δ ≈ 10.12 and 8.88 ppm, for 10 anion, δ ≈ 9.92 and 6.65 ppm, for 11 anion, δ ≈ 10.10 ppm and for 12 anion, δ ≈ 6.27 ppm and the other signals are assigned to the respective cations. We have also recorded the 1H NMR for 10 in D2O. The proton of the NH (signal at δ 12.63 ppm) and –NH2 group (signal at δ 6.64 ppm) of 10 underwent rapid exchange with the protons in D2O as shown in the 1H NMR spectrum. The signal at δ 9.91 ppm was assigned to the proton of tetrazole ring. No signals were observed in the 1H NMR spectrum that could be assigned to 10 supporting the loss of proton(s). Similarly, in the 13C NMR spectra, the three signals of the anion 9 observed at δ ≈ 152, 146, and 143 ppm, for anion 10, three peaks occurred at δ ≈ 157, 150, and 143 ppm, for compound anion 11, signals δ ≈ 146, 143, and 134 ppm observed and anion 12 spectra shows two signals at δ ≈ 157 and 154 ppm, the remaining signals are associated with the cations. The high resolution mass spectrum of salt 9a exhibited peak at m/z = 197.1009 (M + H) which found in good agreement with its actual mass (m/z = 196.0933). The detailed analysis is presented in Experimental section.
 |
| | Scheme 5 Selected nitrogen-rich cationic moieties for salt preparation. | |
Thermal stabilities and energetic properties
The thermal stabilities of all designed compounds were determined by TG-DTA measurements at a heating rate of 10 °C min−1. The melting points, thermochemical, and energetic data of designed energetic salts are summarized in Table 2. As evident from Table 2, compounds 5, 7, 9, 10, 11 and 12 decomposed without melting, and the decomposition temperatures of these compounds are in the range 173 to 238 °C representing good thermal stability. Incorporation of amino group into a triazole ring improves thermal stability as observed in 9 and 10. From Table 2, the salts of 9, 10, 11, and 12 possess lower decomposition temperature as compared to its nonionic compounds. Among 9a to 9e salts 9c, decomposed without melting, and its decomposition temperatures were found above 187 °C. In 10a–e, 11e and 12a–e salts, all compounds except 10e decompose without melting. 12a–e salts showed comparable decomposition temperature (∼170 °C) to its nonionic azido starting material, 12.
Table 1 Energetic properties of nonionic compounds 5, 7 and 9–12
| Compd |
NCa (%) |
OBb (%) |
HOFGasc (kJ mol−1) |
HOFSubd (kJ mol−1) |
HOFSolide (kJ mol−1) |
ρf (g cm−3) |
Dg (km s−1) |
Ph (GPa) |
Qi (cal g−1) |
Tdecj |
Mpk |
| Nitrogen content (%). Oxygen balance (%). Heat of formation in gas phase (kJ mol−1). Heat of sublimation (kJ mol−1). Heat of formation in solid state (kJ mol−1). Density (g cm−3). Velocity of detonation (km s−1). Detonation pressure (GPa). Chemical energy of detonation (cal g−1). Thermal decomposition temperature under nitrogen gas (DSC-TGA, 10 °C min−1). Melting point (°C). |
| 5 |
70.3 |
−91.3 |
749.8 |
148.0 |
601.8 |
1.65 |
6.33 |
16.86 |
780 |
227 |
|
| 7 |
72.1 |
−82.4 |
1137.9 |
152.9 |
984.9 |
1.71 |
6.81 |
19.97 |
945 |
179 |
|
| 9 |
71.5 |
−87.6 |
559.9 |
106.0 |
453.9 |
1.67 |
6.68 |
18.92 |
910 |
243 |
|
| 10 |
73.7 |
−84.2 |
533.9 |
94.5 |
439.4 |
1.65 |
6.61 |
18.37 |
833 |
238 |
|
| 11 |
78.6 |
−62.9 |
831.4 |
98.3 |
733.1 |
1.73 |
7.31 |
23.16 |
1045 |
223 |
|
| 12 |
78.4 |
−70.4 |
444.8 |
93.0 |
351.8 |
1.61 |
6.60 |
18.09 |
802 |
173 |
153 |
Table 2 Energetic properties of salts of 1-(1H-1,2,4-triazol-3-yl)-1H-tetrazole (9), 5-(1H-tetrazol-1-yl)-1H-1,2,4-triazol-3-amine (10), 1-(3-azido-1H-1,2,4-triazol-5-yl)-1H-tetrazole (11), and 3-azido-1H-1,2,4-triazol-5-amine (12) salts
| Compd |
NCa (%) |
OBb |
HOFcc |
HOFad |
UPote |
HLf |
HOFsaltg |
ρh |
Di |
Pj |
Qk |
Tdecl |
Mpm |
| Nitrogen content (%). Oxygen balance (%). Heat of formation of cation (kJ mol−1). Heat of formation of anion (kJ mol−1). Lattice potential energy (kJ mol−1). Lattice energy (kJ mol−1). Heat of formation of salt (kJ mol−1). Density (g cm−3). Velocity of detonation (km s−1). Detonation pressure (GPa). Chemical energy of detonation (cal g−1). Thermal decomposition temperature under nitrogen gas (DSC-TGA, 10 °C min−1). Melting point (°C). |
| 9a |
71.4 |
−98.0 |
567.2 |
349.9 |
522 |
527 |
390 |
1.55 |
6.07 |
14.86 |
696 |
197 |
177 |
| 9b |
67.8 |
−81.1 |
619.5 |
349.9 |
503 |
508 |
462 |
1.58 |
6.76 |
18.70 |
907 |
186 |
143 |
| 9c |
69.7 |
−97.7 |
946.9 |
349.9 |
508 |
513 |
784 |
1.59 |
6.66 |
18.24 |
1019 |
187 |
|
| 9d |
69.7 |
−97.7 |
796.4 |
349.9 |
508 |
513 |
634 |
1.59 |
6.38 |
16.72 |
856 |
191 |
174 |
| 9e |
71.1 |
−94.9 |
753.8 |
349.9 |
497 |
502 |
601 |
1.59 |
6.32 |
16.37 |
792 |
194 |
141 |
| 10a |
73.0 |
−94.8 |
567.2 |
368.1 |
510 |
515 |
420 |
1.55 |
6.15 |
15.26 |
706 |
200 |
|
| 10b |
69.4 |
−79.3 |
619.5 |
368.1 |
493 |
498 |
490 |
1.58 |
6.79 |
18.83 |
901 |
195 |
|
| 10d |
71.2 |
−94.9 |
796.4 |
368.1 |
497 |
502 |
662 |
1.59 |
6.43 |
16.99 |
854 |
190 |
|
| 10e |
72.5 |
−92.4 |
753.8 |
368.1 |
488 |
493 |
629 |
1.58 |
6.37 |
16.62 |
792 |
200 |
120 |
| 11e |
75.8 |
−78.0 |
753.8 |
610.7 |
481 |
486 |
878 |
1.67 |
6.86 |
19.94 |
894 |
203 |
|
| 12a |
76.1 |
−87.0 |
567.2 |
296.6 |
533 |
538 |
326 |
1.56 |
6.20 |
15.55 |
659 |
167 |
|
| 12e |
75.0 |
−85.7 |
753.8 |
296.6 |
506 |
511 |
539 |
1.60 |
6.46 |
17.18 |
768 |
172 |
|
In this work, we have mainly focused on the synthesis and characterization of tetrazole containing energetic materials to improve nitrogen content and their heat of formation. The heat of formation (HOF) is important parameter in evaluating the performance of energetic materials and can be calculated with good accuracy using isodesmic reactions and the lattice energy of salts. The solid state HOF of 5, 7, 9, 10, 11, and 12 were calculated from their gas phase HOF and heat of sublimation and presented in Table 1. Calculations were carried out using the Gaussian 03 suite of program.15 The structure optimization and frequency analyses were carried out using B3PW91 functional with the 6-31G(d,p) basis set. All of the optimized structures were characterized to be true local energy minima on the potential-energy surface without imaginary frequencies. The high positive HOFs of 5 and 7 clearly reveals the role of tetrazole ring in the improvement of HOF and their HOFs are 602 and 985 kJ mol−1, respectively. Similarly, the calculated HOFs of 9, 10, 11 and 12 show high positive HOFs. Introduction of tetrazole and azido group on the triazole backbone improves HOF significantly. Comparing 9, 10 and 11 reveals that introduction of amino group in molecular structure reduces the HOF, while insertion of azido group improves HOF. The calculated HOFs of salts are summarized in Table 2. All the salts possess high positive HOFs, and salts of 11 have highest values due to significant energy contribution from 11 anion (610.7 kJ mol−1). The calculated values of HOF range from 326–1032 kJ mol−1.
Oxygen balance (OB) is an expression used to indicate the degree, to which an explosive can be oxidized. Owing to the absence of oxygen donor groups in anionic starting materials (5, 7, 9, 10, 11, and 12); all of them have negative OB and are in the range from −63 to −91%. The nitrogen content is another very important property in energetic materials. Compounds 5, 7, 9, 10, 11, and 12 have nitrogen content above 70%, and the salts paired with triazole based cations possess nitrogen content in the range 67 to 75%. One of the most important physical properties of a solid energetic material is its density. The densities of were calculated using the Hofmann approach16 and the results summarized in Table 1. As shown in Table 2, the densities of most of the salts range from 1.55 to 1.78 g cm−3. The detonation parameters were calculated by Kamlet–Jacobs equations17 and Table 2 shows that for salts, the calculated detonation pressures (P) were in the range 14.7–27.2 GPa, and detonation velocity (D) were in between 6.0 and 7.85 km s−1, which are more or less close to that of trinitrotoluene (TNT) (P = 19.5 GPa, D = 6.8 km s−1).
Computational details
The isodesmic reactions designed for the prediction of gas phase HOF (HOFGas)18 and selective reactions are shown in Scheme 6. For estimation of the potential performance of the energetic material, it is also significant to calculate their solid phase HOF (HOFSolid) because it is related directly with the detonation characteristics. According to Hess' law, HOFSolid can be obtained by,| | |
HOFSolid = HOFGas − HOFSub
| (1) |
where HOFSub is the heat of sublimation and can be evaluated by the Byrd and Rice method19 in the framework of the Politzer approach,20 using the following empirical relation,| | |
HOFSub = β1A2 + β2(νσtot2) + β3
| (2) |
where A is the area of the isosurface of 0.001 electrons per bohr3 electronic density, ν indicates the degree of balance between the positive and negative surface potentials, σtot2 is a measure of variability of the electrostatic potential, and β1, β2, and β3 are determined through a least-squares with the experimental HOFSolid of a selected set of known materials.19 Surface area, degree of balance between the positive and negative surface potentials and variability of the electrostatic potential are calculated using WFA program.21 Oxygen balance gives information about amount of oxygen needed for an organic molecule for its complete oxidation. Complete oxidation means, on decomposition, all the carbons and hydrogens in particular molecule should be converted to carbon dioxide and water. If a molecule contains oxygen within its structure more than it required for complete oxidation then the oxygen balance would be positive. OB (%) for an explosive containing the general formula CaHbNcOd with molecular mass M can be calculated as:| |
 | (3) |
 |
| | Scheme 6 Isodesmic reactions designed for the prediction of the heats of formation. | |
The lattice potential energies and lattice energies were predicted by using Jenkins approach.22 Based on the Born–Haber cycle shown in Fig. 1, the HOF of an ionic compound can be simplified by subtracting the lattice energy of the salt (∆HL) from the total heat of formation of salt i.e. sum of the heats of formation of the cation and anion as shown in eqn (4).
| | |
HOF (salt, 298 K) = HOF (cation, 298 K) + HOF (anion, 298 K) − HL
| (4) |
 |
| | Fig. 1 Born–Haber cycle for the formation of energetic salts (ΔHL: lattice enthalpy of ionic salts, ΔHOFcation and ΔHOFanion: heat of formation of cation and anion, respectively). | |
The lattice energy can be predicted with reasonable accuracy by using Jenkins' eqn (5),22
| | |
HL = UPOT + [p(nM/2 − 2) + q(nx/2 − 2)]RT
| (5) |
where
nM and
nx depend on the nature of the ions M
p+ and X
q−, respectively, and are equal to 3 for monoatomic ions, 5 for linear polyatomic ions, and 6 for nonlinear polyatomic ions. The lattice potential energy
UPOT (kJ mol
−1) can be predicted from
eqn (6) and
(7) as suggested by Jenkins
et al.22 using following equations,
| | |
UPOT = 2I[α(V)−1/3 + β]
| (7) |
In above equations, ρ is the density (g cm−3), V is the estimated volume of ionic material (nm3), M is the chemical formula mass of the ionic material (g mol−1), and the coefficients A, B, γ (kJ mol−1 cm), δ (kJ mol−1), α, and β are taken from the literature.22
The empirical Kamlet–Jacobs17 eqn (8) and (9) were employed to estimate the values of D and P for the high energy materials containing C, H, O and N as following equations:
| | |
D = 1.01(NM0.5Q0.5)0.5(1 + 1.30ρo)
| (8) |
where in above equations
D is detonation velocity (km s
−1),
P is detonation pressure (GPa),
N is moles of gaseous detonation products per gram of explosives,
M is average molecular weights of gaseous products,
Q is chemical energy of detonation (cal g
−1) defined as the difference of the HOFs between products and reactants, and
ρo is the density of explosive (g cm
−3).
Experimental section
Caution! We have synthesized all compounds in millimolar amounts and have experienced no difficulties with temperature. However, appropriate safety precautions should be taken, especially when these compounds are prepared on a large scale. The use of appropriate safety precautions (safety shields, face shields, leather gloves, protective clothing, such as heavy leather welding suits and ear plugs) is mandatory. Ignoring safety precautions can lead to accident or serious injury.
Material and instruments
The reagents were available commercially and were used as purchased without further purification. Reactions were monitored by TLC analysis, by using precoated silica gel TLC plates obtained from Merck. 1H and 13C NMR spectroscopic data were recorded on a Bruker Avance 400 MHz FT NMR spectrometer with tetramethylsilane (TMS) as an internal standard and [D6]DMSO as the solvent. Mass analysis was performed on a LC-MS spectrometer. Melting points and decomposition temperatures were determined by DSC-TGA using TA instruments SDT Q 600 instrument. The IR spectra were recorded on a Perkin-Elmer IR spectrometer by using KBr pellets. The HRMS were recorded on a Bruker Maxis instrument. Elemental analyses were performed on a flash EA 1112 full automatic trace element analyzer.
1H-Tetrazol-5-amine (1)
A mixture of cyanamide (0.200 g, 4.76 mmol), sodium azide (0.309 g, 4.76 mmol) and iodine (0.06 g) suspended in DMF (10 mL), was refluxed for 6 h with stirring. The reaction mixture was cooled to room temperature and hydrochloric acid (10 mL, 1 M) was added. The reaction mixture was extracted with ethyl acetate and dried over sodium sulfate. The solvent was removed under reduced pressure and the products were isolated with satisfactory purity as a white solid (0.280 g, 69.2%). IR (KBr): 3410, 3217, 2934, 2812, 2501, 2199, 1658, 1568, 1516, 1415, 1253, 1105, 1051, 1012, 923, 653, 621 cm−1. 1H NMR (400 MHz, DMSO): δ (ppm) 4.97 (s, 4H). 13C NMR (100 MHz, DMSO): δ (ppm) 164. LC-MS (ES, m/z): 86 [M + H]+.
2-Azido-1H-imidazole-4,5-dicarbonitrile (4)
2-Amino-1H-imidazole-4,5-dicarbonitrile (1.33 g, 10 mmol) dissolved in hydrochloric acid (7.5 mL) in a 100 mL round-bottom flask was cooled to ∼0 °C in an ice bath. To this stirred mixture, NaNO2 (1 g, 40 mmol) in 3 mL of water was added and stirred vigorously at room temperature. After this, excess amount of NaNO2 was added slowly to the mixture (up to disappearing starting material spot in TLC). The crude product was extracted with ethyl acetate and the solvent was evaporated under vacuum to give the yellow solid (0.110 g, 69.1%). DSC-TGA (10 °C min−1): 114 °C (mp), 178 °C (dec). IR (KBr): 3308, 2924, 2854, 2446, 2361, 2239, 2156, 1712, 1562, 1525, 1482, 1442, 1410, 1315, 1228, 1140, 719, 652 cm−1. 13C NMR (100 MHz, DMSO): δ (ppm) 150.2, 117.2, 115.2. LC-MS (ES, m/z): 160 [M + H]+. C, H, N analysis (%): C5HN7 (159), calculated result: C, 37.74; H, 0.63; N, 61.62; found: C, 37.62; H, 0.71; N, 61.52%.
4,5-Di(1H-tetrazol-5-yl)-1H-imidazol-2-amine (5)
Sodium azide (0.395 g, 6 mmol) and iodine (0.06 g, 0.47 mmol) was added to a solution of 2-amino-1H-imidazole-4,5-dicarbonitrile (0.266 g, 2 mmol) in DMF (10 mL). The reaction mixture was refluxed for 6 h with stirring. The reaction mixture was cooled to room temperature and added hydrochloric acid (10 mL, 1 M). The reaction mixture was extracted with ethyl acetate. The crude product was purified by column chromatography over silica gel with n-hexane–EtOAc and dried over sodium sulfate. The solvent was removed under reduced pressure and the product was isolated with satisfactory purity as orange solid (0.225 g, 51.3%). DSC-TGA (10 °C min−1): 265 °C (dec). IR (KBr): 3136, 2934, 2241, 2150, 1651, 1523, 1437, 1388, 1344, 1307, 1251, 1197, 667, 642, 505 cm−1. 1H NMR (400 MHz, DMSO): δ (ppm) 7.21 (s, 2H). 13C NMR (100 MHz, DMSO): δ (ppm) 162.7, 153.8, 142.3. HRMS (ESI) for C3H3N7 (M + H): calcd 219.9018, found 220.1048. LC-MS (ES, m/z): 220 [M + H]+. C, H, N analysis (%): C5H5N11 (219), calculated result: C, 27.40; H, 2.30; N, 70.30; found: C, 27.51; H, 2.36; N, 70.21%.
2-(1H-Tetrazol-1-yl)-1H-imidazole-4,5-dicarbonitrile (6)
2-Amino-1H-imidazole-4,5-dicarbonitrile (1 g, 7.5 mmol) and sodium azide (0.733 g, 11.27 mmol) was suspended in triethyl orthoformate (2 mL) and glacial acetic acid (20 mL) was added, and the mixture was refluxed for 8 h. The slurry was concentrated in vacuum, and residue was partitioned between ethyl acetate (250 mL) and 3 N HCl (50 mL). The organic phase was dried over Na2SO4, filtered and concentrated under vacuum to get the compound as a white solid (0.900 g, 64.5%). DSC-TGA (10 °C min−1): 238 °C (dec). IR (KBr): 3439, 3350, 2922, 2852, 2233, 1693, 1651, 1591, 1531, 1469, 1309, 1255, 1143, 1103, 1028, 866, 798, 715, 652 cm−1. 1H NMR (400 MHz, DMSO): δ (ppm) 9.89 (s, 1H). 13C NMR (100 MHz, DMSO): δ (ppm) 153.8, 142.7, 115.3, 112.5. HRMS (ESI) for C6H2N8 (M + H): calcd 186.0402, found 187.0476. LC-MS (ES, m/z): 186 [M − H]−. C, H, N analysis (%): C6H2N8 (187), calculated result: C, 38.72; H, 1.08; N, 60.20; found: C, 38.65; H, 1.16; N, 60.36%.
5,5′-(2-(1H-Tetrazol-1-yl)-1H-imidazole-4,5-diyl)bis(1H-tetrazole) (7)
Sodium azide (0.172 g, 2.65 mmol) and iodine (0.120 g, 47.2 mmol) were added to a solution of 2-(1H-tetrazol-1-yl)-1H-imidazole-4,5-dicarbonitrile (0.215 g, 1.1 mmol) in DMF (10 mL). The reaction mixture was refluxed for 6 h with stirring. The reaction mixture was cooled to room temperature and added hydrochloric acid (20 mL, 1 M). The reaction mixture was extracted with ethyl acetate. The crude product was purified by column chromatography over silica gel with n-hexane–EtOAc and dried over sodium sulfate. The solvent was removed under reduced pressure and the product was isolated with satisfactory purity as a white solid (0.060 g, 15%). DSC-TGA (10 °C min−1): 179 °C (dec). IR (KBr): 3324, 3136, 2934, 2241, 2150, 1651, 1523, 1437, 1388, 1344, 1307, 1251, 1197, 667, 642, 505 cm−1. 1H NMR (400 MHz, DMSO): δ (ppm) 9.89 (s, 1H). 13C NMR (100 MHz, DMSO): δ (ppm) 160.5, 153.9, 146.3, 142.1. HRMS (ESI) for C6H4N14 (M + H): calcd 273.0743, found 273.0707. LC-MS (ES, m/z): 273 [M + H]+. C, H, N analysis (%): C6H4N14 (272), calculated result: C, 26.48; H, 1.48; N, 72.04; found: C, 26.35; H, 1.41; N, 72.15%.
2-Amino-5-cyano-1H-imidazole-4-carboxamide (8)
2-Amino-1H-imidazole-4,5-dicarbonitrile (0.300 g, 2.25 mmol) was added to the mixture of phenol (0.848 g, 9.02 mmol) and 33% HBr/AcOH. The reaction mixture was stirred for 18 h at room temperature. Then, the reaction mixture was poured into diethyl ether (20 mL) and the precipitate was filtered. The collected solid was dissolved in minimal amount of refluxed methanol (5 mL) and cooled to room temperature followed by drop wise addition of diethyl ether, the precipitate filtered and dried. White solid (0.250 g, 73.5%). DSC-TGA (10 °C min−1): 180 °C (mp). IR (KBr): 3447, 3406, 3348, 3096, 2878, 2737, 2233, 1705, 1670, 1616, 1595, 1577, 1508, 1452, 1396, 1359, 1251, 1213, 1070, 1043, 783, 702, 657, 601, 545, 486, 455 cm−1. 1H NMR (400 MHz, DMSO): δ (ppm) 7.93 (s, 2H), 7.69 (s, 2H). 13C NMR (100 MHz, DMSO): δ (ppm) 158.36, 149.32, 133.32, 111.94, 102.55. HRMS (ESI) for C5H5N5O (M + H): calcd 151.0494, found 152.0571. LC-MS (ES, m/z): 152 [M + H]+. C, H, N analysis (%): C5H5N5O (151), calculated result: C, 39.74; H, 3.33; N, 46.34; O, 10.59; found: C, 39.62; H, 3.38; N, 46.23%.
1-(1H-1,2,4-Triazol-3-yl)-1H-tetrazole (9)
1H-1,2,4-Triazol-3-amine (1 g, 11.90 mmol) and sodium azide (0.773 g, 23.80 mmol) was suspended in triethyl orthoformate (3 mL) and glacial acetic acid (20 mL) was added, and the mixture was refluxed for 8 h. The slurry was concentrated in vacuum and residue was partitioned between ethyl acetate (200 mL) and 3 N HCl (100 mL). The organic phase was dried over Na2SO4, filtered and concentrated under vacuum to get the target compound as white solid (1.5 g, 91.9%). DSC-TGA (10 °C min−1): 228 °C (dec). IR (KBr): 3130, 3032, 2985, 2908, 1547, 1479, 1381, 1324, 1277, 1200, 1179, 1122, 1091, 1014, 977 cm−1. 1H NMR (400 MHz, DMSO): δ (ppm) 10.12 (s, 1H), 8.88 (s, 1H). 13C NMR (100 MHz, DMSO): δ (ppm) 152.9, 146.2, 143.5. DEPT (100 MHz, DMSO): δ (ppm) 146.2, 143.8. HRMS (ESI) for C3H3N7 (M + Na): calcd 137.0450, found 160.0345. LC-MS (ES, m/z): 138 [M + H]+. C, H, N analysis (%): C3H3N7 (137), calculated result: C, 26.28; H, 2.21; N, 71.51; found: C, 26.58; H, 1.42; N, 72.21%.
General procedure for the preparation of salts of 9
A solution of guanidine (0.089 g, 0.729 mmol), carbohydrazide (0.065 g, 0.7293 mmol), 4H-1,2,4-triazol-4-amine (0.061 g, 0.729 mmol), 3-amino-1,2,4-triazole (0.060 g, 0.729 mmol), 3,5-diamino-1,2,4-triazole (0.072 g, 0.729 mmol), in methanol (6 mL) was slowly added to a solution of 9 (0.100 g, 0.729 mmol) in methanol (8 mL) at 25 °C with stirring. After stirring for 6 h at room temperature, the solvent was removed in vacuo to leave the desired product.
Diaminomethaniminium 3-(1H-tetrazol-1-yl)-1,2,4-triazol-1-ide (9a)
White solid (0.135 g, 94.4%). DSC-TGA (10 °C min−1): 177 °C (mp), 197 °C (dec). IR (KBr): 3410, 3192, 3146, 3032, 2980, 2908, 1676, 1578, 1541, 1479, 1386, 1272, 1189, 1112, 1091, 972, 962, 827, 539 cm−1. 1H NMR (400 MHz, DMSO): δ (ppm) 8.05 (s, 1H), 6.82 (s, 1H) 4.91 (s, 6H). 13C NMR (100 MHz, DMSO): δ (ppm) 158.3, 152.9, 146.2, 143.5. DEPT (100 MHz, DMSO): δ (ppm) 146.2, 143.5. HRMS (ESI) for C4H8N10 (M + H): calcd 196.0933, found 197.1009. LC-MS (ES, m/z): 197 [M + H]+. C, H, N analysis (%): C4H8N10 (196), calculated result: C, 24.49; H, 4.11; N, 71.40; found: C, 24.56; H, 4.06; N, 71.52%.
(Hydrazinylcarbonyl) hydrazinium 3-(1H-Tetrazol-1-yl)-1,2,4-triazol-1-ide (9b)
White solid (0.150 g, 90.5%). DSC-TGA (10 °C min−1): 143 °C (mp), 186 °C (dec). IR (KBr): 3368, 3306, 3140, 3037, 2985, 2913, 1635, 1552, 1479, 1469, 1381, 1319, 1267, 1200, 1122, 1091, 1019, 982 cm−1. 1H NMR (400 MHz, DMSO): δ (ppm) 9.45 (s, 1H), 8.19 (s, 1H) 6.57 (s, 2H), 5.74 (s, 5H). 13C NMR (100 MHz, DMSO): δ (ppm) 167.1, 157.6, 151.2, 151.1, 148.3. DEPT (100 MHz, DMSO): δ (ppm) 151.0, 148.3. LC-MS (ES, m/z): 228 [M + H]+. C, H, N analysis (%): C4H9N11O (227), calculated result: C, 21.15; H, 3.99; N, 67.82; O, 7.04; found: C, 21.06; H, 3.91; N, 67.62%.
4-Amino-4H-1,2,4-triazol-1-ium 3-(1H-tetrazol-1-yl)-1,2,4-triazol-1-ide (9c)
White solid (0.150 g, 93%). DSC-TGA (10 °C min−1): 187 °C (dec). IR (KBr): 3130, 3027, 2908, 1878, 1831, 1626, 1547, 1484, 1459, 1391, 1272, 1189, 1122, 1096, 1024, 982, 832, 729 cm−1. 1H NMR (400 MHz, DMSO): δ (ppm) 10.12 (s, 1H), 8.88 (s, 1H) 8.41 (s, 2H), 6.23 (s, 3H). 13C NMR (100 MHz, DMSO): δ (ppm) 152.9, 146.2, 144.6, 143.5. DEPT (100 MHz, DMSO): δ (ppm) 146.2, 144.6, 143.5. HRMS (ESI) for C5H7N11 (M + Na): calcd 221.0886, found 244.0763. LC-MS (ES, m/z): 222 [M + H]+. C, H, N analysis (%): C5H7N11 (221), calculated result: C, 27.15; H, 3.19; N, 69.66; found: C, 27.06; H, 3.25; N, 69.51%.
3-Amino-1H-1,2,4-triazol-4-ium 3-(1H-tetrazol-1-yl)-1,2,4-triazol-1-ide (9d)
White solid (0.160 g, 99.2%). DSC-TGA (10 °C min−1): 174 °C (mp), 191 °C (dec). IR (KBr): 3399, 3311, 3125, 3037, 2985, 2918, 1624, 1547, 1479, 1417, 1319, 1283, 1189, 1127, 1091, 1055, 1008, 982 cm−1. 1H NMR (400 MHz, DMSO): δ (ppm) 10.13 (s, 1H), 8.88 (s, 2H) 5.50 (s, 2H). 13C NMR (100 MHz, DMSO): δ (ppm) 158.8, 152.9, 146.3, 143.5. DEPT (100 MHz, DMSO): δ (ppm) 146.3, 143.5. LC-MS (ES, m/z): 222 [M + H]+. C, H, N analysis (%): C5H7N11 (221), calculated result: C, 27.15; H, 3.19; N, 69.66; found: C, 27.06; H, 3.24; N, 69.52%.
3,5-Diamino-1H-1,2,4-triazol-4-ium 3-(1H-tetrazol-1-yl)-1,2,4-triazol-1-ide (9e)
White solid (0.155 g, 90%). DSC-TGA (10 °C min−1): 141 °C (mp), 194 °C (dec). IR (KBr): 3410, 3327, 3130, 3037, 2985, 2918, 2721, 1883, 1831, 1650, 1541, 1474, 1391, 1283, 1117, 1086, 1034, 972 cm−1. 1H NMR (400 MHz, DMSO): δ (ppm) 10.13 (s, 1H), 8.88 (s, 1H). 13C NMR (100 MHz, DMSO): δ (ppm) 158.3, 152.9, 148.1, 146.2, 143.5. DEPT (100 MHz, DMSO): δ (ppm) 146.2, 143.5. LC-MS (ES, m/z): 237 [M + H]+. C, H, N analysis (%): C5H8N12 (236), calculated result: C, 25.43; H, 3.41; N, 71.16; found: C, 25.51; H, 3.36; N, 71.32%.
5-(1H-Tetrazol-1-yl)-1H-1,2,4-triazol-3-amine (10)
1H-1,2,4-Triazole-3,5-diamine (1 g, 10.1 mmol) and sodium azide (1.969 g, 30.3 mmol) was suspended in triethyl orthoformate (8 mL) and glacial acetic acid (35 mL) was added, the mixture was reflexed for 8 h. The slurry was concentrated in vacuum and residue was partitioned between ethyl acetate (500 mL) and 3 N HCl (100 mL). The organic phase was dried over Na2SO4, filtered and concentrated under vacuum to get the compound as white solid (0.800 g, 52.1%). DSC-TGA (10 °C min−1): 238 °C (dec). IR (KBr): 3491, 3393, 3119, 2922, 1697, 1651, 1562, 1531, 1444, 1325, 1255, 1192, 1163, 1101, 1072, 1039, 978, 798, 733, 653, 526 cm−1. 1H NMR (400 MHz, DMSO): δ (ppm) 12.64 (s, 1H), 9.92 (s, 1H) 6.65 (s, 2H). 13C NMR (100 MHz, DMSO): δ (ppm) 157.9, 150.4, 143.0. DEPT (100 MHz, DMSO): δ (ppm) 143.0. HRMS (ESI) for C3H4N8 (M + H): calcd 152.0559, found 153.0361. LC-MS (ES, m/z): 153 [M + H]+. C, H, N analysis (%): C3H4N8 (152), calculated result: C, 23.69; H, 2.65; N, 73.66; found: C, 23.76; H, 2.58; N, 73.45%.
General procedure for the preparation of salts of 10
A solution of guanidine (0.080 g, 0.6578 mmol), carbohydrazide (0.059 g, 0.6578 mmol), 3-amino-1,2,4-triazole (0.066 g, 0.6578 mmol), 3,5-diamino-1,2,4-triazole (0.065 g, 0.6578 mmol), in methanol (10 mL) was slowly added to a solution of 10 (0.100 g, 0.6535 mmol) in methanol (8 mL) at 25 °C with stirring. After stirring for 6 h at room temperature, the solvent was removed in vacuo to leave the desired product.
Diaminomethaniminium 3-amino-5-(1H-tetrazol-1-yl)-1,2,4-triazol-1-ide (10a)
White solid (0.130 g, 93.6%). DSC-TGA (10 °C min−1): 200 °C (dec 1), 268 °C (dec 2). IR (KBr): 3112, 2980, 1961, 1605, 1479, 1419, 1200, 1063, 953 cm−1. 1H NMR (400 MHz, DMSO): δ (ppm) 9.91 (s, 1H), 6.94 (s, 6H) 6.64 (s, 2H). 13C NMR (100 MHz, DMSO): δ (ppm) 158.3, 157.9, 150.4, 143.0. HRMS (ESI) for C4H9N11 (M + H): calcd 211.1042, found 212.1118. LC-MS (ES, m/z): 212 [M + H]+. C, H, N analysis (%): C4H9N11 (211), calculated result: C, 22.75; H, 4.30; N, 72.96; found: C, 22.61; H, 4.41; N, 72.85%.
(Hydrazinylcarbonyl)hydrazonium 3-mino-5-(1H-tetrazol-1-yl)-1,2,4-triazol-1-ide (10b)
Yellow solid (0.150 g, 94.2%). DSC-TGA (10 °C min−1): 195 °C (dec). IR (KBr): 3358, 3325, 3298, 3199, 1659, 1517, 1445, 1319, 1265, 1204, 1100, 1051, 980, 919 cm−1. 1H NMR (400 MHz, DMSO): δ (ppm) 9.94 (s, 1H), 7.25 (s, 5H) 6.68 (s, 2H). 13C NMR (100 MHz, DMSO): δ (ppm) 162.2, 157.9, 150.4, 143.0. HRMS (ESI) for C4H10N12O (M + H): calcd 242.1101, found 243.1173. LC-MS (ES, m/z): 243 [M + H]+. C, H, N analysis (%): C4H10N12O (242), calculated result: C, 19.84; H, 4.16; N, 69.40; O, 6.61; found: C, 19.69; H, 4.23; N, 69.28%.
3-Amino-1H-1,2,4-triazol-4-ium 3-amino-5-(1H-tetrazol-1-yl)-1,2,4-triazol-1-ide (10d)
White solid (0.150 g, 96.6%). DSC-TGA (10 °C min−1): 190 °C (dec). IR (KBr): 3472, 3360, 3126, 1651, 1558, 1531, 1448, 1421, 1377, 1325, 1257, 1194, 1072, 979, 868, 731, 650, 621 cm−1. 1H NMR (400 MHz, DMSO): δ (ppm) 9.90 (s, 1H), 8.42 (s, 4H) 6.67 (s, 2H). 13C NMR (100 MHz, DMSO): δ (ppm) 157.91, 150.45, 144.62, 143.02. DEPT (100 MHz, DMSO): δ (ppm) 144.61, 143.02. LC-MS (ES, m/z): 237 [M + H]+. C, H, N analysis (%): C5H8N12 (236), calculated result: C, 25.43; H, 3.41; N, 71.16; found: C, 25.15; H, 3.76; N, 70.69%.
3,5-Diamino-1H-1,2,4-triazol-4-ium 3-amino-5-(1H-tetrazol-1-yl)-1,2,4-triazol-1-ide (10e)
White solid (0.160 g, 96.8%). DSC-TGA (10 °C min−1): 120 °C (mp), 200 °C (dec). IR (KBr): 3395, 3304, 3112, 1648, 1562, 1516, 1486, 1410, 1263, 1091, 1055, 974 cm−1. 1H NMR (400 MHz, DMSO): δ (ppm) 9.91 (s, 1H), 6.67 (s, 2H). 13C NMR (100 MHz, DMSO): δ (ppm) 157.9, 150.4, 143.1, 143.0. DEPT (100 MHz, DMSO): δ (ppm) 143.0. HRMS (ESI) for C5H9N13 (M + H): calcd 251.1104, found 252.1177. LC-MS (ES, m/z): 249 [M + H]+. C, H, N analysis (%): C5H9N13 (251), calculated result: C, 23.91; H, 3.61; N, 72.48; found: C, 24.12; H, 3.21; N, 72.65%.
1-(3-Azido-1H-1,2,4-triazol-5-yl)-1H-tetrazole (11)
In 25 mL round-bottom flask, 5-(1H-tetrazol-1-yl)-1H-1,2,4-triazol-3-amine (0.200 g, 1.31 mmol) was dissolved in CH3CN (4 mL) and cooled to 0 °C in an ice bath. To this stirred mixture t-BuONO (0.203 g, 0.2347 μL, 2.27 mmol) was added followed by TMSN3 (0.1818 g, 0.2075 μL, 1.8 mmol) dropwise. The resulting solution was stirred at room temperature for 1 h. The reaction mixture was concentrated under vacuum and the crude product was purified by silica gel chromatography (hexane) to give the target product as a orange solid (0.200 g, 85.3%). DSC-TGA (10 °C min−1): 223 °C (dec). IR (KBr): 3264, 3117, 2155, 1699, 1633, 1532, 1374, 1319, 1253, 1177, 1086, 974, 878, 726 cm−1. 1H NMR (400 MHz, DMSO): δ (ppm) 10.14 (s, 1H). 13C NMR (100 MHz, DMSO): δ (ppm) 146.2, 143.6, 134.4. HRMS (ESI) for C3H2N10 (M + H): calcd 178.0464, found 179.0547. LC-MS (ES, m/z): 179 [M + H]+. C, H, N analysis (%): C3H2N10 (178), calculated result: C, 20.23; H, 1.13; N, 78.64; found: C, 20.32; H, 1.18; N, 78.54%.
General procedure for the preparation of salts of 11
A solution of 3,5-diamino-1,2,4-triazole (0.112 g, 1.13 mmol), in methanol (10 mL) was slowly added to a solution of 11 (0.200 g, 1.13 mmol) in methanol (8 mL) at 25 °C with stirring. After stirring for 6 h at room temperature, the solvent was removed in vacuo to leave the desired product.
3,5-Diamino-1H-1,2,4-triazol-4-ium 3-azido-5-(1H-tetrazol-1-yl)-1,2,4-triazol-1-ide (11e)
Orange solid (0.280 g, 88.9%). DSC-TGA (10 °C min−1): 203 °C (dec). IR (KBr): 3399, 3311, 3104, 2136, 1707, 1655, 1629, 1562, 1479, 1422, 1262, 1086, 1055, 977 cm−1. 1H NMR (400 MHz, DMSO): δ (ppm) 10.11 (s, 1H). 13C NMR (100 MHz, DMSO): δ (ppm) 156.9, 153.1, 150.3, 143.2. DEPT (100 MHz, DMSO): δ (ppm) 143.2. LC-MS (ES, m/z): 278 [M + H]+. C, H, N analysis (%): C5H7N15 (277), calculated result C, 21.66; H, 2.55; N, 75.79; found: C, 21.52; H, 2.58; N, 75.63%.
3-Azido-1H-1,2,4-triazol-5-amine (12)
1H-1,2,4-Triazole-3,5-diamine (1.5 g, 12 mmol) was dissolved in sulfuric acid (15 mL of 20%) at room temp. The clear solution obtained after dissolution was cooled to ∼0–5 °C and a solution of sodium nitrite (0.166 g, 24 mmol) in water (20 mL) was added slowly to this solution over a period of 2 h keeping the temperature below 10 °C. A small amount of urea was added to the bright yellow reaction mixture to expel the oxides of nitrogen. A solution of sodium azide (0.156 g, 24 mmol) in water (20 mL) was added in small portions while keeping the temperature below 10 °C. The resulting solution was stirred for 1 h at 20 °C and afterwards slowly heated to 40 °C. The solution was neutralized using sodium hydrogen carbonate and the product was extracted using ethyl acetate. The combined extracts were dried over magnesium sulfate. The crude off-white product, isolated by removing the solvent under vacuum, was recrystallized from dry toluene to obtain as a white solid (1.4 g, 93.3%). DSC-TGA (10 °C min−1): 153 °C (mp), 173 °C (dec). IR (KBr): 3470, 3430, 3470, 3336, 3128, 2142 (N3), 1660, 1435, 1221, 1019, 816 cm−1. 1H NMR (400 MHz, DMSO): δ (ppm) 11.84 (s, 1H), 6.27 (s, 2H). 13C NMR (100 MHz, DMSO): δ (ppm) 157.4, 154. HRMS (ESI) for C2H3N7 (M + H): calcd 125.0450, found 148.0348. LC-MS (ES, m/z): 126 [M + H]+. C, H, N analysis (%): C2H3N7 (125), calculated result: C, 19.20; H, 2.42; N, 78.38; found: C, 19.12; H, 2.46; N, 78.21%.
General procedure for the preparation of salts of 12
A solution of guanidine (0.047 g, 0.8 mmol), 3,5-diamino-1,2,4-triazole (0.079 g, 0.8 mmol), in methanol (6 mL) was slowly added to a solution of 12 (0.100 g, 0.8 mmol) in methanol (8 mL) at 25 °C with stirring. After stirring for 6 h at room temperature, the solvent was removed in vacuo to leave the desired product.
Diaminomethaniminium 5-amino-3-azido-1,2,4-triazol-1-ide (12a)
Orange solid (0.132 g, 89.6%). DSC-TGA (10 °C min−1): 167 °C (dec). IR (KBr): 3408, 3200, 2147 (N3), 1665, 1605, 1578, 1545, 1358, 1227, 1008 cm−1. 1H NMR (400 MHz, DMSO): δ (ppm) 6.93 (s, 6H), 6.28 (s, 2H). 13C NMR (100 MHz, DMSO): δ (ppm) 158.3, 157.4, 154.4. HRMS (ESI) for C3H8N10 (M + H): calcd 184.0933, found 185.1009. LC-MS (ES, m/z): 185 [M + H]+. C, H, N analysis (%): C3H8N10 (184), calculated result: C, 19.57; H, 4.38; N, 76.06; found: C, 19.46; H, 4.31; N, 76.21%.
3,5-Diamino-1H-1,2,4-triazol-4-ium 5-amino-3-azido-1,2,4-triazol-1-ide (12e)
Orange solid (0.170 g, 94.8%). DSC-TGA (10 °C min−1): 172 °C (dec). IR (KBr): 3408, 3315, 3117, 2147 (N3), 1621, 1561, 1490, 1419, 1347, 1221, 1052 cm−1. 1H NMR (400 MHz, DMSO): δ (ppm) 6.28 (s, 2H), 5.14 (s, 4H). 13C NMR (100 MHz, DMSO): δ (ppm) 158.8, 157.4, 154.4, 153.2. HRMS (ESI) for C4H8N12 (M + H): calcd 224.0995, found 225.1073. LC-MS (ES, m/z): 225 [M + H]+. C, H, N analysis (%): C4H8N12 (224), calculated result: C, 21.43; H, 3.60; N, 74.97; found: C, 21.37; H, 3.65; N, 74.85%.
Conclusions
A family of nitrogen-rich compounds and energetic salts were prepared and fully characterized. The densities of the designed salts fall within the range 1.55 to 1.78 g cm−3, which place most of them in a class of relatively dense compounds. Using Kamlet–Jacobs equations, we calculated their detonation pressures and velocities; these fall in the range 14.7 to 27.2 GPa and 6.0–7.85 km s−1, respectively. Salts of 3-nitro-1,2,4-triazole cation show high positive heat of formation, density and performance. All salts decompose between 146 and 238 °C and own good thermal stability. All the designed compounds possess negative oxygen balance, thus affects the performance of these compounds, which needs external oxygen supplier for the conversion of explosives into their gaseous reaction products. We are currently working on the mixture of these compounds with suitable oxidizer to evaluate their performance and to expand the scope of these compounds to the construction of nitrogen-rich frameworks containing diverse nitrogen heterocyclic building blocks. More importantly, it is noteworthy that most of the compounds in this work amenable to large scale synthesis with high yields, easy to control reaction conditions, reproducibility and facile purification. Furthermore, based on detonation properties and superior thermal stabilities, these salts have potential as gas generators and enthalpy modifiers in energetic materials.
Acknowledgements
The authors thank the Defence Research and Development Organization (DRDO), India in the form of a grant to ACRHEM. The authors are also grateful to the School of Chemistry and CMSD, University of Hyderabad for providing experimental and computational facilities.
Notes and references
- T. M. Klapötke, A. Preimesser and J. Stierstorfer, Z. Anorg. Allg. Chem., 2012, 638, 1278 CrossRef CAS; T. M. Klapötke and J. Stierstorfer, Dalton Trans., 2009, 643 Search PubMed; T. M. Klapötke, C. M. Sabate and J. Stierstorfer, New J. Chem., 2009, 33, 136 RSC; V. Thottempudi and J. M. Shreeve, J. Am. Chem. Soc., 2011, 133, 19982 CrossRef PubMed; V. Thottempudi, H. Gao and J. M. Shreeve, J. Am. Chem. Soc., 2011, 133, 6464 CrossRef PubMed; R. Wang, Y. Guo, Z. Zeng, B. Twamley and J. M. Shreeve, Chem. – Eur. J., 2009, 15, 2625 CrossRef PubMed; T. M. Klapötke and S. M. Sproll, Eur. J. Org. Chem., 2010, 1169 CrossRef; K. Muralidharan, B. A. Omotowa, B. Twamley, C. Piekarski and J. M. Shreeve, Chem. Commun., 2005, 5193 RSC.
- H. Gao and J. M. Shreeve, Chem. Rev., 2011, 111, 7377 CrossRef CAS PubMed.
- H. Xue, B. Twamley and J. M. Shreeve, Adv. Mater., 2005, 17, 2142 CrossRef CAS; C. F. Ye, J. C. Xiao, B. Twamley and J. M. Shreeve, Chem. Commun., 2005, 2750 RSC; C. M. Jin, C. F. Ye, C. Piekarski, B. Twamley and J. M. Shreeve, Eur. J. Inorg. Chem., 2005, 3760 CrossRef; Y. Guo, H. Gao, B. Twamley and J. M. Shreeve, Adv. Mater., 2007, 19, 2884 CrossRef; R. Wang, H. Gao, C. Ye, B. Twamley and J. M. Shreeve, Inorg. Chem., 2007, 46, 932 CrossRef PubMed; Z. Zeng, H. Gao, B. Twamley and J. M. Shreeve, J. Mater. Chem., 2007, 17, 3819 RSC; H. Xue, H. Gao, B. Twamley and J. M. Shreeve, Chem. Mater., 2007, 19, 1731 CrossRef; H. Gao, Y. Huang, C. Ye, B. Twamley and J. M. Shreeve, Chem. – Eur. J., 2008, 14, 5596 CrossRef PubMed; D. Srinivas, V. D. Ghule, S. P. Tewari and K. Muralidharan, Chem. – Eur. J., 2012, 18, 15031 CrossRef PubMed.
- J. Kohler and R. Mayer, Explosivstoffe, Wiley-VCH, Weinheim, 9th edn 1998 Search PubMed.
- S. Oga, Jpn. Kokai Tokkyo Koho, 2006JP2006249061, A20060921, AN2006:976599 Search PubMed.
- T. M. Klapötke, G. Holl, J. Geith, A. Hammerl and J. J. Weigand, New Trends in Research of Energetic Materials, in Proceedings of the Seminar, 7th, Pardubice, Czech Republic, ed. J. Wagenknecht, Press of the University of Pardubice, Pardubice, 2004, vol. 1, p. 25 Search PubMed.
- T. M. Klapötke, J. Stierstorfer and A. U. Wallek, Chem. Mater., 2008, 20, 4519 CrossRef CAS; D. Srinivas, V. D. Ghule, K. Muralidharan, H. Donald and B. Jenkins, Chem. – Asian J., 2013, 8, 1023 CrossRef PubMed; T. M. Klapötke, P. Mayer, J. J. Stierstorfer and J. J. Weigand, J. Mater. Chem., 2008, 18, 5248 RSC.
- H. Delalu, K. Karaghiosoff, T. M. Klapötke and C. M. Sabate, Cent. Eur. J. Energ. Mater., 2010, 7, 197 Search PubMed; T. Fendt, N. Fischer, T. M. Klapötke and J. Stierstorfer, Inorg. Chem., 2011, 50, 1447 CrossRef CAS PubMed; J. Stierstorfer, K. R. Tarantik and T. M. Klapötke, Chem. – Eur. J., 2009, 15, 5775 CrossRef PubMed; N. Fischer, T. M. Klapötke, J. Stierstorfer and C. Wiedemann, Polyhedron, 2011, 30, 2374 CrossRef PubMed; K. F. Warner and R. H. Granholm, J. Energ. Mater., 2011, 29, 1 CrossRef; M. I. Barmin, S. A. Gromova and V. V. Mel'nikov, Russ. J. Appl. Chem., 2001, 74, 1156 CrossRef; T. M. Klapötke, N. K. Minar and J. Stierstorfer, Polyhedron, 2009, 28, 13 CrossRef PubMed; V. Ernst, T. M. Klapötke and J. Stierstorfer, Z. Anorg. Allg. Chem., 2007, 633, 879 CrossRef; T. M. Klapötke, H. A. Laub and J. Stierstorfer, Propellants, Explos., Pyrotech., 2008, 33, 421 CrossRef; R. Damavarapu, T. M. Klapötke, J. Stierstorfer and K. R. Tarantik, Propellants, Explos., Pyrotech., 2010, 35, 395 CrossRef; N. Fischer, T. M. Klapötke and J. Stierstorfer, Z. Anorg. Allg. Chem., 2009, 635, 271 CrossRef; T. Fendt, N. Fischer, T. M. Klapötke and J. Stierstorfer, Inorg. Chem., 2011, 50, 1447 CrossRef PubMed; Y. H. Joo, H. Gao, D. A. Parrish, S. G. Cho, E. M. Goh and J. M. Shreeve, J. Mater. Chem., 2012, 22, 6123 RSC; G. H. Tao, Y. Guo, Y. H. Joo, B. Twamley and J. M. Shreeve, J. Mater. Chem., 2008, 18, 5524 RSC; Y. H. Joo, W. B. Jeong, S. G. Cho, E. M. Goh, Y. G. Lim and S. S. Moon, Bull. Korean Chem. Soc., 2012, 33, 373 CrossRef; E. F. Rothgery and K. O. Knollmueller, US Pat., 5424449, 1995 CrossRef PubMed; R. A. Batey and D. A. Powell, Org. Lett., 2000, 2, 3237 CrossRef PubMed; A. R. Modarresi Alam and M. Nasrollahzadeh, Turk. J. Chem., 2009, 33, 267 Search PubMed.
- B. Das, C. R. Reddy, D. N. Kumar, M. Krishnaiah and R. Narender, Synlett, 2010, 3, 391 CrossRef PubMed.
- Y. Lu and G. Just, Tetrahedron, 2001, 57, 1677 CrossRef CAS.
- Z. Zeng, y. Guo, B. Twamley and J. M. Shreeve, Chem. Commun., 2009, 6014 RSC; H. Huang, Z. Zhou, L. Liang, J. Song, K. Wang, D. Cao, C. Bian, W. Sun and M. Z. Xue, Z. Anorg. Allg. Chem., 2012, 638, 392 CrossRef CAS; S. Garg and J. M. Shreeve, J. Mater. Chem., 2011, 21, 4787 RSC; T. M. Klapötke and C. M. Sabaté, Chem. Mater., 2008, 20, 3629 CrossRef; T. M. Klapötke, D. G. Piercey and J. Stierstorfer, Dalton Trans., 2012, 41, 9451 RSC; S. D. Gawande, M. J. Raihan, M. R. Zanwar, K. Veerababurao, D. Janreddy, C. W. Kuo, M. L. Chen, T. S. Kuo and C. F. Yao, Tetrahedron, 2013, 69, 1841 CrossRef PubMed.
- M. Zaheeruddin and Z. H. Lodhi, Phys. Chem., 1991, 10, 111 Search PubMed; P. Jimenez, M. V. Roux and C. Turrion, J. Chem. Thermodyn., 1989, 21, 759 CrossRef CAS; A. A. Balepin, V. P. Lebedev, E. A. Miroshnichenko, G. I. Koldobskii, V. A. Ostovskii, B. P. Larionov, B. V. Gidaspov, Y. A. Lebedev and S. Veshchestv, Str. Mol, 1977, 93 Search PubMed.
- T. P. Kofman and V. I. Namestnikov, Russ. J. Org. Chem., 2003, 39, 579 CrossRef CAS.
- V. D. Ghule, D. Srinivas and K. Muralidharan, Asian J. Org. Chem., 2013, 2, 662 CrossRef CAS.
- M. J. Frisch, G. W. Trucks, H. B. Schlegel, G. E. Scuseria, M. A. Robb, J. R. Cheeseman, J. A. Montgomery, T. Vreven, Jr, K. N. Kudin, J. C. Burantand et al., Gaussian 03, revision A.1, Gaussian, Inc., Pittsburgh, PA, 2003 Search PubMed.
- D. W. M. Hofmann, Acta Crystallogr., Sect. B: Struct. Sci., 2002, 58, 489–493 Search PubMed.
- M. J. Kamlet and S. J. Jacobs, J. Chem. Phys., 1968, 48, 23 CrossRef CAS PubMed; M. J. Kamlet and E. J. Ablard, J. Chem. Phys., 1968, 48, 36 CrossRef PubMed.
- V. D. Ghule, P. M. Jadhav, R. S. Patil, S. Radhakrishnan and T. Soman, J. Phys. Chem. A, 2010, 114, 498 CrossRef CAS PubMed; V. D. Ghule, S. Radhakrishnan, P. M. Jadhav and S. P. Tewari, J. Mol. Model., 2011, 17, 1507 CrossRef PubMed; X. J. Xu, H. M. Xiao, X. H. Ju, X. D. Gong and W. H. Zhu, J. Phys. Chem. A, 2006, 110, 5929 CrossRef PubMed; V. D. Ghule, D. Srinivas, S. Radhakrishnan, P. M. Jadhav and S. P. Tewari, Struct. Chem., 2012, 23, 749 CrossRef; V. D. Ghule, J. Phys. Chem. A, 2012, 116, 9391 CrossRef PubMed.
- E. F. C. Byrd and B. M. Rice, J. Phys. Chem. A, 2006, 110, 1005 CrossRef CAS PubMed.
- P. Politzer, J. S. Murray, M. E. Grice, M. Desalvo and E. Miller, Mol. Phys., 1997, 91, 923 Search PubMed; P. Politzer and J. S. Murray, Fluid Phase Equilib., 2001, 185, 129 CrossRef CAS.
- F. A. Bulat, A. Toro-Labbe, T. Brinck, J. S. Murray and P. Politzer, J. Mol. Model., 2010, 16, 1679 CrossRef CAS PubMed.
- H. D. B. Jenkins, J. Chem. Educ., 2005, 82, 950 CrossRef CAS; L. Glasser and H. D. B. Jenkins, J. Am. Chem. Soc., 2000, 122, 632 CrossRef; H. D. B. Jenkins, D. Tudela and L. Glasser, Inorg. Chem., 2002, 41, 2364 CrossRef PubMed.
Footnote |
| † Electronic supplementary information (ESI) available. See DOI: 10.1039/c3ra47227b |
|
| This journal is © The Royal Society of Chemistry 2014 |
Click here to see how this site uses Cookies. View our privacy policy here.