Synthesis, structure and reactivity of μ3-SnH capped trinuclear nickel cluster†
Abstract
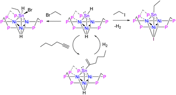
Treatment of the trichlorotin-capped trinuclear nickel cluster, [Ni3(dppm)3(μ3-Cl)(μ3-SnCl3)], 1, with 4 eq. NaHB(Et)3 yields a μ3-SnH capped trinuclear nickel cluster, [Ni3(dppm)3(μ3-H)(μ3-SnH)], 2 [dppm = bis(diphenylphosphino)methane]. Single-crystal X-ray diffraction, nuclear magnetic resonance (NMR) spectroscopy, and computational studies together support that cluster 2 is a divalent tin hydride. Complex 2 displays a wide range of reactivity including oxidative addition of bromoethane across the Sn center. Addition of 1 eq. iodoethane to complex 2 releases H2 (g) and generates an ethyltin-capped nickel cluster with a μ3-iodide, [Ni3(dppm)3(μ3-I)(μ3-Sn(CH2CH3))], 4. Notably, insertion of alkynes into the Sn–H bond of 2 can be achieved via addition of 1 eq. 1-hexyne to generate the 1-hexen-2-yl-tin-capped nickel cluster, [Ni3(dppm)3(μ3H)(μ3-Sn(C6H11))], 5. Addition of H2 (g) to 5 regenerates the starting material, 2, and hexane. The formally 44-electron cluster 2 also displays significant redox chemistry with two reversible one-electron oxidations (E = −1.3 V, −0.8 V vs. Fc0/+) and one-electron reduction process (E = −2.7 V vs. Fc0/+) observed by cyclic voltammetry.

Please wait while we load your content...