Ruthenium-catalyzed synthesis of 1,3,5-triazin-2(1H)-ones and dihydro[1,3,5]triazino[1,2-a]benzimidazoles from alcohols and guanides†
Abstract
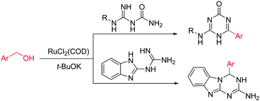
An efficient ruthenium-catalyzed synthesis of tri-substituted 1,3,5-triazinones from alcohols and guanylureas under mild conditions has been developed. The scope of both the alcohols and guanylureas in the reaction is demonstrated. This ruthenium-catalyzed ring-forming process can be successfully extended to 2-guanidinobenzimidazoles to afford substituted dihydro[1,3,5]triazino[1,2-a]benzimidazoles.

Please wait while we load your content...