Issue 19, 2014

Fabrication of novel sensors based on a synthesized acyclic pyridine derivative ionophore for potentiometric monitoring of copper

Abstract

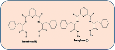
Two synthesized acyclic di-peptide pyridine derivatives were used as an effective neutral ionophore, and potassium p,chloro tetraphenylborate (KpClTPB) as anionic excluder for copper-selective poly(vinyl) chloride (PVC) membrane sensors. The sensors exhibited fast and stable near-Nernstian response over a concentration range of 8.0 × 10−6 mol L−1 to 1.0 × 10−2 mol L−1 Cu2+ with a cationic slope of 26.2–23.3 mV per decade at a pH range 3.5–5.5 with a lower detection limit of 0.32–0.57 μg mL−1. Effects of plasticizers, lipophilic salts and various foreign common ions were also tested. The validation of the method revealed good performance characteristics, including long life span, good selectivity for Cu2+ over a wide variety of other alkalis, alkali earth and transition metal ions (e.g. Na+, K+, Ag+, Hg2+, Ca2+, Zn2+, Cd2+, Co2+, Pb2+, Ni2+, Fe2+, Mg2+, Fe3+), long term stability, high reproducibility, fast response, low detection limit, wide measurement range, acceptable accuracy and precision. The sensors were successfully applied to direct determination of copper(II) in water and waste water samples. The results agreed fairly well with data obtained using atomic absorption spectrometry.

Graphical abstract: Fabrication of novel sensors based on a synthesized acyclic pyridine derivative ionophore for potentiometric monitoring of copper

Article information

Article type
Paper
Submitted
03 Apr 2014
Accepted
22 May 2014
First published
27 May 2014

Anal. Methods, 2014,6, 7814-7822

Fabrication of novel sensors based on a synthesized acyclic pyridine derivative ionophore for potentiometric monitoring of copper

A. H. Kamel, M. E. Kalifa, S. A. Abd El-Maksoud and F. A. Egendy, Anal. Methods, 2014, 6, 7814 DOI: 10.1039/C4AY00818A

To request permission to reproduce material from this article, please go to the Copyright Clearance Center request page.

If you are an author contributing to an RSC publication, you do not need to request permission provided correct acknowledgement is given.

If you are the author of this article, you do not need to request permission to reproduce figures and diagrams provided correct acknowledgement is given. If you want to reproduce the whole article in a third-party publication (excluding your thesis/dissertation for which permission is not required) please go to the Copyright Clearance Center request page.

Read more about how to correctly acknowledge RSC content.

Social activity

Spotlight

Advertisements