Stereocontrolled construction of rigid tricyclic bis(α-amino acid) derivatives by Ru(Ii)-catalyzed cascade and Diels–Alder reactions
Abstract
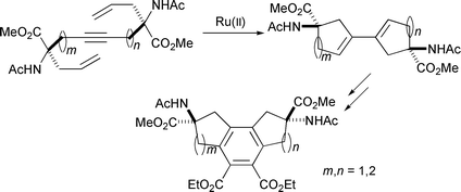
In the preparation of rigid and annulated tricyclic bis(α-amino acid) derivatives the key construction was effected by a Ru(II)-catalyzed RCM cascade reaction of gem-dienynes. The substrates were available by stepwise and stereocontrolled alkynylations and alkenylations of (2R)-2,5-dihydro-2-isopropyl-3,6-dimethoxypyrazine. The cascade products were bis-heterospiranes or symmetrical or unsymmetrical bis(α-amino acid) derivatives. Tricyclic Diels–Alder adducts were formed between diethyl acetylenedicarboxylate and the diene cascade products. Oxidative aromatization provided rigid tricyclic bis(α-amino acid) derivatives. X-Ray analysis was used to verify configurational assignments.
 
                



 Please wait while we load your content...
                                            Please wait while we load your content...
                                        