Dynamical effects on the O(3P) + D2 reaction and its impact on the Λ-doublet population
Abstract
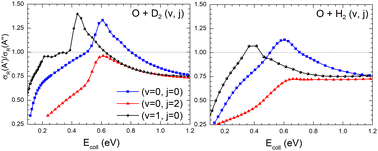
The O(3P) + D2 → OD(2Π) + D reaction presents the peculiarity of taking place on two different potential energy surfaces (PESs) of different symmetry, 3A′ and 3A′′, which become degenerate for collinear configurations where the saddle-point of the reaction is located. The degeneracy is broken for non-collinear approaches with the energy on the 3A′ PES rising more abruptly with the bending angle, making the frequency of this mode higher on the 3A′ state. Consequently, the 3A′ PES should be less reactive than the 3A′′ one. Nevertheless, quantum scattering calculations show that the cross section is higher on the 3A′ PES for energies close to the classical reaction threshold and rotationless reactant. It is found that the differences between the reactivity on the two PESs are greater for low values of total angular momentum, where the centrifugal barrier is lower and contribute to the higher population of the Π(A′) Λ-doublet states of OD at low collision energies. At high collision energies, the Π(A′) Λ-doublet state is also preferentially populated. Analysis of the differential cross sections reveals that the preponderance for the Π(A′) Λ-doublet at low energies comes from backward scattering, originating from the reaction on the 3A′ PES, while at high energies, it proceeds from a different mechanism that leads to sideways scattering on the 3A′′ PES and that populates the Π(A′) manifold.
- This article is part of the themed collection: Molecular Dynamics in the Gas Phase

Please wait while we load your content...