Issue 18, 2015

Direct and two-step bioorthogonal probes for Bruton's tyrosine kinase based on ibrutinib: a comparative study

Abstract

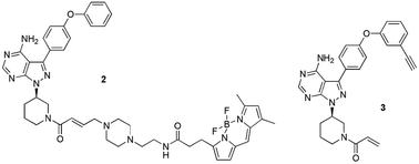
Ibrutinib is a covalent and irreversible inhibitor of Bruton's tyrosine kinase (BTK) and has been approved for the treatment of haematological malignancies, such as chronic lymphocytic leukaemia, mantle cell lymphoma and Waldenström's macroglobulinemia. The covalent and irreversible nature of its molecular mode of action allows identification and monitoring of its target in an activity-based protein profiling (ABPP) setting. Fluorescent and biotinylated ibrutinib derivatives have appeared in the literature in recent years to monitor BTK in vitro and in situ. The work described here complements this existing methodology and pertains a comparative study on the efficacy of direct and two-step bioorthogonal ABPP of BTK.

Graphical abstract: Direct and two-step bioorthogonal probes for Bruton's tyrosine kinase based on ibrutinib: a comparative study

Supplementary files

Article information

Article type
Paper
Submitted
10 Mar 2015
Accepted
27 Mar 2015
First published
27 Mar 2015

Org. Biomol. Chem., 2015,13, 5147-5157

Direct and two-step bioorthogonal probes for Bruton's tyrosine kinase based on ibrutinib: a comparative study

N. Liu, S. Hoogendoorn, B. van de Kar, A. Kaptein, T. Barf, C. Driessen, D. V. Filippov, G. A. van der Marel, M. van der Stelt and H. S. Overkleeft, Org. Biomol. Chem., 2015, 13, 5147 DOI: 10.1039/C5OB00474H

To request permission to reproduce material from this article, please go to the Copyright Clearance Center request page.

If you are an author contributing to an RSC publication, you do not need to request permission provided correct acknowledgement is given.

If you are the author of this article, you do not need to request permission to reproduce figures and diagrams provided correct acknowledgement is given. If you want to reproduce the whole article in a third-party publication (excluding your thesis/dissertation for which permission is not required) please go to the Copyright Clearance Center request page.

Read more about how to correctly acknowledge RSC content.

Social activity

Spotlight

Advertisements