Silicon, germanium, tin and lead analogues of acetylenes
Abstract
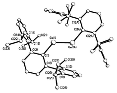
Recent experimental results which have described the characterization of the first, stable heavier group 14 element analogues of acetylenes are outlined. It is shown that the use of large terphenyl substituents allows the isolation of transition metal-heavier group 14 element complexes that can achieve essential triple bonding by a three-fold orbital interaction between the transition metal and group 14 moiety. On the other hand the alkyne analogues RMMR (R = Ge, Sn or Pb) display increasing distortions from linearity to trans-bent geometry due to the accumulation of non-bonding electron density at the group 14 element. The non-bonding electron density comes at the expense of electron density in the bonding region between the group 14 elements. Accordingly the bond orders are decreased to values that are near double for the germanium and tin derivatives and single for the lead compound.
- This article is part of the themed collection: Philip Power at 65: an icon of organometallic chemistry