Density inversion method for local basis sets without potential auxiliary functions: inverting densities from RDMFT
Abstract
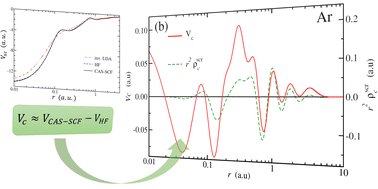
A density inversion method is presented, to obtain the constrained, optimal, local potential that has a prescribed asymptotic behaviour and reproduces optimally any given ground-state electronic density. This work builds upon the method of [Callow et al., J. Chem. Phys., 2020, 152, 164114.] and differs in the expansion of the screening density in orbital basis element products instead of basis functions of an additional auxiliary set. We demonstrated the method by applying it to densities from DFT, Hartree–Fock, CAS-SCF and RDMFT calculations. For RDMFT, we demonstrate that density inversion offers a viable single-particle description by comparing the ionization potentials for atomic and molecular systems to the corresponding experimental values. Finally, we show that with the present method, accurate correlation potentials can be obtained from the inversion of accurate densities.
- This article is part of the themed collection: 2022 PCCP HOT Articles

Please wait while we load your content...