Issue 28, 2019

Copper(ii)-mediated base pairing involving the artificial nucleobase 3H-imidazo[4,5-f]quinolin-5-ol

Abstract

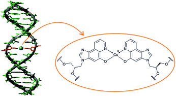
Different N3-substituted derivatives of the new ligand 3H-imidazo[4,5-f]quinolin-5-ol were synthesized. The three pKa values of its nucleoside derivative 1 were determined as 2.72 ± 0.09, 5.2 ± 0.2 and 9.7 ± 0.2. Sophisticated computational methods were used to explain these experimental acidity constants. The artificial nucleoside analogue 1 containing the new ligand was introduced into various DNA duplexes. Upon the addition of Cu(II) ions to the DNA, highly stabilizing 1–Cu(II)–1 base pairs were formed, with an increase in the DNA melting temperature upon Cu(II) insertion of up to 38 °C. The ligand represents the largest artificial nucleobase used for Cu(II)-mediated base pairing. It was also applied in Cu(II)-mediated base pairing with the smallest Cu(II)-binding nucleoside 2, involving the ligand 4-carboxyimidazole. The thermal duplex stabilization upon 2–Cu(II)–1 base pair formation is smaller than that of 1–Cu(II)–1 and comes close to that of the previously reported 2–Cu(II)–2. Important design principles for Cu(II)-mediated base pairs can be derived by comparing the homoleptic complexes of the largest and the smallest Cu(II)-binding nucleosides with the heteroleptic complexes comprising both nucleosides.

Graphical abstract: Copper(ii)-mediated base pairing involving the artificial nucleobase 3H-imidazo[4,5-f]quinolin-5-ol

Supplementary files

Article information

Article type
Paper
Submitted
15 May 2019
Accepted
11 Jun 2019
First published
11 Jun 2019

Dalton Trans., 2019,48, 10505-10515

Copper(II)-mediated base pairing involving the artificial nucleobase 3H-imidazo[4,5-f]quinolin-5-ol

N. Sandmann, J. Bachmann, A. Hepp, N. L. Doltsinis and J. Müller, Dalton Trans., 2019, 48, 10505 DOI: 10.1039/C9DT02043H

To request permission to reproduce material from this article, please go to the Copyright Clearance Center request page.

If you are an author contributing to an RSC publication, you do not need to request permission provided correct acknowledgement is given.

If you are the author of this article, you do not need to request permission to reproduce figures and diagrams provided correct acknowledgement is given. If you want to reproduce the whole article in a third-party publication (excluding your thesis/dissertation for which permission is not required) please go to the Copyright Clearance Center request page.

Read more about how to correctly acknowledge RSC content.

Social activity

Spotlight

Advertisements