Issue 38, 2018

Syntheses of the plant auxin conjugate 2-O-(indole-3-acetyl)-myo-inositol IAInos

Abstract

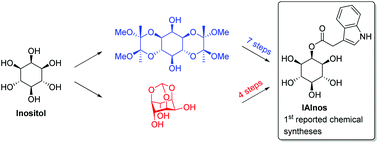
The plant hormone conjugate 2-O-(indole-3-acetyl)-myo-inositol (IAInos) has been selectively prepared for the first time by two routes from myo-inositol. One of the syntheses depended upon the construction of the 3-indoleacetyl group by a Fischer indole synthesis on an unreactive axial hydroxyl group, while the other via a direct acylation of the equatorially orientated hydroxy group created by conformational constraint of the cyclohexane ring. The latter synthesis produced IAInos in 5 steps and 29% overall yield.

Graphical abstract: Syntheses of the plant auxin conjugate 2-O-(indole-3-acetyl)-myo-inositol IAInos

Supplementary files

Article information

Article type
Communication
Submitted
27 Aug 2018
Accepted
12 Sep 2018
First published
12 Sep 2018

Org. Biomol. Chem., 2018,16, 6860-6864

Syntheses of the plant auxin conjugate 2-O-(indole-3-acetyl)-myo-inositol IAInos

S. Silva, O. S. Ascenso, E. C. Lourenço, M. Archer, C. D. Maycock and M. R. Ventura, Org. Biomol. Chem., 2018, 16, 6860 DOI: 10.1039/C8OB02096E

To request permission to reproduce material from this article, please go to the Copyright Clearance Center request page.

If you are an author contributing to an RSC publication, you do not need to request permission provided correct acknowledgement is given.

If you are the author of this article, you do not need to request permission to reproduce figures and diagrams provided correct acknowledgement is given. If you want to reproduce the whole article in a third-party publication (excluding your thesis/dissertation for which permission is not required) please go to the Copyright Clearance Center request page.

Read more about how to correctly acknowledge RSC content.

Social activity

Spotlight

Advertisements