Abstract
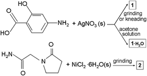
In this communication we describe the solid-state preparation and structural characterization of the coordination and hydrogen bonding networks formed by the
- This article is part of the themed collection: Editor’s Collection: Mechanochemistry
Please wait while we load your content...