Issue 13, 2017

Inter- and intramolecular aldol reactions promiscuously catalyzed by a proline-based tautomerase

Abstract

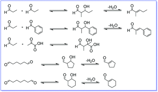
The enzyme 4-oxalocrotonate tautomerase (4-OT), which in nature catalyzes a tautomerization step as part of a catabolic pathway for aromatic hydrocarbons, was found to promiscuously catalyze different types of aldol reactions. These include the self-condensation of propanal, the cross-coupling of propanal and benzaldehyde, the cross-coupling of propanal and pyruvate, and the intramolecular cyclizations of hexanedial and heptanedial. Mutation of the catalytic amino-terminal proline (P1A) greatly reduces 4-OT's aldolase activities, whereas mutation of another active site residue (F50A) strongly enhances 4-OT's aldolase activities, indicating that aldolization is an active site process. This catalytic promiscuity of 4-OT could be exploited as starting point to create tailor-made, artificial aldolases for challenging self- and cross-aldolizations.

Graphical abstract: Inter- and intramolecular aldol reactions promiscuously catalyzed by a proline-based tautomerase

Supplementary files

Article information

Article type
Paper
Submitted
08 Feb 2017
Accepted
02 Mar 2017
First published
02 Mar 2017

Org. Biomol. Chem., 2017,15, 2809-2816

Inter- and intramolecular aldol reactions promiscuously catalyzed by a proline-based tautomerase

M. Rahimi, E. M. Geertsema, Y. Miao, J. van der Meer, T. van den Bosch, P. de Haan, E. Zandvoort and G. J. Poelarends, Org. Biomol. Chem., 2017, 15, 2809 DOI: 10.1039/C7OB00302A

To request permission to reproduce material from this article, please go to the Copyright Clearance Center request page.

If you are an author contributing to an RSC publication, you do not need to request permission provided correct acknowledgement is given.

If you are the author of this article, you do not need to request permission to reproduce figures and diagrams provided correct acknowledgement is given. If you want to reproduce the whole article in a third-party publication (excluding your thesis/dissertation for which permission is not required) please go to the Copyright Clearance Center request page.

Read more about how to correctly acknowledge RSC content.

Social activity

Spotlight

Advertisements