Causal discovery of drivers of surface ozone variability in Antarctica using a deep learning algorithm†
Abstract
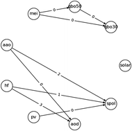
The discovery of causal structures behind a phenomenon under investigation has been at the heart of scientific inquiry since the beginning. Randomized control trials, the gold standard for causal analysis, may not always be feasible, such as in the domain of climate sciences. In the absence of interventional data, we are forced to depend only on observational data. This study demonstrates the application of one such causal discovery algorithm using a neural network for identifying the drivers of surface ozone variability in Antarctica. The analyses reveal the overarching influence of the stratosphere on the surface ozone variability in Antarctica, buttressed by the southern annular mode and tropospheric wave forcing in mid-latitudes. We find no significant and robust evidence for the influence of tropical teleconnection on the ground-level ozone in Antarctica. As the field of atmospheric science is now replete with a massive stock of observational data, both satellite and ground-based, this tool for automated causal structure discovery might prove to be invaluable for scientific investigation and flawless decision making.
- This article is part of the themed collections: Atmospheric chemistry and SDG13: Climate Action – Ozone Depletion

Please wait while we load your content...