Issue 18, 2019

A new route to tricyclane sesquiterpenoids: total synthesis of α-ekasantalic acid

Abstract

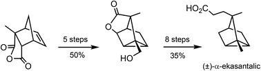
Chemical manipulation of the cycloadduct of citraconic anhydride and cyclopentadiene enables a new synthetic route to tricyclane sesquiterpenoids. This methodology is applied to the first total synthesis of α-ekasantalic acid.

Graphical abstract: A new route to tricyclane sesquiterpenoids: total synthesis of α-ekasantalic acid

Supplementary files

Article information

Article type
Communication
Submitted
18 Mar 2019
Accepted
09 Apr 2019
First published
09 Apr 2019

Org. Biomol. Chem., 2019,17, 4456-4459

A new route to tricyclane sesquiterpenoids: total synthesis of α-ekasantalic acid

L. Lomba, K. Afarinkia and V. Vinader, Org. Biomol. Chem., 2019, 17, 4456 DOI: 10.1039/C9OB00630C

To request permission to reproduce material from this article, please go to the Copyright Clearance Center request page.

If you are an author contributing to an RSC publication, you do not need to request permission provided correct acknowledgement is given.

If you are the author of this article, you do not need to request permission to reproduce figures and diagrams provided correct acknowledgement is given. If you want to reproduce the whole article in a third-party publication (excluding your thesis/dissertation for which permission is not required) please go to the Copyright Clearance Center request page.

Read more about how to correctly acknowledge RSC content.

Social activity

Spotlight

Advertisements