Issue 6, 2025

A general route to design solar thermoelectric generators under the constant heat flux thermal boundary

Abstract

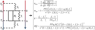
Solar thermoelectric generators (STEGs) convert solar heat into electricity, attracting interest in powering various Internet-of-Things devices. The conventional route to design a STEG involves separate considerations of thermal engineering and materials science by using a thermal boundary condition of constant heat flux. This paper provides a more direct and convenient way to design solar thermoelectric generators. First, we propose a general efficiency model and figure-of-merit (ZQ), which directly incorporates the thermal boundary conditions, heat exchange thermal resistances, device architecture dimensions, and material performances. ZQ reveals an equivalent effect between the heat flux and leg height in determining efficiency. We have shown that ZQ provides a concise guideline to boost the efficiency of heat-concentrated STEGs through engineering the insulation materials, covering materials, heat-concentrated coefficients, and thermoelectric material height, and the efficiency of light-concentrated STEGs by tuning the light-concentrated coefficient, catalyst dose, and aerogel height. As a result, an efficiency enhancement of over five times was achieved in the as-fabricated STEG system. The potential applications of the proposed efficiency model and ZQ in other scenarios with constant heat flux conditions were extensively discussed according to different thermal resistance parameters, including STEGs with different cooling modes, waste heat harvesting from industry operations, photovoltaic–thermoelectric combined systems, etc. Our work highlights the significant progress in bridging between thermal engineering and materials science, advancing the thermoelectric power generation technology.

Graphical abstract: A general route to design solar thermoelectric generators under the constant heat flux thermal boundary

Supplementary files

Article information

Article type
Paper
Submitted
08 Oct 2024
Accepted
20 Jan 2025
First published
05 Feb 2025

Energy Environ. Sci., 2025,18, 2861-2872

A general route to design solar thermoelectric generators under the constant heat flux thermal boundary

H. Li, Y. Wang, X. Wu, K. Zhu, S. Wang, M. Yu and W. Liu, Energy Environ. Sci., 2025, 18, 2861 DOI: 10.1039/D4EE04620J

To request permission to reproduce material from this article, please go to the Copyright Clearance Center request page.

If you are an author contributing to an RSC publication, you do not need to request permission provided correct acknowledgement is given.

If you are the author of this article, you do not need to request permission to reproduce figures and diagrams provided correct acknowledgement is given. If you want to reproduce the whole article in a third-party publication (excluding your thesis/dissertation for which permission is not required) please go to the Copyright Clearance Center request page.

Read more about how to correctly acknowledge RSC content.

Social activity

Spotlight

Advertisements