Structure–activity prediction networks (SAPNets): a step beyond Nano-QSAR for effective implementation of the safe-by-design concept†
Abstract
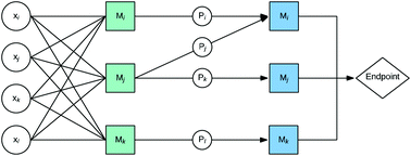
A significant number of experimental studies are supported by computational methods such as quantitative structure–activity relationship modeling of nanoparticles (Nano-QSAR). This is especially so in research focused on design and synthesis of new, safer nanomaterials using safe-by-design concepts. However, Nano-QSAR has a number of important limitations. For example, it is not clear which descriptors that describe the nanoparticle physicochemical and structural properties are essential and can be adjusted to alter the target properties. This limitation can be overcome with the use of the Structure–Activity Prediction Network (SAPNet) presented in this paper. There are three main phases of building the SAPNet. First, information about the structural characterization of a nanomaterial, its physical and chemical properties and toxicity is compiled. Then, the most relevant properties (intrinsic/extrinsic) likely to influence the ENM toxicity are identified by developing “meta-models”. Finally, these “meta-models” describing the dependencies between the most relevant properties of the ENMs and their adverse biological properties are developed. In this way, the network is built layer by layer from the endpoint (e.g. toxicity or other properties of interest) to descriptors that describe the particle structure. Therefore, SAPNets go beyond the current standards and provide sufficient information on what structural features should be altered to obtain a material with desired properties.
- This article is part of the themed collection: 2020 Nanoscale HOT Article Collection

Please wait while we load your content...