Determination of phenanthrenes and stilbenoid in the ethyl acetate extract of Thunia alba (Lindl) by HPLC-DAD
Abstract
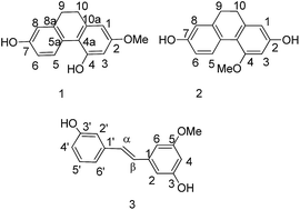
The target of this work was to determine the amount of phenanthrenes and stilbenoid in the ethyl acetate extract of Thunia alba (Lindl). Compounds lusianthridin (1), coelonin (2) (two phenanthrenes) and thunalbene (3) (a stilbenoid) were isolated from Thunia alba (Lindl) by column chromatography and SephadexLH-20. Their structures were elucidated on the basis of spectral data (UV, MS, 1H NMR, and 13C NMR) with references. Then, three compounds were used as standards for HPLC determination. Method validation was performed with linearity, limit of detection (LOD), limit of quantification (LOQ), precision, stability, repeatability, recovery, selectivity and robustness. The experimental results showed that the linearity of the method was in the range from 0.06 to 0.80 μg ml−1 with regression coefficients ranging from 0.9987 to 0.9996. The limits of detection were 0.007, 0.009 and 0.013 μg ml−1 and the limits of quantification were 0.027, 0.022 and 0.033 μg ml−1 for compounds 1, 2 and 3, respectively. The relative standard deviation (RSD) values of precision, stability and repeatability were in the range from 0.67% to 2.82%. The average recoveries (n = 6) ranged from 96.81% to 102.69% and the RSD values varied from 1.59% to 1.81%. Method validation showed that the established method is accurate, simple and repeatable and can be used to provide a reference for the quality control of Thunia alba (Lindl).
Please wait while we load your content...