Issue 12, 2012

Conversion of primary amines into secondary amines on a metal–organic framework using a tandem post-synthetic modification

Abstract

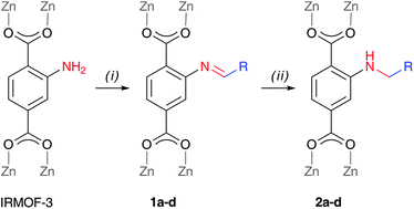
The amine-functionalised metal–organic framework (MOF) [Zn4O(bdc-NH2)3] (IRMOF-3, bdc-NH2 = 2-amino-1,4-benzenedicarboxylate) has been post-synthetically modified in a tandem condensation-reduction process into secondary amine-containing MOFs. The degree of modification is enhanced by introduction of methanol, which helps to remove boron-containing side-products from the pores.

Graphical abstract: Conversion of primary amines into secondary amines on a metal–organic framework using a tandem post-synthetic modification

Supplementary files

Article information

Article type
Communication
Submitted
27 Jan 2012
Accepted
01 Mar 2012
First published
09 Mar 2012

CrystEngComm, 2012,14, 4112-4114

Conversion of primary amines into secondary amines on a metal–organic framework using a tandem post-synthetic modification

A. D. Burrows and L. L. Keenan, CrystEngComm, 2012, 14, 4112 DOI: 10.1039/C2CE25131K

To request permission to reproduce material from this article, please go to the Copyright Clearance Center request page.

If you are an author contributing to an RSC publication, you do not need to request permission provided correct acknowledgement is given.

If you are the author of this article, you do not need to request permission to reproduce figures and diagrams provided correct acknowledgement is given. If you want to reproduce the whole article in a third-party publication (excluding your thesis/dissertation for which permission is not required) please go to the Copyright Clearance Center request page.

Read more about how to correctly acknowledge RSC content.

Social activity

Spotlight

Advertisements