Examining charge transport networks in organic bulk heterojunction photovoltaic diodes using 1/f noise spectroscopy†
Abstract
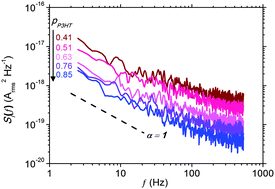
In this article we present 1/f noise spectroscopy measurements relating to charge transport networks in poly(3-hexylthiophene) (P3HT):phenyl-C61-butyric acid methyl ester (PCBM) space-charge limited diode (SCLD) and organic photovoltaic (OPV) devices. The P3HT:PCBM active layer was varied to give a range of compositions and heterogeneities. The noise data obtained suggest that un-annealed P3HT:PCBM OPVs are limited by poor hole transport through the mixed phase, and that annealing promotes a more heterogeneous network, resulting in efficient charge transport through an increased population of P3HT crystallites, and better OPV performance. These findings are in agreement with literature studies for similar devices using other measurement techniques, demonstrating that 1/f noise is sensitive to the nature of the charge transport network in bipolar devices. Previous data only confirmed the sensitivity of 1/f noise spectroscopy to the charge transport network in unipolar devices, hence the current data suggest the technique can be used more generally to investigate charge transport networks in bulk heterojunction organic electronic devices such as OPVs and organic light-emitting diodes.
- This article is part of the themed collection: Highlighting materials research in the UK for optical, magnetic and electronic devices
Please wait while we load your content...