Issue 42, 2011

Wilkinson's iridium acetate trimer as a water-oxidation catalyst

Abstract

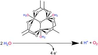
The catalytic water-oxidation activity of Wilkinson's iridium acetate trimer (1) has been characterized electrochemically and by using chemical oxidants. We show that 1 can function as an operationally homogeneous water-oxidation catalyst when driven with sodium periodate as a primary oxidant, but rapidly decomposes using Ce(IV) as a primary oxidant.

Graphical abstract: Wilkinson's iridium acetate trimer as a water-oxidation catalyst

Supplementary files

Article information

Article type
Communication
Submitted
05 Sep 2011
Accepted
15 Sep 2011
First published
28 Sep 2011

Chem. Commun., 2011,47, 11745-11747

Wilkinson's iridium acetate trimer as a water-oxidation catalyst

A. R. Parent, J. D. Blakemore, G. W. Brudvig and R. H. Crabtree, Chem. Commun., 2011, 47, 11745 DOI: 10.1039/C1CC15501F

To request permission to reproduce material from this article, please go to the Copyright Clearance Center request page.

If you are an author contributing to an RSC publication, you do not need to request permission provided correct acknowledgement is given.

If you are the author of this article, you do not need to request permission to reproduce figures and diagrams provided correct acknowledgement is given. If you want to reproduce the whole article in a third-party publication (excluding your thesis/dissertation for which permission is not required) please go to the Copyright Clearance Center request page.

Read more about how to correctly acknowledge RSC content.

Social activity

Spotlight

Advertisements