Issue 19, 2002

Synthesis of (R)-6,7-dihydro-5-HETE lactone and (S)-6,7-dihydro-5-HETE lactone by using novel yeast reduction as a key reaction

Abstract

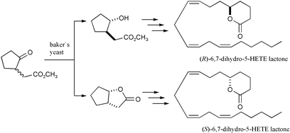
Novel yeast reduction which gave (1R,2S)-hydroxy ester 10 and (1S,5S)-lactone 11 from racemic ketoester 12 was discovered. After 10 and 11 were converted to lactone 15 and 17, enantiomeric excesses were determined as 99% and 95%, respectively. This novel yeast reduction was applied to synthetic study of metabolites of 5-oxo-ETE 1. (R)-6,7-Dihydro-5-HETE lactone 5 and (S)-6,7-dihydro-5-HETE lactone 6 were synthesized from 15 and 17, respectively.

Graphical abstract: Synthesis of (R)-6,7-dihydro-5-HETE lactone and (S)-6,7-dihydro-5-HETE lactone by using novel yeast reduction as a key reaction

Article information

Article type
Paper
Submitted
12 Jul 2002
Accepted
06 Aug 2002
First published
30 Aug 2002

J. Chem. Soc., Perkin Trans. 1, 2002, 2156-2160

Synthesis of (R)-6,7-dihydro-5-HETE lactone and (S)-6,7-dihydro-5-HETE lactone by using novel yeast reduction as a key reaction

S. Yamauchi, K. Takeda, M. Ganaha and Y. Kinoshita, J. Chem. Soc., Perkin Trans. 1, 2002, 2156 DOI: 10.1039/B206843P

To request permission to reproduce material from this article, please go to the Copyright Clearance Center request page.

If you are an author contributing to an RSC publication, you do not need to request permission provided correct acknowledgement is given.

If you are the author of this article, you do not need to request permission to reproduce figures and diagrams provided correct acknowledgement is given. If you want to reproduce the whole article in a third-party publication (excluding your thesis/dissertation for which permission is not required) please go to the Copyright Clearance Center request page.

Read more about how to correctly acknowledge RSC content.

Spotlight

Advertisements