Pyrolysis of sweet lemon (Citrus limetta) waste: effect of zeolite β, ammonium on kinetics and bio-oil yield
Abstract
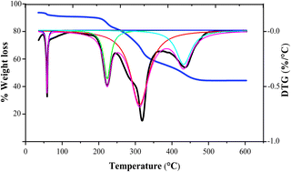
This study aims to explore the potential of citrus waste for valuable products. A special pyrolysis chamber was used to produce bio-oil through thermo-catalytic pyrolysis of sweet lemon (Citrus limetta) waste with a zeolite β, ammonium catalyst. The kinetic parameters were derived from thermogravimetric data using the Kissinger equation. The activation energy and frequency factor values for hemicellulose, cellulose, and lignin were determined to be 83.14, 108.08, and 124.71 kJ mol−1 and 6.3 × 104, 9.4 × 106, 2.6 × 109 min−1, respectively. GC-MS analysis of the bio-oil revealed a variety of fuel-range hydrocarbons. Additionally, the biochar generated from non-catalytic and catalytic pyrolysis was compared, exhibiting different surface characteristics, as evident by scanning electron and transmission electron microscopy images. Our findings indicated that zeolite β, ammonium served as an effective catalyst by reducing the activation energy and lowering the temperature required for maximum degradation during pyrolysis, ultimately yielding a diverse array of useful products from citrus waste compared to the non-catalyzed reaction. Based on the fuel properties, it was concluded that the bio-oil, if slightly upgraded using the appropriate techniques, has a promising future as a green fuel.
- This article is part of the themed collection: Research advancing UN SDG 7: Affordable and clean energy

Please wait while we load your content...