Issue 30, 2012

New parasite inhibitors encompassing novel conformationally-locked 5′-acyl sulfamoyl adenosines

Abstract

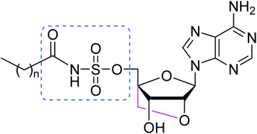
We describe the design, synthesis and biological evaluation of conformationally-locked 5′-acyl sulfamoyl adenosine derivatives as new parasitic inhibitors against Trypanosoma and Leishmania. The conformationally-locked (3′-endo, North-type) nucleosides have been synthesized by covalently attaching a 4′-CH2–O-2′ bridge (Fig. 2) across C2′–C4′ of adenosine in order to reduce the conformational flexibility of the pentose ring. This is designed to decrease the entropic penalty for complex formation with the target protein, which may improve free-energy of stabilization of the complex leading to improved potency. Conformationally-locked 5′-acyl sulfamoyl adenosine derivatives (16–22) were tested against parasitic protozoans for the first time in this work, and showed potent inhibition of Trypanosoma cruzi, Trypanosoma brucei, Trypanosoma rhodesiense and Leishmania infantum with IC50 = 0.25–0.51 μM. In particular, the potent 5′-pentanyl acyl sulfamoyl adenosine derivative 17 (IC50 = 0.25 μM) against intracellular L. infantum amastigotes and Trypanosoma subspecies is interesting in view of its almost insignificant cytotoxicity in murine macrophage host cells (CC50 >4 μM) and in diploid human fibroblasts MRC-5 cell lines (CC50 4 μM). This work also suggests that variable alkyl chain length of the acyl group on the acylsulfamoyl side chain at 5′ can modulate the toxicity of 5′-O-sulfamoylnucleoside analogues. This conformationally-locked sulfamoyl adenosine scaffold presents some interesting possibilities for further drug design and lead optimization.

Graphical abstract: New parasite inhibitors encompassing novel conformationally-locked 5′-acyl sulfamoyl adenosines

Supplementary files

Article information

Article type
Paper
Submitted
08 May 2012
Accepted
23 May 2012
First published
25 May 2012

Org. Biomol. Chem., 2012,10, 6121-6129

New parasite inhibitors encompassing novel conformationally-locked 5′-acyl sulfamoyl adenosines

S. S. Dixit, R. S. Upadhayaya and J. Chattopadhyaya, Org. Biomol. Chem., 2012, 10, 6121 DOI: 10.1039/C2OB25879J

To request permission to reproduce material from this article, please go to the Copyright Clearance Center request page.

If you are an author contributing to an RSC publication, you do not need to request permission provided correct acknowledgement is given.

If you are the author of this article, you do not need to request permission to reproduce figures and diagrams provided correct acknowledgement is given. If you want to reproduce the whole article in a third-party publication (excluding your thesis/dissertation for which permission is not required) please go to the Copyright Clearance Center request page.

Read more about how to correctly acknowledge RSC content.

Social activity

Spotlight

Advertisements