A synergistic radical concentration increase in eumelanin–PEDOT:PSS blends: mammalian pigment-based doping for thermopower improvement†
Abstract
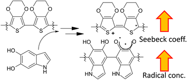
Moving from a previous investigation of eumelanin and PEDOT:PSS blends we decided to explore the possible contribution of eumelanin to thermopower improvement of PEDOT:PSS in light of the well-known radical character of the mammalian pigment. Determination of the Seebeck coefficient and conductivity showed an effective contribution of eumelanin blending to the PEDOT thermoelectric properties. Notably, these effects correlate with a marked modification of paramagnetic features of both PEDOT and eumelanin after blending. A possible model for the interaction of PEDOT radical cations and eumelanin radical anions is proposed based on the chemical properties of the materials and the fabrication protocol of the blends.
- This article is part of the themed collection: Progress in fundamental, functional material and health aspects of melanins and related materials

Please wait while we load your content...