Issue 1, 2011

Mechanism of the gold-catalyzed cyclopropanation of alkenes with 1,6-enynes

Abstract

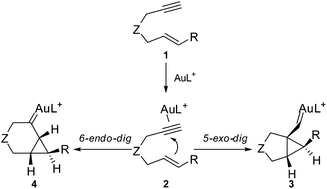
The gold(I)-catalyzed intermolecular cyclopropanation of alkenes with 1,6-enynes is an electrophilic process, which is mechanistically related to the well-known Simmons–Smith reaction proceeding through zinc carbenoids. This cyclopropanation is stereospecific, even in cases where the reaction was found to proceed stepwise.

Graphical abstract: Mechanism of the gold-catalyzed cyclopropanation of alkenes with 1,6-enynes

Supplementary files

Article information

Article type
Edge Article
Submitted
15 Jun 2010
Accepted
30 Jul 2010
First published
21 Sep 2010

Chem. Sci., 2011,2, 141-149

Mechanism of the gold-catalyzed cyclopropanation of alkenes with 1,6-enynes

P. Pérez-Galán, E. Herrero-Gómez, D. T. Hog, N. J. A. Martin, F. Maseras and A. M. Echavarren, Chem. Sci., 2011, 2, 141 DOI: 10.1039/C0SC00335B

To request permission to reproduce material from this article, please go to the Copyright Clearance Center request page.

If you are an author contributing to an RSC publication, you do not need to request permission provided correct acknowledgement is given.

If you are the author of this article, you do not need to request permission to reproduce figures and diagrams provided correct acknowledgement is given. If you want to reproduce the whole article in a third-party publication (excluding your thesis/dissertation for which permission is not required) please go to the Copyright Clearance Center request page.

Read more about how to correctly acknowledge RSC content.

Social activity

Spotlight

Advertisements