Magnetic-field effects in ambipolar transistors based on a bipolar molecular glass†
Abstract
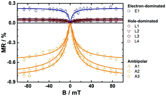
We show for the first time magnetoresistance effects in ambipolar transistors based on a single amorphous organic thin-film. The active material is a low-molecular weight spirobifluorene-bridged bipolar molecular glass, namely N-[7-(N,N-diphenylamino)-9,9′-spirobifluoren-2-yl]-N′-(2,5-di-tert-butylphenyl)-3,4:9,10-perylenetetracarboxylicdiimide (Spiro-DPASP-tBu-phenyl). Depending on the applied drain and gain voltages, we can address distinct regimes for electron-dominated, hole-dominated or ambipolar charge transport and study their individual magnetotransport properties. We obtain positive magnetoresistance in the unipolar charge transport regime arising from magnetic-field dependent bipolaron formation. In contrast, we obtain negative magnetoresistance in the ambipolar charge transport regime based on a magnetosensitive recombination rate for electron–hole pairs. Thus, our devices feature two magnetic-field dependent components with opposite sign which can be systematically controlled by the applied drain and gate voltages. This study shows that ambipolar organic transistors are not only an interesting platform for the investigation of various magnetic field effects, but also represent a promising starting point for the development of multifunctional magneto-optoelectronic applications.
- This article is part of the themed collections: Materials Chemistry Frontiers HOT articles for 2017 and MCF Editors’ Recommendation
Please wait while we load your content...