Watch out electrons!: positron binding redefines chemical bonding in Be2
Abstract
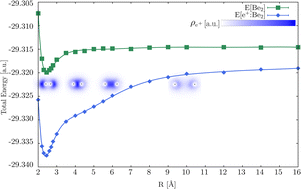
Positrons, the antiparticles of electrons, serve as unique probes for fundamental interactions and are crucial in diverse applications. We present a new mechanism in chemical bonding: the formation of a positron-driven bond that fundamentally alters electronic bonding interactions. Investigating the Be2 dimer with Quantum Monte Carlo (QMC) simulations, we construct the potential energy curve of e+:Be2. Our analysis reveals a significant energetic stabilization of the Be–Be bond upon positron attachment, a result that challenges conventional understanding. We show this stabilization arises from a novel, two-stage mechanism: at longer distances, a positron bond forms via internuclear positron accumulation, similar to that in positron–anion systems. However, as the atoms approach equilibrium, the positron density undergoes a unique redistribution, moving out of the internuclear region to accumulate in the outer molecular vicinity. This distinct positron localization, combined with an otherwise repulsive electronic component, leads to overall system stabilization as the electron density dynamically follows the positron. This work expands our understanding of chemical bonding by strongly suggesting how an antiparticle can profoundly influence molecular stability.
- This article is part of the themed collections: 2025 ChemSci Pick of the Week Collection, 2025 Chemical Science HOT Article Collection, 15th anniversary: Chemical Science community collection and 2025 Chemical Science Covers

Please wait while we load your content...