Augmentation of inductive effects through short range intramolecular hydrogen bonds for the improvement of cooperativity of trimeric rosettes†
Abstract
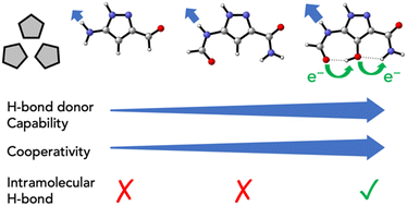
Cooperativity in hydrogen bonds can be crucial for the stabilization of supramolecular systems. In this contribution, we propose a simple covalent modification within a pyrazole-based trimeric rosette that significantly improves its binding strength. Using dispersion-corrected density functional theory, at the BLYP-D3(BJ)/6-311++(d,p) level, we show how an intramolecular hydrogen bond acts as a bridge between an electron-donating group and an electron-withdrawing group by moving the electron density from one group to the other one through the sigma electron system. This effect strongly enhances the inductive ability of the substituents, and further increases the synergy of the cyclic trimer.
- This article is part of the themed collection: #RSCPoster Conference

Please wait while we load your content...