Issue 6, 2023

Insulator-to-metal phase transition in a few-layered MoSe2 field effect transistor

Abstract

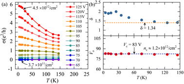
The metal-to-insulator phase transition (MIT) in low-dimensional materials and particularly two-dimensional layered semiconductors is exciting to explore due to the fact that it challenges the prediction that a two-dimensional system must be insulating at low temperatures. Thus, the exploration of MITs in 2D layered semiconductors expands the understanding of the underlying physics. Here we report the MIT of a few-layered MoSe2 field effect transistor under a gate bias (electric field) applied perpendicular to the MoSe2 layers. With low applied gate voltage, the conductivity as a function of temperature from 150 K to 4 K shows typical semiconducting to insulating character. Above a critical applied gate voltage, Vc, the conductivity becomes metallic (i.e., the conductivity increases continuously as a function of decreasing temperature). Evidence of a metallic state was observed using an applied gate voltage or, equivalently, increasing the density of charge carriers within the 2D channel. We analyzed the nature of the phase transition using percolation theory, where conductivity scales with the density of charge carriers as σ ∝ (nnc)δ. The critical exponent for a percolative phase transition, δ(T), has values ranging from 1.34 (at T = 150 K) to 2 (T = 20 K), which is close to the theoretical value of 1.33 for percolation to occur. Thus we conclude that the MIT in few-layered MoSe2 is driven by charge carrier percolation. Furthermore, the conductivity does not scale with temperature, which is a hallmark of a quantum critical phase transition.

Graphical abstract: Insulator-to-metal phase transition in a few-layered MoSe2 field effect transistor

Supplementary files

Article information

Article type
Paper
Submitted
12 Sep 2022
Accepted
06 Jan 2023
First published
06 Jan 2023

Nanoscale, 2023,15, 2667-2673

Author version available

Insulator-to-metal phase transition in a few-layered MoSe2 field effect transistor

N. R. Pradhan, C. Garcia, B. Chakrabarti, D. Rosenmann, R. Divan, A. V. Sumant, S. Miller, D. Hilton, D. Karaiskaj and S. A. McGill, Nanoscale, 2023, 15, 2667 DOI: 10.1039/D2NR05019F

To request permission to reproduce material from this article, please go to the Copyright Clearance Center request page.

If you are an author contributing to an RSC publication, you do not need to request permission provided correct acknowledgement is given.

If you are the author of this article, you do not need to request permission to reproduce figures and diagrams provided correct acknowledgement is given. If you want to reproduce the whole article in a third-party publication (excluding your thesis/dissertation for which permission is not required) please go to the Copyright Clearance Center request page.

Read more about how to correctly acknowledge RSC content.

Social activity

Spotlight

Advertisements