Recent advances in the conversion of furfural into bio-chemicals through chemo- and bio-catalysis
Abstract
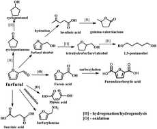
Furfural is a promising renewable platform molecule derived from hemi-cellulose, which can be further converted to fossil fuel alternatives and valuable chemicals due to its highly functionalized molecular structure. This mini-review summarizes the recent progress in the chemo-catalytic and/or bio-catalytic conversion of furfural into high-value-added chemicals, including furfurylamine, C6 carboxylic acid, i.e., furandicarboxylic acid, furfural alcohol, aromatics, levulinic acid, maleic acid, succinic acid, furoic acid, and cyclopentanone, particularly the advances in the catalytic valorization of furfural into useful chemicals in the last few years. The possible reaction mechanisms for the conversion of furfural into bio-chemicals are summarized and discussed. The future prospective and challenges in the utilization of furfural through chemo- and bio-catalysis are also put forward for the further design and optimization of catalytic processes for the conversion of furfural.
- This article is part of the themed collection: 2021 Reviews in RSC Advances

Please wait while we load your content...