Issue 13, 2020

Antiaromaticity gain increases the potential for n-type charge transport in hydrogen-bonded π-conjugated cores

Abstract

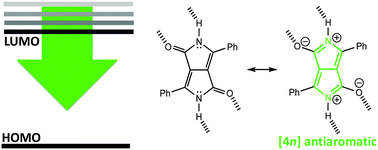
Density functional theory computations suggest that formally non-aromatic organic dyes, like diketopyrrolopyrrole, naphthodipyrrolidone, indigo, and isoindigo, show increased [4n] π-antiaromatic character and decreased LUMO orbital energies upon hydrogen bonding, making them suitable molecular candidates for applications in n-type organic field effect transistors.

Graphical abstract: Antiaromaticity gain increases the potential for n-type charge transport in hydrogen-bonded π-conjugated cores

Supplementary files

Article information

Article type
Communication
Submitted
12 Dec 2019
Accepted
13 Jan 2020
First published
13 Jan 2020

Chem. Commun., 2020,56, 2008-2011

Author version available

Antiaromaticity gain increases the potential for n-type charge transport in hydrogen-bonded π-conjugated cores

Z. Wen and J. I. Wu, Chem. Commun., 2020, 56, 2008 DOI: 10.1039/C9CC09670A

To request permission to reproduce material from this article, please go to the Copyright Clearance Center request page.

If you are an author contributing to an RSC publication, you do not need to request permission provided correct acknowledgement is given.

If you are the author of this article, you do not need to request permission to reproduce figures and diagrams provided correct acknowledgement is given. If you want to reproduce the whole article in a third-party publication (excluding your thesis/dissertation for which permission is not required) please go to the Copyright Clearance Center request page.

Read more about how to correctly acknowledge RSC content.

Social activity

Spotlight

Advertisements