Certified ion implantation fluence by high accuracy RBS
Abstract
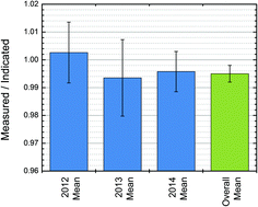
From measurements over the last two years we have demonstrated that the charge collection system based on Faraday cups can robustly give near-1% absolute implantation fluence accuracy for our electrostatically scanned 200 kV Danfysik ion implanter, using four-point-probe mapping with a demonstrated accuracy of 2%, and accurate Rutherford backscattering spectrometry (RBS) of test implants from our quality assurance programme. The RBS is traceable to the certified reference material IRMM-ERM-EG001/BAM-L001, and involves convenient calibrations both of the electronic gain of the spectrometry system (at about 0.1% accuracy) and of the RBS beam energy (at 0.06% accuracy). We demonstrate that accurate RBS is a definitive method to determine quantity of material. It is therefore useful for certifying high quality reference standards, and is also extensible to other kinds of samples such as thin self-supporting films of pure elements. The more powerful technique of Total-IBA may inherit the accuracy of RBS.
- This article is part of the themed collection: Analytical Sciences in the UK
Please wait while we load your content...