Issue 47, 2024

The effect of gem-difluorination on the conformation and properties of a model macrocyclic system

Abstract

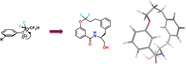
Conformational control of drug candidates to engineer improved potency and ADME properties is an ongoing area of research. Macrocyclic rings tend to offer a greater degree of rigidity than non-cyclised small molecules, and, as a result they are perfect platforms to instil conformational controls. In this study, the difluoroalkoxyphenyl moiety is examined as a tool to alter the conformation of macrocycles. A fluorinated and non-fluorinated macrocyclic matched pair is compared in terms of conformation preferences and related ADME properties. The synthesised macrocycles are found to give similar major conformations exhibiting a trans amide in the macrocyclic backbone. However, for the fluorinated macrocycle, the major trans amide conformation is in equilibrium with a cis amide minor conformation, seen by 1H NMR in a 4 : 1 ratio of trans/cis. The conformational fits for the minor fluorinated isomer demonstrate the out of plane preference of the difluoroalkoxy system encouraging the amide within the macrocycle backbone to adopt a cis conformation. The fluorinated macrocycle was less metabolically stable compared to the non-fluorinated, postulated to be a result of the interconversion of trans amide to the cis amide, which potentially could be more readily metabolised.

Graphical abstract: The effect of gem-difluorination on the conformation and properties of a model macrocyclic system

Supplementary files

Article information

Article type
Edge Article
Submitted
13 Aug 2024
Accepted
01 Nov 2024
First published
06 Nov 2024
This article is Open Access

All publication charges for this article have been paid for by the Royal Society of Chemistry
Creative Commons BY-NC license

Chem. Sci., 2024,15, 19770-19776

The effect of gem-difluorination on the conformation and properties of a model macrocyclic system

T. J. Cogswell, R. J. Lewis, C. Sköld, A. Nordqvist, M. Ahlqvist and L. Knerr, Chem. Sci., 2024, 15, 19770 DOI: 10.1039/D4SC05424E

This article is licensed under a Creative Commons Attribution-NonCommercial 3.0 Unported Licence. You can use material from this article in other publications, without requesting further permission from the RSC, provided that the correct acknowledgement is given and it is not used for commercial purposes.

To request permission to reproduce material from this article in a commercial publication, please go to the Copyright Clearance Center request page.

If you are an author contributing to an RSC publication, you do not need to request permission provided correct acknowledgement is given.

If you are the author of this article, you do not need to request permission to reproduce figures and diagrams provided correct acknowledgement is given. If you want to reproduce the whole article in a third-party commercial publication (excluding your thesis/dissertation for which permission is not required) please go to the Copyright Clearance Center request page.

Read more about how to correctly acknowledge RSC content.

Social activity

Spotlight

Advertisements