Issue 5, 2022

Derivatization of an especially electron-rich diborane

Abstract

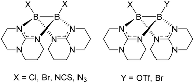
Starting with electron-rich ditriflato-diborane B2(hpp)2(OTf)2 (hpp = 1,3,4,6,7,8-hexahydro-2H-pyrimido[1,2-α]pyrimidinate), novel symmetric and unsymmetric diboranes B2(hpp)2X2 and B2(hpp)2XY with X,Y = Br, NCS, N3 or OTf are synthesized by substitution reactions with SN1 mechanisms. The stability of the unsymmetric diboranes with respect to dismutation equilibria is evaluated.

Graphical abstract: Derivatization of an especially electron-rich diborane

Supplementary files

Article information

Article type
Communication
Submitted
11 Nov 2021
Accepted
10 Dec 2021
First published
10 Dec 2021

Chem. Commun., 2022,58, 693-696

Derivatization of an especially electron-rich diborane

D. Vogler, L. Haas, N. Wolf, E. Kaifer and H. Himmel, Chem. Commun., 2022, 58, 693 DOI: 10.1039/D1CC06359F

To request permission to reproduce material from this article, please go to the Copyright Clearance Center request page.

If you are an author contributing to an RSC publication, you do not need to request permission provided correct acknowledgement is given.

If you are the author of this article, you do not need to request permission to reproduce figures and diagrams provided correct acknowledgement is given. If you want to reproduce the whole article in a third-party publication (excluding your thesis/dissertation for which permission is not required) please go to the Copyright Clearance Center request page.

Read more about how to correctly acknowledge RSC content.

Social activity

Spotlight

Advertisements