Issue 6, 2020

Self-assembling purine and pteridine quartets: how do π-conjugation patterns affect resonance-assisted hydrogen bonding?

Abstract

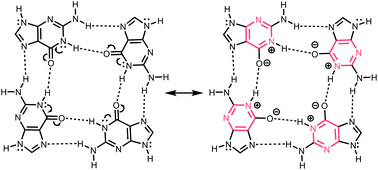
Computed association strengths for 43 purine and pteridine quartets (38 to 100 kcal mol−1) show excellent linear correlation with π-conjugation gain in the assembled monomers (r2 = 0.965). Even quartets having the same secondary electrostatic interactions can display very different association strengths depending on the π-conjugation patterns of the monomeric units.

Graphical abstract: Self-assembling purine and pteridine quartets: how do π-conjugation patterns affect resonance-assisted hydrogen bonding?

Supplementary files

Article information

Article type
Communication
Submitted
07 Nov 2019
Accepted
14 Jan 2020
First published
14 Jan 2020

Org. Biomol. Chem., 2020,18, 1078-1081

Author version available

Self-assembling purine and pteridine quartets: how do π-conjugation patterns affect resonance-assisted hydrogen bonding?

H. R. Paudel, R. Das, C. Wu and J. I. Wu, Org. Biomol. Chem., 2020, 18, 1078 DOI: 10.1039/C9OB02412C

To request permission to reproduce material from this article, please go to the Copyright Clearance Center request page.

If you are an author contributing to an RSC publication, you do not need to request permission provided correct acknowledgement is given.

If you are the author of this article, you do not need to request permission to reproduce figures and diagrams provided correct acknowledgement is given. If you want to reproduce the whole article in a third-party publication (excluding your thesis/dissertation for which permission is not required) please go to the Copyright Clearance Center request page.

Read more about how to correctly acknowledge RSC content.

Social activity

Spotlight

Advertisements