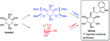
Saúl Silva, Osvaldo S. Ascenso, Eva C. Lourenço, Margarida Archer, Christopher D. Maycock and M. Rita Ventura
Org. Biomol. Chem., 2018,16, 6860-6864
DOI:
10.1039/C8OB02096E,
Communication
