Issue 5, 2017

meso-to-meso PtII-bridged NiII-porphyrin dimers

Abstract

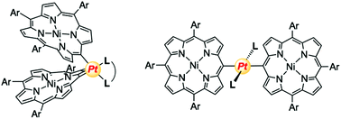
The synthesis and characterization of meso-to-meso PtII-bridged NiII-porphyrin dimers 5–7 are reported herein. A boron–platinum exchange reaction of meso-pinacolatoborylporphyrin 8 with Pt(cod)Cl2 afforded the cod-coordinated meso-to-meso PtII-linked cis-dimer 5, which was subsequently converted to the 1,3-bis(diphenylphosphino)propane (DPPP)-coordinated cis-dimer 6 and the PPh3-coordinated trans-dimer 7 upon treatment with DPPP and PPh3, respectively. On the other hand, a reaction of 5 with tri-tert-butylphosphine induced reductive elimination to give the mesomeso directly linked diporphyrin 9. Comparative studies of these PtII-bridged NiII-porphyrin dimers were conducted by UV/Vis absorption spectroscopy, electrochemical studies, and theoretical calculations. In the course of these studies, we found that cis-dimers 5 and 6 underwent an unprecedented reductive elimination to give the mesomeso linked dimer 9 upon chemical or electrochemical one-electron oxidation, while trans-dimer 7 was stable under such conditions.

Graphical abstract: meso-to-meso PtII-bridged NiII-porphyrin dimers

Supplementary files

Article information

Article type
Research Article
Submitted
02 Feb 2017
Accepted
22 Feb 2017
First published
28 Feb 2017

Org. Chem. Front., 2017,4, 767-772

meso-to-meso PtII-bridged NiII-porphyrin dimers

N. Fukui, H. Jiang and A. Osuka, Org. Chem. Front., 2017, 4, 767 DOI: 10.1039/C7QO00093F

To request permission to reproduce material from this article, please go to the Copyright Clearance Center request page.

If you are an author contributing to an RSC publication, you do not need to request permission provided correct acknowledgement is given.

If you are the author of this article, you do not need to request permission to reproduce figures and diagrams provided correct acknowledgement is given. If you want to reproduce the whole article in a third-party publication (excluding your thesis/dissertation for which permission is not required) please go to the Copyright Clearance Center request page.

Read more about how to correctly acknowledge RSC content.

Social activity

Spotlight

Advertisements