Derivatization of an especially electron-rich diborane†
Abstract
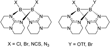
Starting with electron-rich ditriflato-diborane B2(hpp)2(OTf)2 (hpp = 1,3,4,6,7,8-hexahydro-2H-pyrimido[1,2-α]pyrimidinate), novel symmetric and unsymmetric diboranes B2(hpp)2X2 and B2(hpp)2XY with X,Y = Br, NCS, N3 or OTf are synthesized by substitution reactions with SN1 mechanisms. The stability of the unsymmetric diboranes with respect to dismutation equilibria is evaluated.
- This article is part of the themed collection: Boron Chemistry in the 21st Century: From Synthetic Curiosities to Functional Molecules

Please wait while we load your content...