Polyarylene polyimides with hydrocarbon and semi-fluorinated backbones: synthesis, characterization, and properties†
Abstract
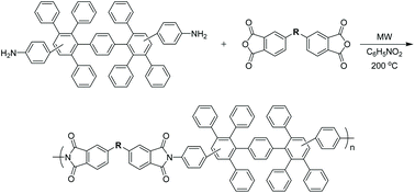
A series of six new polyarylene polyimides (PAPI) was prepared from a highly phenylated phenylenediamine synthesized via a Diels–Alder reaction. The diamine was reacted with a variety of dianhydrides using a one-step microwave-assisted step-growth polycondensation reaction to give the PAPI. The polymerizations were complete in 10 to 30 minutes using isoquinoline as catalyst. Yields as high as 99% were achieved using nitrobenzene as the solvent. A semi-fluorinated dianhydride was included to compare polyimide properties to the hydrocarbon materials. Full characterization was carried out via1H and 19F nuclear magnetic resonance spectroscopy and attenuated total reflectance Fourier transform infrared spectroscopy. Thermal properties were characterized via thermal gravimetric analysis and differential scanning calorimetry. The onset of thermal degradation was approximately 550 °C in nitrogen and air atmospheres while the char yields at 1000 °C in nitrogen were almost 70%. The semi-fluorinated polyarylene polyimide exhibited the highest char yield. Glass transition temperatures were in the range of 355 to 387 °C, with the semi-fluorinated material possessing the highest Tg and the most rigid material affording the lowest Tg. Optical transparency was good in all the materials, with the semi-fluorinated material having the largest optical window in the UV-Vis region. The polymers were colorless or pale yellow solids. Solubility was excellent in chloroform, tetrahydrofuran, toluene, and cyclohexanone. We are currently interested in these materials and precursors for fuel cell and gas separation membranes, coatings, fibers, adhesives, and composite applications.

Please wait while we load your content...