A double-chain based metallomicellar catalyst for aerobic oxidative synthesis of benzimidazoles in water†‡
Abstract
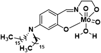
The oxomolybdenum complexes Mo1, Mo2 and Mo3, which share a common ONO donor ligand backbone but differ in their peripheral substituents, were explored to study their reactivity in organic transformations in water. The ligand backbones of Mo1 and Mo2 were covalently linked to a methyl group and a single hydrophobic n-hexadecyl chain via an ether linkage, respectively. The complex Mo3 was found to possess two n-hexadecyl chains attached to the ligand backbone via a common amine-N. Complexes Mo2 and Mo3 formed metallomicelle when dispersed in water due to the surfactant presence in their structures, enabling them to uptake organic substrates. The catalytic potential of the complexes was evaluated for the oxidative coupling of benzylamine with 1,2-diaminobenzene to synthesize benzimidazole in neat water using open air as the sole oxidant. The double-chain surfactant-type catalyst Mo3 displayed superior activity compared to the single-chain surfactant-type complex, Mo2. A wide variety of benzimidazoles were synthesized in good to excellent yields under environmentally benign conditions using Mo3 as the catalyst. The practical utility of the process was validated through multi-gram scale-up reactions and recyclability experiments. A plausible mechanism was proposed based on several controlled experiments and literature support.
- This article is part of the themed collection: Main Group Element Compounds in Materials and Catalysis

Please wait while we load your content...