Issue 5, 2018

Giant spontaneous exchange bias obtained by tuning magnetic compensation in samarium ferrite single crystals

Abstract

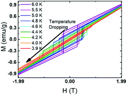
Spontaneous exchange bias (SEB) under zero field cooling (ZFC) has recently attracted lots of attention due to its underlying physics and potential applications. Here we report the giant SEB (GSEB) of SmFeO3 single crystals by tuning magnetic compensation by temperature, which is rather convenient. A SEB field of up to 1 T at 3.9 K after ZFC (−1.4 T at 3.9 K after field cooling) was obtained. The SEB shows reciprocal relationship with remnant magnetization.

Graphical abstract: Giant spontaneous exchange bias obtained by tuning magnetic compensation in samarium ferrite single crystals

Supplementary files

Article information

Article type
Paper
Submitted
15 Oct 2017
Accepted
02 Jan 2018
First published
02 Jan 2018

Phys. Chem. Chem. Phys., 2018,20, 3687-3693

Giant spontaneous exchange bias obtained by tuning magnetic compensation in samarium ferrite single crystals

X. Wang, S. Gao, X. Yan, Q. Li, J. Zhang, Y. Long, K. Ruan and X. Li, Phys. Chem. Chem. Phys., 2018, 20, 3687 DOI: 10.1039/C7CP07030F

To request permission to reproduce material from this article, please go to the Copyright Clearance Center request page.

If you are an author contributing to an RSC publication, you do not need to request permission provided correct acknowledgement is given.

If you are the author of this article, you do not need to request permission to reproduce figures and diagrams provided correct acknowledgement is given. If you want to reproduce the whole article in a third-party publication (excluding your thesis/dissertation for which permission is not required) please go to the Copyright Clearance Center request page.

Read more about how to correctly acknowledge RSC content.

Social activity

Spotlight

Advertisements