Issue 100, 2016, Issue in Progress

Mild synthesis of mercaptonitriles from vinyl nitriles and their cyclization reactions

Abstract

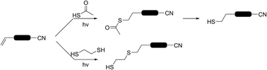
Thiol–ene addition of thioacetic acid A is widely used in the synthesis of thiols from vinyl precursors, but so far has not been conducted on non-conjugated vinyl nitriles. The challenge when vinyl nitriles are used is to selectively conduct the thiol–ene addition, while avoiding the nucleophilic addition of A to the nitrile group. We have found that vinyl nitriles give selective UV-induced thiol–ene addition in the presence of photoinitiators as long as a stoichiometric amount of A to the vinyl group and sterically unhindered vinyls are used. In contrast, when a sterically hindered vinyl is used, the nucleophilic addition of the nitrile is favoured. The prepared mercaptonitriles can easily undergo cyclization reactions in basic and acidic conditions as well as in the presence of silica gel. This illustrates the high reactivity of nitriles towards thiol addition. 1,2-Ethanedithiol B is presented as an alternative reagent to A as it allows conversion of vinyl nitriles directly into mercaptonitriles under mild and non-acidic reaction conditions.

Graphical abstract: Mild synthesis of mercaptonitriles from vinyl nitriles and their cyclization reactions

Supplementary files

Article information

Article type
Paper
Submitted
01 Sep 2016
Accepted
05 Oct 2016
First published
06 Oct 2016

RSC Adv., 2016,6, 98059-98065

Mild synthesis of mercaptonitriles from vinyl nitriles and their cyclization reactions

P. Caspari, F. A. Nüesch, A. Neels and D. M. Opris, RSC Adv., 2016, 6, 98059 DOI: 10.1039/C6RA21948A

To request permission to reproduce material from this article, please go to the Copyright Clearance Center request page.

If you are an author contributing to an RSC publication, you do not need to request permission provided correct acknowledgement is given.

If you are the author of this article, you do not need to request permission to reproduce figures and diagrams provided correct acknowledgement is given. If you want to reproduce the whole article in a third-party publication (excluding your thesis/dissertation for which permission is not required) please go to the Copyright Clearance Center request page.

Read more about how to correctly acknowledge RSC content.

Social activity

Spotlight

Advertisements